Мұнайдың реологиялық қасиеттері


МАЗМҰНЫ
КІРІСПЕ
1 ТЕХНОЛОГИЯЛЫҚ БӨЛІМ
1. 1 Мұнайдың физика-техникалық және реологиялық қасиеттері
1. 1. 1 Мұнайдың физика-техникалык қасиеттері
1. 1. 2 Мұнайдың реологиялық қасиеттері
1. 2 Құбырлардағы апаттар, оларды байқау және жою
2 АРНАЙЫ БӨЛІМ
2. 1. Резервуар паркінің құрамы
2. 2 Негізгі технологиялық операциялар
2. 3 Резервуардағы мұнай деңгейін өлшеу жүйесі
2. 3. 1 Жүйенің структурасы мен мәні
2. 3. 1. 1 Жүйені құру мақсаты
2. 3. 1. 2 Жүйе структурасы екі деңгелі болып табыладар
2. 8 Ақпаратпен қамтамасыз ету
ҚОРЫТЫНДЫ
ӘДЕБИЕТТЕР ТІЗМІ
КІРІСПЕ
Автоматизация автоматтандырылған баскару жүйесінің электронды есептегіш машинасымен пайдаланып қолдануды ұсынады.
Автоматизация жоғары өнімділікті алуға, экономикалық және социалдық тиімділік жеңісін көтеруге мүмкіндік береді.
Негізгі талаптар, яғни мұнайгазбен қамтамасыз ету жүйесімен көрсетілген сенімділікпен және тоқтамастан мұнайды тұтынушыға барлық технологиялық кешендерде қауіпсіздік және үнемді жұмыста жеткізуді талап етеді. Автоматизация жоғарғы деңгейде болғанда осы талаптар орындалуы мүмкін. Өндірістік объектісінің мұнай көлігі үлкен әртүрлілікпен және үлкен ара қашықтықта сипатталады. Сонымен қатар олар бір-бірімен технологиялық байланыста және пайдалану үрдісінде бір-біріне әсер етеді. Мұндай құрылымдар күрделі және біруақытта бір-бірімен байланысты, жұмыс жүйесінде оларға операциялык басқару сенімділігін және жетілдірілген автоматика құрылғысын және есептегіш техникасын талап етеді. Айдау станциясы - бұл күрделі инженерлік жасақтар кешені, айдайтын өнімі магистралдық кұбырға жіктеледі. Жалпы осы тапсырмаларды магистралды сорап агрегаты, көмекші жасақтар кешенімен және автоматизация аспаптар көмегімен орындайды. Жабдық құрамы, сондай-ақ автоматизация көлемі құбыр арқылы мұнай айдау тәсіліне байланысты. Мұнай айдау тәсілін 3 түрге ажыратамыз: тізбекті, сорап станциясының бір резервуарынан кейінгісі, сораптан сорапқа қосылған резервуар. Барлық айдаудың үш тәсілі дипломдық жобаның технологиялық бөлімінде қарастырылған. Магистралды мұнай құбырларында сораптық станция ортадан тепкіш сораптарымен жабдықталады. Айдаудың қайталанатын құбылысы әдетте 3-4 тізбектей қосылған сораппен қондырылады, ондағы біреуі сақталған қор.
Берілген курстық жұмыста тіректі сораптың автоматизация үлгісінің жұмысы игерілген, автоматизация кұрылғысының спецификациясы ұсынылған.
Сонымен қатар VISSIM қолданбалы бағдарламаның пакетінде динамикалык; бағдарламалау есебінің көмегімен сораптарга тиімді қысымның таратылуы өңделген және есептелінген.
1 Технологиялық бөлім
1. 1 Мұнайдың физика-техникалық және реологиялық қасиеттері
1. 1. 1 Мұнайдың физика-техникалык қасиеттері
Мұнай-сұйық каустобиолиттер қатарына жататын табиғи шикізат. Мұнай сарғылт, жасыл жене коңыр қышқыл, кейде қара түсті болып келетін, өзіне тән иісі бар, ультракүлгін сәуле жарығын шығаратын сұйықтық.
Мұнайды айдау мен сақтау техникасы, оның физика-техникалық қасиетіне байланысты болады, және мұнай мен байланысты жұмыстар.
Мұнай айдағанда жэне сақтағанда абсолютті және салыстырмалы Т өлшем бірліктер қолданады. Мұнайдың салыстырмалы тығыздығы 0, 7 мен 1, 07 аралықта болады.
