Жазықтықтардың параллель болу шарты



Жазықтық

Берілген нүкте арқылы өтетін берілген векторға перпендикуляр болатын жазықтықтың теңдеуі




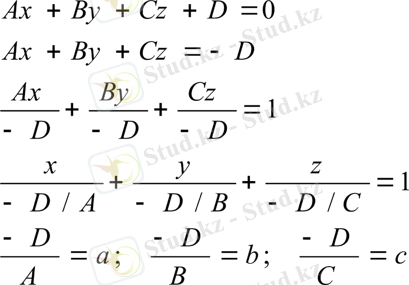
Кесінді арқылы берілген жазықтықтың теңдеуі

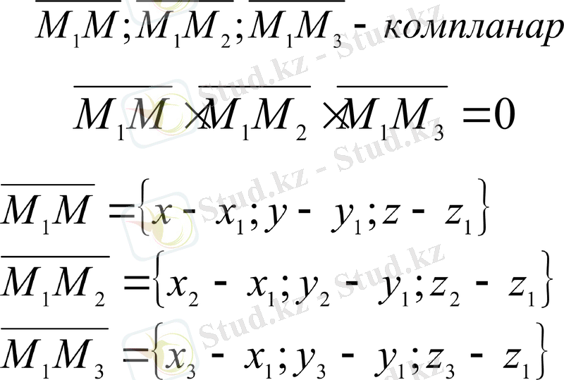
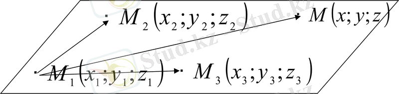
Үш нүкте арқылы өтетін жазықтықтың теңдеуі





Жазықтықтардың арасындағы бұрыш

Жазықтықтардың параллель болу шарты

Жазықтықтардың перпендикуляр болу шарты

Жазықтықтан нүктеге дейінгі арақашықтық

Кеңістіктегі түзу

Түзудің жалпы теңдеуі
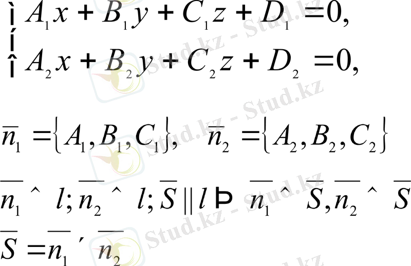
Кеңістіктегі түзу екі жазықтықтың қиылысу сызығы ретінде анықталады



Түзудің канондық теңдеуі
Берілген нүкте арқылы өтетін, берілген векторға параллель болатын түзудің теңдеуі

Түзудің параметрлік теңдеуі

Екі нүкте арқылы өтетін түзудің теңдеуі

Екі түзудің арасындағы бұрыш

Екі түзудің параллель болу шарты
Егер онда

Екі түзудің перпендикуляр болу шарты
Егер онда

Түзу мен жазықтықтың арасындағы бұрыш

П

Түзу мен жазықтықтың арасындағы бұрыш түзу мен оның жазықтыққа түсірілген ортогональ проекциясы арасындағы бұрышқа тең

Түзу мен жазықтықтың параллель болу шарты
Егер онда

Түзу мен жазықтықтың перпендикуляр болу шарты
Егер онда
- Іс жүргізу
- Автоматтандыру, Техника
- Алғашқы әскери дайындық
- Астрономия
- Ауыл шаруашылығы
- Банк ісі
- Бизнесті бағалау
- Биология
- Бухгалтерлік іс
- Валеология
- Ветеринария
- География
- Геология, Геофизика, Геодезия
- Дін
- Ет, сүт, шарап өнімдері
- Жалпы тарих
- Жер кадастрі, Жылжымайтын мүлік
- Журналистика
- Информатика
- Кеден ісі
- Маркетинг
- Математика, Геометрия
- Медицина
- Мемлекеттік басқару
- Менеджмент
- Мұнай, Газ
- Мұрағат ісі
- Мәдениеттану
- ОБЖ (Основы безопасности жизнедеятельности)
- Педагогика
- Полиграфия
- Психология
- Салық
- Саясаттану
- Сақтандыру
- Сертификаттау, стандарттау
- Социология, Демография
- Спорт
- Статистика
- Тілтану, Филология
- Тарихи тұлғалар
- Тау-кен ісі
- Транспорт
- Туризм
- Физика
- Философия
- Халықаралық қатынастар
- Химия
- Экология, Қоршаған ортаны қорғау
- Экономика
- Экономикалық география
- Электротехника
- Қазақстан тарихы
- Қаржы
- Құрылыс
- Құқық, Криминалистика
- Әдебиет
- Өнер, музыка
- Өнеркәсіп, Өндіріс
Қазақ тілінде жазылған рефераттар, курстық жұмыстар, дипломдық жұмыстар бойынша біздің қор #1 болып табылады.

Ақпарат
Қосымша
Email: info@stud.kz