МЕХАНИКА


ЛК №1 МЕХАНИКА
Жоспар:
Кинематика элементтері. Материалдық нүкте және оның орны. Түзу сызықты бірқалыпты және бәрқалыпсыз қозғалыс. Треактория, жол, орын ауыстыру векторы, жылдамдық және үдеу.
Қисық сызықты қозғалыс. Бұрыштық жылдамдық және үдеу. Қозғалыстың салыстырмалылығы.
Динамика элементері. Ньютонның 1 -заңы. Инерция. Санақ жүйесі. Ньютонның 2 -заңы, масса, күш. Ньютонның 3 -заңы. Дене қозғалысының теңдеулері. Импульстің сақталу заңы. Жұмыс, энергия және қуат. Энергияның сақталу заңы.
Әдебиеттер
1. Қожанов Т. С., Рысменде С. С. Физика курсы, Қаз. Аграр. Унив. - Алматы:
Агроуниверситет, 2001 ж. 1 том: Механика. Молекулалық физика. Термодинамика.
2. Жұбанов М. Физиканың негізгі заңдары. - Алматы: Мектеп. 1989
3. Абдулаев Ж. Жалпы физика курсы: Оқу құралы. - Алматы: Ана тілі, 1991 ж.
4. Ақылбеков Ә. Физика: Техникалық жоғары оқу орындары студенттеріне арналған
оқу құралы. - алматы: Білім, 1997 ж.
5. Савельев И. В. Жалпы физика курсы. 1, 2, 3 т. Алматы, 1983.
6. Нұрқасымова С. Н. Физика (механика) - Астана, 2014
7. Нұрқасымова С. Н. Физика (молекулалық және термодинамика) - Алматы, 2015
8. Нұрқасымова С. Н. Физика (электростатика және магнетизм) - Алматы, 2017
Механика - механикалық қозғалыстар туралы ғылым. Механикалық қозғалыс деп санақ жүйесі ретінде алынған денемен салыстырғанда басқа бір дененің орын ауыстыруын айтады.
Кинематика гректің kinematos - қозғалыс деген сөзінен шыққан .
Кинематика - қозғалыстардың себептерін қарастырмай, тек түрлерін қарастырады.
Динамика - қозғалыстардың пайда болу себептерін қарастырады.
Макроскопиялық денелердің қозғалыс жылдамдығы вакуумдағы жарық жылдамдығынан өте аз болса,
, онда мұндай қозғалыстарды қарастыратын механика
классикалық механика
, ал денелердің қозғалыс жылдамдығы жарық жылдамдығымен шамалас болса
релятивистік механика
делінеді. Сонымен қатар, атомдар мен элементар бөлшектердің қозғалыс жылдамдықтарын зерттейтін механика
кванттық механика
болып табылады.
Механикадағы абстрактылы шамалар.
Физика есептерін шығарғанда, есептердің шартына қарай абстрактылы шамалар қолданылады. Абстрактылы шамалар - табиғатта кездеспейтін шамалар, мысалы:
- Материалдық нүкте- пішіні мен өлшемі есептің шартына қарай ескерілмейтін дене.
- Абсолют қатты дене- деформациясы Гук заңына бағынатын және сыртқы күштің әсері тоқталғаннан кейін өзінің өлшемі мен пішініне қайтып оралатын дене.
- Абсолют серпімсіз дене- сыртқы күштің әсері тоқталғаннан кейін деформациясын сақтайтын дене.
Қозғалыстың жалпы түрлері
Кез келген қатты дененің қозғалысы ілгерілемелі және айналмалы қозғалыстардан тұрады.
Ілгерілемелі қозғалыс деп - қозғалатын денемен байланысты түзудің өзіне-өзі параллель қозғалуын айтады.
Айналмалы қозғалыс деп - дененің барлық нүктелерінің айналу осі арқылы шеңбер жасай қозғалуын айтады.
Материалдық нүктенің қозғалысы уақытқа тәуелді: x=x(t), y=y(t), z=z(t)
Бұл теңдеулер кинематикалық қозғалыс теңдеулері деп аталады. Олар нүктенің қозғалысының векторлық теңдеуіне сәйкес:
Материалдық нүктенің қозғала отырып сызған қисықты траектория деп атайды Траекторияның пішініне байланысты қозғалыс түзу сызықты немесе қисық сызықты болып екіге бөлінеді.
Траекторияның қарастырып отырған уақыттағы барлық бөліктерінің қосындысын жол деп атайды:
1 - сурет
Қозғалыстың бастапқы нүктесі мен соңғы нүктесін қосатын векторды орын ауыстыру векторы деп атайды:
Егер
ұмтылса, онда
болады, яғни жол мен орын ауыстыру шамалас болады.