Салыстырмалы тығыздық дегеніміз бірдей жағдайда мұнайдың тығыздығының су тығыздығына қатынасы.
Т - температурада абсолютік бірлікпен берілген абсолюттік тығыздыкты мына формуламен анықтауға болады:
=
(1. 1)
бұл жерде
және 293К- температурасында сұйықдың тығыздығы;
-
тығыздыққа қосылатын температуралык түзеу ;
Мұнайдың тұтқырлығы температураға тәуелді болады. Есептеу жағдайларда лабораториялық зерттеулердің нәтежесінде алынған тұтқырлық температура қисығын пайдалану қажет. Тұтқырлы-температура графигі болмаса, онда тұткырлыкты керекті температурада мына эмпирикалык өрнектер арқылы анықтауға болады:
(1. 2)
ν
B
T
Сурет 1. Мұнай тұтқырлығының ν температураға Т тәуелділігі
Рейнольдс - Филонов
ν ₌ ν
e
, (1. 3)
Фогель-Фульчер-Тамман
ν ₌ ν
1
exp
( 1, 4)
Фролов
, (1, 5)
мұнда ν- Т температурада берілген кинематикалык тұтқырлық коэффиценті;
v-
температурасында берілген кинематикалық тұтқырлық коэффиценті;
Equation. 3
Егер екі берілген температура нүктелерінде тұтқырлығы анықталған болса мәндерін келтірілген өрнектер арқылы анықтауға болады. Бұл жерде Вальтер (ASTM) ең, нақты өpнeгі болып табылады, бірақта ол өте күрделі келеді. Сондықтан барлық аналитикалық шешімдерді қабылдауға 1, 2 -ші формулаларды қолданады. Сырткы ауа температурасында кейбір мұнайлардың тұтқырлығы өте жоғары болады, сондыктан өндірісте қолдану үшін оны қыздыру керек. Кыздыру процесске байланысты жылу есептеулерін өткізу үшін λ жылуөткізгіштікпен
меншікті жылу сыйымдылық коэффиценттерін білу қажет.
-жылуөткізгіштік коэффицентін (вт/(мК) ) мына өрнекпен анықтайды:
Equation. 3 (1. 6)
мұндағы
-293К температурасындағы мұнай тығыздығы;
Т-мұнай температурасы бұл аналитикалык өрнек 10% дәлдікпен 273-475 К температура аралығында әділетті болады. Мұнайдың меншікті жылу сыйымдылығын
барлык процесстерді айдау мен сақтау кездерінде тұрақты қысымда алынады. Ол мына аралықта 1, 16 : 2, 5 өзгереді. Сондықтан оны есептеулер жүргізгенде
2кДж/(кг К) тең деп аламыз. Нақты есептеулер жүргізгенде Крег формуласын қолдануға болады:
(1-7)
Мұнаймен жұмыс істегенде қиындататын спецификалық қасиеттер бар. Ең басты қасиеттерге өртке қауіптілік, электірлену, булану касиеттері және қоршаған ортаға зияндылығымен.
Өртке қауіптілігі. Мұнай жанар заттарға жатады, ауаның қалыпты құрамында өзінен-өзі жануы мүмкін. Өрт көзі оңай жанатын сұйықтарға тез әсер етеді. Оның көрсеткіштері будың тез және өзінен өзі жану болып табылады.
Газдың жану температурасы - өте төмен (зерттеу жағдайында) жанатын заттың үстінгі қабатында газ немесе бу қалыптасады, будың жану температурасы өте төмен, сондықтан өрт көзі кауіпті, бірақта жануға оның қалыпты температурасы қалыптасқан жоқ. Жану температурасы қалыптасқан жағдайда жану процессі қалыпты болады. Қызып өзінен өзі жанғанда от және от ұшқыны болмағанмен экзотермиялық реакция жылдамдыгы өседі де жанупрцессі от жалынымен аякталады.
Электірлену . Статикалык электрлену деп - катты, сұйық немесе газ тәріздес біртекті емес заттардың бір - бірімен үйкеліс кезінде пайда болатын электрлік зарядтар.
Мұнай, бензин, керосин, мұнай газдарының құбыр арқылы тасымалдағанда және сақтағанда, темір жол цистернасына, резервуарға, танкерлерге құйғанда статикалық электрөлшену кездеседі. Мұнай өнімдері жақсы ди-электрик болганмен, олар электр зарядтарын кеп уакытта сақтап калады.
