Сұйықтың тұтқырлығынан


ҚАЗАҚСТАН РЕСПУБЛИКАСЫНЫҢ ҒЫЛЫМ ЖӘНЕ БІЛІМ МИНИСТРЛІГІ
Қ. И. Сәтбаев атындағы Қазақ Ұлттық Техникалық Университеті
МГКОИжП кафедрасы
Семестрлік жұмыс
Тақырыптары:
1. Сұйық пен газ сепараторының өткізу қабілеттілігінің есебі
2. Құбырлардың гидравликалық есебі
Қабылдаған оқытушы :
Насибуллин Б.
Орындаған ГН-99-1 тобының
студенті: Борамбаев М. М.
АЛМАТЫ 2003
ЖОСПАР
1. Сұйық пен газ сепараторының өткізу қабілеттілігінің есебі2
1. 1Теориялық бөлім2
1. 2Вертикалды гравитациялы газ сепаратор есебінің әдісі3
1. 3Вертикалды гравитациялы сұйық сепаратор есебінің әдісі4
1. 4Есеп5
2Құбырлардың гидравликалық есебі6
2. 1Теориялық бөлім6
2. 2Құбырлардың гидравликалық есептеу әдісі7
2. 3Есеп9
- Сұйық пен газ сепараторының өткізу қабілеттілігінің есебіТеориялық бөлім
Кез-келген мұнай-газ сепараторының жұмысына келесі факторлар әсер етеді:
- Мұнайдың физика-химиялық қасиеттері. Тығыздығы үлкен тұтқырлы мұнайда және мұнайдың эмульсиясында газдың көпіршіктері сұйықтан бөлінеді де ақырын жоғары қарай көтеріледі. Осындай сепараторлардың өткізу қабілеті өте төмен болады да, ал, сұйықтың көмегімен көтерілетін газ көпіршіктерінің мөлшері көп болады.
- Сепартордағы мұнай деңгейінің көтерілу жылдамдығы. Сепараторға қосылған ұңғы өнімдерінің көтерілу жылдамдығы үлкен болады. Осыдан газ көпіршіктерінің көтерілуі сұйықтың көтерілуінен қалып отырады да, сепаратордан мұнай ағынымен қозғалады. Осыған байланысты газ фазасындағы мұнай тамшылары мұнай деңгейінен қалып отырып, сепаратордан тыс шығып кетеді де, мұнай сепарациясы нашар болады.
- Сепаратордағы қысым және мұнай температурасы. Сепаратордағы қысым үлкен болған сайын газ тығыздығы үлкен болады. Сол себептен мұнайдағы газ көпіршіктерінің көтерілу жылдамдығы және газ ағысындағы мұнай тамшылар түсу жылдамдығы аз болады. Осының салдарынан сепаратор жұмысы нашарлайды. Сепаратор температурасының жоғарлауы мұнайдың тұтқырлығын азайтады да, мүнай мен газдың бөлінуі жақсара түседі.
- Мұнайдың көбіктенуіне қабілеттігі және көбіктің жылдамдығы. Көбіктенетін мұнай өте қиын бөлінеді және қазіргі кезде сепараторлар жылдамдығы көбіктер бойынша тиімді шара жоқ.
- Қондырғының ішкі конструкциялық элементтері. Олар әр түрлі болады да сепарация процесінде өте маңызды роль атқарады.
- Мұнайдың сулануы. Мұнайда судың болуы берік эмульсияның пайда болуына әкеледі.
Жоғарыда келтірілгендерге байланысты сепаратордың өткізу қабілетіне көптеген факторлар әсер ететінін және сол факторларды ескеріп, реттеу қиынға түсетінін көруге болады.
- Вертикалды гравитациялы газ сепаратор есебінің әдісі
Гравитациялы принципімен жұмыс істейтін сепараторларда газ ағынындағы тамшылы сұйығының тұнуы ауырлық күшінің әсерінен болады. Тамшылы сұйықтан газдың тазаруының және тамшылардың ауырлап, төмен түсуыінің жоғарғы кезеңі сепаратордағы газ ағыны қозғалуының есепті жылдамдығы газ ағынында ауырлық күшінің әсерінен қозғалатын сұйық және қатты бөлшектердің тұну жылдамдықтарынан аз болған кезде жүзеге асады.