Дененің қозғалысы тек траектория, жол, орын ауыстырумен ғана сипатталмайды, сонымен қатар, жылдамдық, үдеу сияқты физикалық шамалармен де сипатталады
Жылдамдық - уақыт мезетіндегі қозғалыстың шапшаңдығын білдіретін векторлық шама.
Орташа жылдамдық векторы


2 - сурет
Орташа жылдамдықтың бағыты
радиус-вектордың бағытымен бағыттас. Жылдамдықтың өлшем бірлігі: м/с.
Лездік жылдамдық
берілген нүктедегі радиус-вектордың
уақыт бойынша бірінші туындысын айтады:
Лездік жылдамдық траектория бағытына жанама бағытталған. Лездік жылдамдықтың модулі (скаляр шама) жолдың уақыт бойынша бірінші туындысы болып табылады:

Жылдамдық векторлық шама, координат осьтерінде:
ал,
,
,
осьтеріндегі проекциялары:
Нүктенің
ден
-ге дейін уақыт аралығында жүріп өткен жолы интеграл арқылы анықталады:
Үдеу - жылдамдықтың модулі және бағыты бойынша шапшаңдығын сипаттайтын векторлық шама. Қисық сызықты қозғалыс кезінде үдеудің бағыты жылдамдықтың бағытымен сәйкес келмейді, ал түзу сызықты сызықты қозғалыс кезінде олар бағыттас.
3 - сурет
Орташа үдеу
деп жылдамдықтың
өзгеруінің уақыт интервалына қатынасын білдіретін векторлық шаманы айтады:
Лездік үдеу деп қарастырылып отырған нүктенің қозғалыс жылдамдығының уақыт бойынша бірінші туындысын, радиус-вектордың уақыт бойынша екінші туындысын айтады:
Егер үдеу жылдамдықтың модулінің өзгерісін сипаттаса және траекторияға жанама бағытталса, онда мұндай үдеуді тангенсиал үдеу
деп атаймыз:
Тангенциалды үдеу
шамасы
:
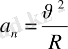
Егер үдеу траектория қисықтығының центріне нормаль бағытталған және жылдамдықтың бағытының өзгеру шапшаңдығын сипаттаса, онда мұндай үдеуді нормаль немесе центрге тартқыш үдеу
деп атайды:
Нормальдық үдеудің
шамасы:
бұл теңдеуде R - берілген нүкте үшін траекторияның қисықтық радиусы.
Толық удеу:
Координат осьтеріндегі проекциялары:
Егер
бастапқы жылдамдықтан ал
сонда
деп
бұдан
енді 0 ден t- ге дейін
-н алынатын болса ол нүктенің бірқалыпсыз жолын береді.
Айналмалы қозғалыстың кинематикасы.
Айналмалы қозғалыс деп - дененің барлық нүктелерінің айналу осі арқылы шеңбер жасай қозғалуын айтады.
Айналмалы қозғалысты сипаттағанда полярлық координаталар: R радиус және ϕ бұрыш қолданылады.
Дененің айналуын қарастырғанда, оның айналу бағытын оң бұранда ережесі арқылы табуға болады.
Айналмалы қозғалысты айналу бұрышы және радиус арқылы ғана емес, сонымен қатар, бұрыштық жылдамдық, бұрыштық үдеу арқылы да сипаттайды .
4 - сурет
Бұрыштық жылдамдық деп
уақыт ішіндегі жасалған ∆ϕ айналымды айтады. Бұрыштық жылдамдық векторлы шама:
немесе
Айналу қозғалысы біртекті болса, онда қозғалысты айналу периоды Т арқылы да сипаттауға болады. Айналу қозғалысы біртекті болса, онда қозғалысты айналу периоды Т арқылы да сипаттауға болады. . Айналу периоды Т деп дененің бір айналымға кеткен уақытын айтады, яғни дене 2π бұрышқа бұрылады.
=Т
уақыт мезетіне
∆ϕ=2π
айналу бұрышы сәйкес келетіндіктен,
деп жазуға болады, бұдан
Бірлік уақыт ішіндегі айналым саны немесе айналу жиілігі:
бұдан бұрыштық жылдамдық,
екені шығады.
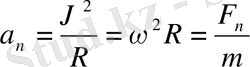
Бұрыштық үдеу - бұрыштық жылдамдықтың уақыт бойынша туындысы немесе бұрылу бұрыштың уақыт бойынша екінші туындысы:
,
Толық удеу:
Тангенциалды үдеу
шамасы
:
осыдан,
болса, онда
Нормальдық үдеудің
шамасы:
Сонамен, сызықтық және бұрыштық шамалар арасындағы байланыс:
,
,
,
Механиканың негізгі заңы ретінде Ньютонның үш заңы айтылады.