Мұнай егер оңашаланған металл құбыр немесе құйылатын ыдыс үлкен потенциал алса жерлестіру заттары арасында ұшқын разряды болса, онда жану мүмкін.
Құбыр мен объектінің түрлерінің статикалық электрленуді жинамау үшін оларды жақсылап жерлестіру керек.
Булануы: Ашық ортада жеіл мұнайды қалыпты жағдайда газтеріздес түрге айналып қоршаған ортаға тарайды. Мұндай жағдайда мұнайдың сапасы төмендейді жалпы көлемі азаяды. Мұнай өнімдерінің булануы құрамындағы қаныққан будың қысымына байланысты. Қаныққан будың қысымы үлкен болса, онда мұнай өнімінің булануының, ықтималдығы көп. Қаныққан будың қысымы мұнай өнімінің үстінгі қабатындағы температураға тәуелді болады.
Температураның өсуіне байланысты қаныққан будың қысымы өседі.
Қаныққан будың қысымын экспериментальді түрде анықтайтын аспаптардың түрі көп.
Мұнай қысымын анықтағанда бастапқы қайнау температурасы немесе бершген температурадағы графигі немесе жартылай эмпирикалык формуласындағы тәуелділігі арқылы анықтауға болады.
1. 1. 2 Мұнайдың реологиялық қасиеттері
Сұйыктың қасиеттеріне байланысты ағыстардың сипаттамасын реологиялық деп атайды. Құбырдағы ағыстың бағалық сипаттамасы үшін ең маңызды реологиялық қасиеттері, градиент жылдамдығынан құбырдың радиусымен сұйықтың қатпарлы бетіндегі кернеудің үйкеліс күші тәуелділігі болып табылады.
Төмен дәрежедегі парафин және парафинистік мұнай үшін жоғарғы температурадағы Ньютонның эксперименталды жүзінде алынған судағы тәуелділікті колданамыз:
(1. 8)
мұндағы
-
динамикалық тұткырлық коэффициенті.
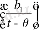
τ
τ 0
2. Сурет -- Әр түрлі сұйықтар үшін кернеу жылуының жылдамдық жылжуына тәуелділігі.
Көптеген сұйықтарда көрсетілген τ тәуелділік dv/ dr жылжымалы жылдамдықтан μ тұрактысында Ньютондық деп аталады және олар үшін графикалық көрсеткіш осы тәуелдлікте бастапқы координаталар аркылы өтетін түзуді (3) көрсетеді.
Жүргізілген көптеген сұйықтардың соның ішінде жогаргы парафинистік мұнайларында, салыстырмалы түрде жоғары емес температуралар Ньютон заңына сүйенбейді. Бұндай сұйықтарды Ньютондык емес деп атайды.
Парафинистік мұнай тәртібін қисык сызықты (2) деп бейнелеуге болады. Кең диапазонда псевдопластик үшін техникалық есептерден, кернеу дәреже теуелділік ретінде жылжымалы жылдамдык. мына түрде қолданылады:
(1. 9)
мұндағы k, n-берілген сұйықтық үшін тұрақты коеффициентер,
жылжымалы жылдамдықтың өлшеусіз модулі.
N коэффициентін ағыс индексі деп, ал k- сипаттамасы деп атайды. Ньютондык сұйықтық үшін n=1, k=μ және (1. 9) өрнектен (1. 8) өрнекті аламыз.
шамасы кейде тиімділік тұтқырлығы деп аталады.
Псевдопластик сұйықтық үшін n<1. Релогиялык, сипаттамаларыда уақыт бойынша өзгеретін сұйықтар кездеседі. Тұрақты жылжымалы жылдамдықта жылжымалы кернеудің уақыт бойынша өзгеруі, сұйвқтың құрылымының бұзылуын түсіндіретін, - тиксотропия, ал осы қасиеттерді қабылдайтын сұйықтар тиксотроптылық деп аталады.
1. 2 Құбырлардағы апаттар, оларды байкау және жою
Апаттар көптеген себептерден болады: агресивті сұйықтарды айдау кезіндегі немесе сыртқы изоляциялы қаптаулардың бүтіндігі бұзылған кезіндегі коррозиялы қиратулардан (ішкі немесе сыртқы коррозиялар) құбырлар металының беріктігі шегін жоғарлататын жоғарғы температуралы . кернеулерден; мүмкіннен жоғары болатын жүктемелерден (мысалы, өзендерді өтудегі құбырлар астындағы грунтты жуу кезінде) .
