Дыбыс табиғаты



Қазақстан республикасының білім және ғылым министрлігі Әл-Фараби атындағы Қазақ Ұлттық Университеті Факультеті: «Физикалық-техника факультеті» Кафедрасы: «Жылуфизика және техникалық физика» СӨЖ Тақырыбы: « Акустика элементтері. Дыбыс табиғаты. Дыбыс жылдамдығы және оны өлшеу. Ультрадыбыс және оның қолдануы. » Орындаған: Түгелханов Ерқанат Тексерген: Мұхамеденқызы Венера Алматы

Акустика (грекше akustіkos - естілетін, тыңдалатын) - физиканың ең төменгі жиіліктен (шартты түрде 0 Гц) ең жоғарғы жиілікке (1011-1013 Гц) дейінгі аралығын қамтитын серпімді тербелістер мен толқындарды және олардың затпен өзара әсерлесуі мен түрліше қолданылуын зерттейтін саласы.

Негізгі құбылыстар. Дыбыс сезімі механикалық тербелістердің адамның есту аппаратына әсер етуі нәтижесінде пайда болады. Адамның құлағы белгілі бір жиілік пен қарқындылықтағы тербелістерді қабылдайды, сондықтан жиілігі 16-дан 2 Гц-ке дейінгі диапазонда жататын және құлақпен қабылданатын тербелістерді дыбыс деп атайды.

Егер көздік өлшемі толқын ұзындығымен салыстырғанда үлкен болса, онда таралатын толқынның пішіні күрделірек болады; оны Френель-Гюйппе принципі арқылы тұтынуға болады. Бұл принцип бойынша толқын бетінің әрбір кішкене бөлігі элементар сфералық толқынды шығарады, ал толқын бетінің келесі сәттегі орны олардың интерференциясы нәтижесінде алынған элементар толқындардың қабықшасымен сәйкес келеді. Егер тербелмелі дененің беті барлық нүктелері фаза бойынша тербелетін жазықтық болса және бұл жазықтықтың өлшемдері толқын ұзындығымен салыстырғанда үлкен болса, онда жазықтыққа перпендикуляр бағытта жазық толқын шығарылады. тек қана жазықтықтың шетіне жақын және олардан біршама қашықтықта элементар толқындардың интерференциясына байланысты бұрмаланады.

Есту Адамның құлағы ауаның белгілі жиіліктегі тербелістерін қабылдайды және 1 м² арқылы өтетін энергия мөлшерімен өлшенеді. уақыт бірлігінде оны әдетте Вт / м²-де өлшеу әдеттегідей. (SI жүйесінде), немесе эрг / (см²*с) (CGS жүйесінде) Белгілі бір минималды қарқындылықта адам құлағы дыбысты қабылдауды тоқтатады, бұл (жалпы айтқанда, әртүрлі жиіліктер үшін бірдей емес) деп аталады.

Есту шегі бүкіл дыбыс диапазоны үшін шектік қисық естілуі көрсетілген. Біздің құлағымыз шамамен 3000 Гц жиіліктегі толқындарға ең сезімтал: қарқындылығы 10¯¹²Вт / м² құлақтың дыбысты қабылдауы қазірдің өзінде жеткілікті 50 Гц жиілікте есту табалдырығы 10-7 Вт/м² құрайды, яғни бұл жиіліктегі тербелістердің қарқындылығы дыбыстың болуы үшін шамамен 100 000 есе көп болуы керек. естіледі Діріл қарқындылығының тым жоғарылауы, құлақ дірілдерді дыбыс ретінде қабылдауды тоқтатады, бірақ ауыру сезімін бастан кешіреді, одан жоғары ауырсыну байқалатын қарқындылық ауырсыну шегі деп аталады