W г <W (1)
Мұндағы:
W г - сепарацияның термодинамикалық шарттардағы берілгендер бойынша қондырғыдағы газ ағынының кіру жылдамдығы, м/с;
W - тамшылы сұйықтың тұну кезіндегі орташа жылдамдығы, м/с;
Қондырғы диаметрін және шығынын біле отырып, қысым мен температураны ескере отырып вертикалды сепаратордағы газ ағынының кіру жылдамдығын мына формуламен есептеуге болады:
(2)
Мұндағы:
V o - қалыпты жағдайдағы газ көлемдік мөлшері (P o =0. 1013МПа, T o =273)
Equation. 3 - сепаратор қимасының ауданы, м
2
;
D - сепаратор диаметрі, м;
P - сепаратор температурасы, МПа;
Т - сепаратор температурасы, К;
Z - Идеал газдан реал газға ауытқу қасиеттерін есепке алатын сығу коеффициенті;
86400 - тәуліктегі секунд мөлшері.
(2) - ші формуладан мынаны аламыз:
W
г
=5. 47 10
-3
(3)
Газ ағынындағы тамшылы сұйықтың және қатты бөлшектердің тұну жылдамдығын есептеу кезінде келесілерді қабылдауға болады:
- Бөлшек шар тәрізді формада болады;
- Газ қозғалысы қабылданған болады, газ ағынының кіру жылдамдығы сепаратордың кез-келген нүктесінде тұрақты;
- Газ ағынындағы бөлшектердің қозғалысы еркін түрде олар бір-бірімен соқтығыспайды.
Жоғарыда айтылған қабылданатын шар тәрізді формадағы бөлшектердің жылдамдығын Стокс формуласымен анықтауға болатынын көреміз:
(4)
Мұндағы:
W - газ ағынындағы бөлшектердің тұну жылдамдығы, м/с;
D - бөлшектің есептік диаметрі, м;
r с және r г - сепарациядағы қысым мен темпертура кезіндегі сұйықтың және газдың тығыздықтары, м 2 /с;
m г - сепарациядағы қысым мен темпертура кезіндегі динамикалық тұтқырлық, Пас;
Кей жағдайларда кинематикалық тұтқырлықты қолдану керек болғандағы формула мынадай түрге келеді:
(5)
Мұндағы:
n г - сепаратордағы қысым мен температура кезіндегі газдан кинематикалық тұтқырлық, м 2 /с.
W=1. 2W г (6)
(6) - шы формулаға (3) -ші және (5) -ші формулаларды қойып түрлендіреміз:
=1. 2 5. 47 10
-3
Equation. 3
(7)
Немесе сандық түрлендіруден мынаны аламыз:
немесе
(8)
Осы формуланы қолдана отырып газ бойынша өткізу қабілеттігін есептегенде барлық сұйықтар және газ сұйықты қоспаның қатты бөлшектері қондырғысының жинау бөлігіне тұнады деп қабылдауға болады.
- Вертикалды гравитациялы сұйық сепаратор есебінің әдісі
Сұйық сепараторының өткізу қабілетін бақылауда мұнай сепараторының газ көпіршіктерін өткізу қабілеті нолге тең екені анықталды. Негізі сұйықпен аралас келетін газ көпіршіктері келесі факторлардан тәуелді:
- Сұйықтың тұтқырлығынан;
- Сепарациялы қондырғырғыдағы қысымнан;
- Сепаратордағы сұйықтың көтерілу деңгейінің жылдамдығы.
Сұйық сепарациялы қондырғысының есептері сұйық деңгейінің көтерілу жылдамдығы газ көпіршіктерінің сұйық бетіне қалқып шығу жылдамдығынан аз екен көрсетеді.