Тесіп өту беттерінің негізгі саны (48-52%-ті құбырлардағы барлық апаттық жағдайлардан) коррозия әсері нәтижесінде болады. Қазіргі уақытта коррозияға қарсы корғау мен құрылғылары бар магистралді құбырлар эксплуатацияға беріледі.
Бірақ, бұл жағдайда объектілердің тозуы шамасы бойынша коррозиялы қираулардың саны жеткілікті үлкен.
Құбырлардан кемулерді байқау әдістері грунтта немесе жер бетіндегі құбырлар қасындағы мұнай өнімінің пайда болуы, айдаудың технологиялық параметрлерінің өзгеруі, құбырлар металының біртектілігінің бұзылуы сияқты тікелей және жанама белгілерінің шығарлуына тіркеледі. Кемулерді байқайтын құрылғыларды екі түрге бөлуге болады-тікелей және жанама әсерлер. Тікелей әсер құрылғысы грунтта не оның бетіндегі тасымалдау сұйығының пайда болуына әсер етеді.
Жанама әсер құрылғысы кұбыр қысымының ағып кеткен мұнай өнімінің әсері бойынша грунттың температурасының, электрлік сиымдылықтың және тағы басқа өзгеруіне әсер етеді. Барлық осы құрылғылар ірі кемулерді табуға көмек береді. Кішігірім кемулерді шығару үшін жанама әсер құрылғылары аз қолданылады, сондықтан жиірек тікелей және жанама әсерлер жүйелерінің комбинациясын қолданады. Мұнай өнімінің кемуін құбырлардың ішінде сияқты (ішкі бақылау), сыртқыда (сыртқы бақылау), сыйыстырылатын құрылғылар және приборлар көмегімен анықтауға болады. Соңғы жағдайда құрылғылар стационарлы болуы мүмкін. Сыртқы бақылауды визуалды немесе приборлар аркылы өткізуге болады.
Визуалды бақылау трассаны айналып өту кезінде (айналып үшу) іске асады. Ол айдайтын мүнай өнімі судың не жердің бетіне шыққанда ғана тек ірі апаттарды таба алады. Сыртқы бақылау приборлары ретінде құбыр трассасының маңайында сыйыстырылатын акустикалық, газдық, жылулық түрдегі түрлі датчиктерді қолданады.
Бақылаудың осы түріне жататындар: құбырдың кірісі мен шығысындағы мұнай өнімінің шығынын салыстыру, электр қозғалтқышын қайта жіктеуін бекіту және тағы басқа ішкі бақылауды (жабдық құбырішінде орын ауыстырады) акустикалық, электромагниттік, ультродыбыстық және басқа жабдықтар арқылы және де радиоактивті, газды немесе сұйық трассерлер арқылы жүргізеді.
Құбырдың толық немесе бөліктік ажыраулардағы айдалы-натын мұнай өнімінің үлкен кемулерін қысым құлауы мен шығынды өлшеу сызықтарын салу жолы арқылы оңай табады.
Құбырдың толық бөлінуінен мұнай өнімі соңғы пунктіне түспейді, ал айдау стансасының шығысындағы қысым стансадан р-дан р2-гедейін құлайды.
Кейде кему орындарын анықтау үшін радиактивті заттарды немесе белгіленген атомдарды (трассерлер-натрий-24, кобольт-60 жоне басқалар) қолданады. Кему орнында радиоактивті ертінді грунтқа түседі. Грунттың радиоактивтілігін жер бетінен құбыр трассасы бойымен орын ауыстыратын детекторлармен өлшей отырып, кему орнын табады.
Барлық приборлардың ішінде ең қолайлысы болып магнитометрліктер жатады. Осы жабдықтардың жұмыс кағидасы құбыр дуалының қалыңдығының өзгеру нәтижесінде магнит өрісінің өзгерулерін тіркеуіне негізделген. Дуал қалындығының өзгеруі наминалды мәнінен 2-3 % аралығында тіркеледі. Құбыр дуалдар күйімен мүмкін болатын кемулерді бақылау айдауды тоқтатпай жүргізеді, сондықтан ол профилактикалы, перспективті.
Жабдықты арбашаларды радиусы І, 5Dу майысқан өндірмелерді өте алатындай және 4-13км/с жылдамдықпен қозғала алатындай етіп кұрастырады. Арбашалар қозғалысының жылдамдығын қайта жіберілетін арналар, тежегіштер мен гидротурбнналары бар арнайы құрылғы көмегімен реттейді.