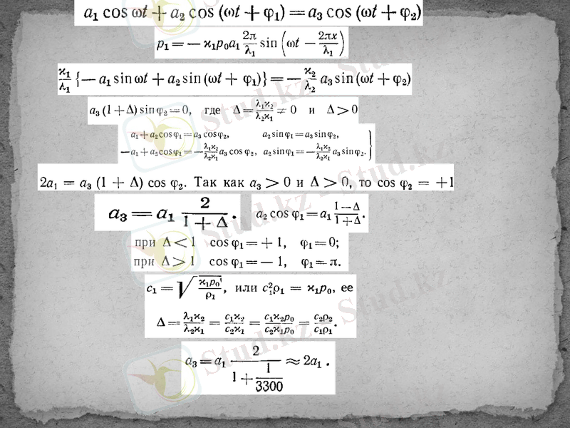
Дыбыс толқындарының кедергілерден шағылысуы. Дыбыс толқындары механикалық қасиеттері күрт өзгеретін екі түрлі ортаның шекарасын көрсетеді. Мысалы. толқын ауадан суға өткенде (немесе керісінше) энергияның едәуір бөлігі шағылысып, энергияның аз ғана бөлігі басқа ортаға өтеді. Ауадағы дыбыс толқындары қатты денелерден де көрінеді, мысалы, жер бетінен, бұл эхо құбылысын әрбір бақылаушыға белгілі. Дыбыс толқындары шектелген кезде с дыбысының жылдамдығымен ортаның тығыздығының р өзгеруі маңызды рөл атқарады, дәлірек айтқанда, pc шамасының өзгеруі көбірек. Бір ортадан екіншісіне өту кезінде неғұрлым көп болса, дыбыс толқынының энергиясы осы екі ортаның интерфейсінің pc мәнінде көрсетіледі. Жазық толқынның екі орта арасындағы жазық интерфейске қалыпты түсуінің қарапайым жағдайы үшін дыбыс толқындарының шағылу заңдарын шығарайық. Ось бойымен жазық толқын таралатын ұзын түтік әртүрлі заттармен толтырылсын.

Формулалар.


Дыбыс толқынының таралуы. Дыбыс толқындары қалыпты жағдайда таралса, бізде өте күрделі сурет болады. Кедергіге кезіккен дыбыс толқындары ұзындығы кедергіден әлдеқайда үлкен болған жағдайда оның айналасында оңай иіліп кетеді және толқын ұзындығы кедергінің өлшемінен әлдеқайда аз болса, одан жарық сияқты шағылысады.


- Іс жүргізу
- Автоматтандыру, Техника
- Алғашқы әскери дайындық
- Астрономия
- Ауыл шаруашылығы
- Банк ісі
- Бизнесті бағалау
- Биология
- Бухгалтерлік іс
- Валеология
- Ветеринария
- География
- Геология, Геофизика, Геодезия
- Дін
- Ет, сүт, шарап өнімдері
- Жалпы тарих
- Жер кадастрі, Жылжымайтын мүлік
- Журналистика
- Информатика
- Кеден ісі
- Маркетинг
- Математика, Геометрия
- Медицина
- Мемлекеттік басқару
- Менеджмент
- Мұнай, Газ
- Мұрағат ісі
- Мәдениеттану
- ОБЖ (Основы безопасности жизнедеятельности)
- Педагогика
- Полиграфия
- Психология
- Салық
- Саясаттану
- Сақтандыру
- Сертификаттау, стандарттау
- Социология, Демография
- Спорт
- Статистика
- Тілтану, Филология
- Тарихи тұлғалар
- Тау-кен ісі
- Транспорт
- Туризм
- Физика
- Философия
- Халықаралық қатынастар
- Химия
- Экология, Қоршаған ортаны қорғау
- Экономика
- Экономикалық география
- Электротехника
- Қазақстан тарихы
- Қаржы
- Құрылыс
- Құқық, Криминалистика
- Әдебиет
- Өнер, музыка
- Өнеркәсіп, Өндіріс
Қазақ тілінде жазылған рефераттар, курстық жұмыстар, дипломдық жұмыстар бойынша біздің қор #1 болып табылады.

Ақпарат
Қосымша
Email: info@stud.kz