W ж <W г (9)
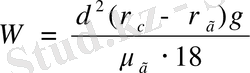
Газ көпіршіктерінің сұйық бетіне қалқып шығуын Стокс формуласымен есептеуге болады.
(10)
Мұндағы:
D г - сұйық бетіне қалқып шығатын газ көпіршіктерінің есепті диаметрі.
Сепарация жағдайындағы газ тығыздығы мына формуламен анықталады:
(11)
Мұндағы:
r о - қалыпты жағдайдағы газ тығыздығы, кг/м 3 .
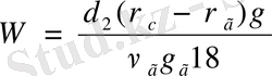
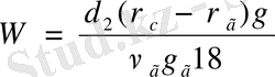
Сепаратордағы сұйық деңгейінің көтерілу жылдамдығын q c көлемдік шығымға және F- сепаратордың көлденең қимасының ауданына байланысты болады да, былай жазылады:
(9) -шы формула қатынасын ескере отырып, былай жазуға болады:
(12)
(13)
Сандық түрлендірулерден кейін
(14)
- Есеп
Берілгендері:
D=1. 2 м вертикалды гравитациялы сепараторға орташа d м =24 мкм диаметрлі мұнай тамшылы және тұтқырлығы m м =11 мПа·с мұнай-газды қоспа келіп кіреді. Сепаратор қысымы P=1. 6 МПа, температурасы Т=293 K. Мұнайдың көлемдік шығыны q м =180 м 3 /тәу, мұнай тығыздығы r м =840 кг/м 3 . Қалыпты жағдайдағы газдың тығыздығы r o =1. 24 кг/м 3 , газ тұтқырлығы m г =19 мкПа·с, берілген жағдайдағы сығу коэффициенті z=0. 98.
Газ ағысындағы мұнай тамшыларының тұну жылдамдығын, сепаратордағы сұйық деңгейінің көтерілу жылдамдығын, қондырғының газды өткізу қабілетін және газ көпіршіктерінің диаметрі сұйықтың бетіне қалқып шығуын анықтау керек.
Шешімі:
кг/м
3
Газ ағынындағы мұнай тамшыларының тұну жылдамдығын мына Стокс формуламен анықтау керек:
м/с
Газ ағынының кіру жылдамдығын мына (6) -шы формуламен анықтаймыз:
м/с
Онда газдың жылдамдық есебін ескере отырып берілген диаметр бойынша сепаратордың тәуліктік өнімділігін мына (3) -ші формуламен анықталады:
м
3
/тәу
Газ бойынша сепаратордың өткізу қабілетін мына (8) -ші формуламен тексереміз:
м
3
/тәу
Сепаратордың берілген түрі газ сепараторының өнімділігін қамтамасыз етеді.
Сұйық сепараторының есебін сұйық деңгейінің көтерілу кезіндегі газ көпіршіктерінің толығымен қалқып шығу жағдайындағы өткізу қабілетін тексерумен аяқтау керек.
Ең алдымен сепаратордағы сұйықтың көтерілу жылдамдығын мына (12) формуламен анықтаймыз:
м/с
Сепаратордың негізгі жұмыс жағжадайын пайдалана отырып, сұйықтағы газ көпіршіктерінің қалқып шығу жылдамдығын анықтаймыз:
W=1. 2W г =1. 2·0. 00184=0. 00221 м/с
Содан кейін газ көпіршіктерінің диаметрін Стокс формуласымен анықтаймыз:
м
Сұйық сепараторының өткізу қабілетін газ көпіршіктерінің өлшемін ескере отырып мына (14) -ші формуламен тексереміз:
м
3
/тәу
Осыдан берілген сұйықтың көлемі қанағаттандыратынын көруге болады.
- Құбырлардың гидравликалық есебіТеориялық бөлім
Мұнай кен орындарында жинау жүйесінің гидравликалық есептер кезінде ұңғы өнімдерінің құбыр бойымен қозғалысының әр түрлі жағдайларымен кездесуге болады. Ұңғы өнімдерін қабат энергиясының көмегімен тасымалдаған кезде ұңғының сұйық шығатын желісінде газ-сұйықты қоспаның екі фазалы қозғалысы көрінеді де, ал, сулану кезінде қоспаның үш фазалы қозғалысы көрінеді.