Профилактикалық жабдық ретінде ультродыбыстық құрылғыны қолдануға болады. Жабдықтың алдыңғы бөлігіне ультрадыбыстық генераторды (арбашаның дөңгелегінен іске қосылады) орнатады. Ультродыбыстық сәуле жабдық қозғалысының жылдамдығына пропорционалды бұрыштық жылдамдығымен құбыр осі бойынша айналып кұбырдың барлық ішкі бетінің сканерлеуін жүргізеді.
Арнаулы құрылғымен құбырдың ішкі диаметрін өлшейді. Құбыр дуалының ішкі бұзылулары кезінде (коррозиялық бұзылулар, тесіктер және тағы басқа), олар өлшегіштермен белгіленеді, ал нәтижелер арнайы таспаға жазылады. Жазуды өтілген арақашықгықпен келтіреді және шифрді ашқанда құбыр бүтіндігінің мүмкін бұзылулар орындарын анықтайды.
Бүлінгенді жою тәсілі оның түріне байланысты. Егер кему кіші болса онда теория жүзінде оны құбырды ашпай-ақ жоюға болады.
Бұл жағдайда құбырға кемуді табатын детектордан тұратын арнайы құрылғы мен ақауды саңылаусыздандыру үшін құралдарды енгізеді. Ақауды тапқаннан кейін құрылғыны тоқтатады.
Саңылаусыздандырғыш элемент құрылғыдан босатыла отырып, құбырдың ішкі бетіне тығыздалып қонады, ал детекторлы арбаша ары қарай кетеді.
Саңылаусыздандырғыш элементті арнаулы жүмсақ төсеніштері бар серпімді таспа түрінде жасайды. Таспаның төсеніштері полимерлі қосындылармен дымқылданған, және олар уақыт өткен сайын полимерленіп, кемуді, жеткілікті, беріктіетіп жояды.
Көбінесе кемуді жою үшін жер асты құбырдың ақау бөлігін ашады.
Егер ақау қуыс түрінде болса, онда куысты корғасын тығын мен тығындайды. Содан кейін осы орынға металды жамауды қойып бүкіл контур бойынша құбырға пісіреді. Егер тығынды қолдануға келмесе, онда кемуді бензин өткізбейтін резинадан, қорғасыннан немесе фибрадан жасалған иілімді төсеніші бар арнайы қамыт аркылы жоюға болады. Қамытты тартқаннан кейін оны құбырға пісіреді.
Қысым жоқ болса, жөндеуді қатайтқышы бар элоксидті шайырмен жүргізуге болады. Ол үшін қатайтқышы бар шайырмен дымқылданған жұмсақ төсеніштерімен ақауы бар құбырды орайды.
... жалғасы- Іс жүргізу
- Автоматтандыру, Техника
- Алғашқы әскери дайындық
- Астрономия
- Ауыл шаруашылығы
- Банк ісі
- Бизнесті бағалау
- Биология
- Бухгалтерлік іс
- Валеология
- Ветеринария
- География
- Геология, Геофизика, Геодезия
- Дін
- Ет, сүт, шарап өнімдері
- Жалпы тарих
- Жер кадастрі, Жылжымайтын мүлік
- Журналистика
- Информатика
- Кеден ісі
- Маркетинг
- Математика, Геометрия
- Медицина
- Мемлекеттік басқару
- Менеджмент
- Мұнай, Газ
- Мұрағат ісі
- Мәдениеттану
- ОБЖ (Основы безопасности жизнедеятельности)
- Педагогика
- Полиграфия
- Психология
- Салық
- Саясаттану
- Сақтандыру
- Сертификаттау, стандарттау
- Социология, Демография
- Спорт
- Статистика
- Тілтану, Филология
- Тарихи тұлғалар
- Тау-кен ісі
- Транспорт
- Туризм
- Физика
- Философия
- Халықаралық қатынастар
- Химия
- Экология, Қоршаған ортаны қорғау
- Экономика
- Экономикалық география
- Электротехника
- Қазақстан тарихы
- Қаржы
- Құрылыс
- Құқық, Криминалистика
- Әдебиет
- Өнер, музыка
- Өнеркәсіп, Өндіріс
Қазақ тілінде жазылған рефераттар, курстық жұмыстар, дипломдық жұмыстар бойынша біздің қор #1 болып табылады.

Ақпарат
Қосымша
Email: info@stud.kz