Су-мұнай эмульсиялары әрқашан тұтқырлы-созымталды сұйық болып келеді. Өнімнің қозғалысы ағынның құрамында қатты бөлшекті механикалық қоспалардың, парафин және асфальтендердің болуына байланысты қиындай түседі. Пештерді мұнай тасымалдау кезінде қоданған кезде немесе қоршаған ортада жылуды табиғи жолмен жоғалтуды ескере отырып, изотермиялық процес емес екенін ескеретін гидравликалық есептерді шығару керек болады.
- Құбырлардың гидравликалық есептеу әдісі
Құбырлардың гидравликалық есебі құбырлардың ішіндегі қысым айырмашылығын, оның диаметрін және оның өткізгіштік қабілетін қарастырады. Бұл есептердің негізін Бернулли теңдеуімен шығарады.
(15)
Мұндағы:
Z 1 және Z 2 - геодезиялық белгілер, м;
P 1 және P 2 - бастапқы және соңғы қысымдар,
W 1 және W 2 - сұйықтың құбырдағы бастапқы және соңғы жылдамдықтары, м/с;
h п - сұйықтың құбырдағы арынының төмендеуі.
Сұйықтың жолдағы қозғалысының төмендеуі үйлестіктен және жергілікті кедергілерден болады. Кәсіптік құбырларды есептеулерді жүргізгенде әсіресе гидравликалық есептерде жергілікті кедергілер мен сұйықтың сығымдылығын есепке алмаймыз, сонда (15) -ші формуладан мынаны аламыз:
(16)
Немесе сұйықтың жалпы жоғалуын былай жазамыз:
(17)
Үйкелістен жоғалған қысымды Дарси-Вейсбах теңдеуімен анықтаймыз:
(18)
Ал, үйкелістен жоғалған сұйық арынының формуласын былай анықтаймыз:
(19)
Мұндағы:
L - құбырдың ұзындығы, м;
D - құбырдың ішкі диаметрі, м;
W -құбырдағы сұйықтың орташа жылдамдығы, м/с;
l - гидравликалық кедергі коэффициенті, құбырдың шартты кедір бұдыры мен ағыстың режиміне (рейноьдс саны) байланысты болады.
Рейнольдс санын сұйықтың шығымы арқылы анықтауға болады.
немесе
(20)
Мұндағы:
- сұйықтың ағу жылдамдығы, м/с;
F - құбырдың көлденең қимасының ауданы, м 2 ;
n - сұйықтың кинематикалық тұтқырлығы, м 2 /с;
m - сұйықтың динамикалық тұтқырлығы, Па·с.
болса, онда құбырдағы сұйықтың қозғалысы ламинарлы болады да, гидравликалық кедергіні мына Стокс формуласымен анықтаймыз:
(21)
Сұйық ағынының турбулентті режимінде Re>2320 болады, ал, гидравликалық кедергіні анықтау үшін жартылай эмпирикалық формулалар көп.
Сұйықтардың құбырмен қозғалысы кезінде құбырдың кедір-бұдыр жерлерін жабатын немесе жаппайтын қабырғаларда жабысқақ қабаттар түзіледі. Жабысқақ қабаттардың қалыңдығы сұйықтың ағыс жылдамдығына байланысты болады, яғни жылдамдық көп болған сайын қабат қалыңдығы аз болады.
Үйкелістің тегіс, аралас, және кедір-бұдыр зоналары болады. Аймақтар шекарасын кедір-бұдырдың шығыңқы жерінің өлшемінен анықтайды. Құбырлар есептерінде эквивалентті кедір-бұдырды қабылдайды (К э ) . Эквивалентті кедір-бұдырды тәжірибелік жолмен анықтайды. Болаттан жасалған құбырлар үшін (К э ) өлшемі 0, 1-0, 2 мм арасында ауытқиды.
- Тегіс үйкелісті зона диапазоны келесі шарттарды қамтиды:
Re=3000-4000 және Re=15D/K э .
Мұндағы: D - құбырдың ішкі диаметрі. Бұл зонада блазиус формуласын қолдану керек:
(22)
- Аралас үйкелісті зона диапазоны 15D/Kэ<Re<560D/Kэ.
Бұл зонада гидравликалық кедергі есебі Альтшуль формуласымен анықталады:
(23)
- Re>560D/Kэжәне 2Кэ/D<0. 007 диапазонындағы кедір-бұдыр үйкелісті зонаны автомодельді немесе квадратты деп атайды.
Бұл зонада 68/Re өлшемі 2К э /D өлшеміне қарағанда өте кіші мәнге ие және ескермесе болады да, мынандай Шифирсон формуласымен анықталады:
(24)
Мұнай құбырларында негізінен турбулентті режим, яғни гидравликалық тегіс құбыр зонасындағы режим қарастырылады, ал, газ құбырларында жоғарыда айтылған ағыс режимдерінің барлығы кездеседі.
Құбырлар есептері сұйықтың салмағы және тұтқырлығы максималды кезіндегі шарттары қиын жұмыстар үшін есептеледі.
Келтірілген формулалар құбыр ұзындығы бойынша қысымның төмендеуін анықтауға және бастапқы айдау қысымын есептеуге мүмкіндік береді.
Бір фазалы жағдайдағы сұйықты тасымалдайтын араынды құбырдың гидравликалық есептері келесі параметрлердің біреуін анықтауға есептеледі:
- Құбырдың өткізу қабілетін Q;
- Қажетті бастапқы қысымды P;
- Құбыр диаметрін D.
Құбырдың өткізу қабілетін немесе диаметрін анықтау үшін ағысы беріледі, содан кейін Q немесе D анықталады да, Re саны бойынша таңдалған режимнің дұрыстығын тексереді.
Сұйықты айдау немесе қысымы арқылы айдау сорабының қуатын анықтауға мына формуламен анықтауға болады:
(25)
Мұндағы:
h - сорапты қондырғының жалпы пайдалы әсер коэффициенті;
1000 - Вт-ты кВт-қа ауыстыратын коэффициент.
- Есеп
Берілгендері:
... жалғасы- Іс жүргізу
- Автоматтандыру, Техника
- Алғашқы әскери дайындық
- Астрономия
- Ауыл шаруашылығы
- Банк ісі
- Бизнесті бағалау
- Биология
- Бухгалтерлік іс
- Валеология
- Ветеринария
- География
- Геология, Геофизика, Геодезия
- Дін
- Ет, сүт, шарап өнімдері
- Жалпы тарих
- Жер кадастрі, Жылжымайтын мүлік
- Журналистика
- Информатика
- Кеден ісі
- Маркетинг
- Математика, Геометрия
- Медицина
- Мемлекеттік басқару
- Менеджмент
- Мұнай, Газ
- Мұрағат ісі
- Мәдениеттану
- ОБЖ (Основы безопасности жизнедеятельности)
- Педагогика
- Полиграфия
- Психология
- Салық
- Саясаттану
- Сақтандыру
- Сертификаттау, стандарттау
- Социология, Демография
- Спорт
- Статистика
- Тілтану, Филология
- Тарихи тұлғалар
- Тау-кен ісі
- Транспорт
- Туризм
- Физика
- Философия
- Халықаралық қатынастар
- Химия
- Экология, Қоршаған ортаны қорғау
- Экономика
- Экономикалық география
- Электротехника
- Қазақстан тарихы
- Қаржы
- Құрылыс
- Құқық, Криминалистика
- Әдебиет
- Өнер, музыка
- Өнеркәсіп, Өндіріс
Қазақ тілінде жазылған рефераттар, курстық жұмыстар, дипломдық жұмыстар бойынша біздің қор #1 болып табылады.

Ақпарат
Қосымша
Email: info@stud.kz