Ньютонның бірінші заңы.
Дене басқа бір сыртқы күш әсер еткенше тыныштық күйін сақтайды немесе түзу сызықты қозғалыста болады. Дененің өз қозғалысын немесе тыныштық күйін сақтауға ұмтылуын инерттілік деп атайды. Сондықтан Ньютонның бірінші заңын инерция заңы деп атайды. Егер денелердің инерциалдық қасиеті болмаса, онда оның қозғалысы үдеуді сипаттамай, тек сол уақыттағы жылдамдықтың шамасын ғана көрсетеді. Инерциалдық қасиет, ол қозғалыс түріне байланысты емес, ол барлық физикалық денелерге тән қасиет.
Кеңістікте қозғалыстағы денелердің қозғалмайтын денелер арқылы салыстырып қарау жүйесін санақ жүйесі деп атайды.
Санақ жүйесі ретінде Декарттық координат жүйесі қолданылады. Мысалы, М нүктесінің орнын радиус - вектор
арқылы сипаттауға болады:
5 - сурет
Материалдық нүктенің қозғалысы уақытқа тәуелді: x=x(t), y=y(t), z=z(t) . Бұл теңдеулер кинематикалық қозғалыс теңдеулері деп аталады. Олар нүктенің қозғалысының векторлық теңдеуіне сәйкес:
Ньютонның екінші заңы
Бұл заңды қарастырмас бұрын күш, масса, импульс сияқты физикалық шамаларды қарастырайық.
Масса
Дененің, басқа денелер әсер етпеген кездегі өзінің жылдамдығын сақтауын инерттілік деп атайды. Материалдық нүктенің және ілгерілемелі қозғалыстағы дененің инерттілік өлшемін сипаттайтын физикалық шаманы - инертті масса деп атайды.
Масса - бүкіләлемдік тартылыс заңына сәйкес, денелердің басқа денелермен әсерлесу қабілеттілігін де сипаттайды. Мұндай жағдайда, масса гравитацияның өлшемі болып табылатындықтан - оны гравитациялық масса деп атайды.
Дененің берілген нүктедегі тығыздығы ρ деп дененің бір кішкентай бөлігінің dm массасының, осы бөліктің көлеміне dV қатынасын айтады.
Күш деп денелердің өзара әсерлесуінің нәтижесінде бір-біріне үдеу беруін айтамыз. Денелердің өзара әсері бір-біріне үдеу беріп қана қоймай, бір-бірінің көлемі мен пішінін де өзгерте алады, яғни дененің бөлшектерінің орын ауыстыруы пайда болады.
- күш, күш векторлық шама. Өлшем бірлігі -
1Ньютон (Н) :
1Н деп - күштің массасы 1кг денеге 1м/с 2 үдеу беруін айтады.
Импульс
Дененің массасы мен жылдамдығының көбейтіндісін импульс деп атайды
Импульстің бағыты жылдамдықтың бағытымен бағыттас. Бұл теңдеу ілгерлемелі қозғалыстағы материалдық нүкте үшін тура келеді, ал қозғалыстағы материалдық нүктелер жиынтығынан тұратын дене үшін толық импульс:
немесе екі әсерлесетін бөлшектердің тұйық жүйесінің толық импульсы:
Импульс - векторлық шама, өлшем бірлігі -
Ньютонның екінші заңы денелердің өзара әсерлесуі және ілгерлемелі қозғалысы кезінде оларда болатын өзгерістердің байланысын сипаттайды. Сондықтан, бұл заң ілгерлемелі қозғалыс динамикасының негізгі заңы болып табылады. Ол былай тұжырымдалады:
Дененің алған үдеуі, әсер етуші күшке тура пропорционал, ал дене массасына кері пропорционал және әсер етуші күштің бағыты бойынша өзгереді:
соңғы теңдеуді
деп жазсақ, мұндағы
- өте
dt
аз уақыт ішіндегі күш импульсі болып табылады.
Ньютонның бірінші заңы екінші заңының дербес түрі, оны былай түсіндіруге болады. Егер әсер етуші күш
, тең болса, онда дене үдеу алмайды
, яғни дене өзінің бастапқы тыныштық күйін немесе бір қалыпты түзу сызықты қозғалыс күйін сақтайды да, инерция заңына айналады.
Әсер етуші күштердің тәуелсіздік заңы.
Егер материалдық денеге бір мезгілде бірнеше күш әсер етсе, онда әрқайсысы осы материалдық денеге Ньютонның екінші заңы бойынша үдеу береді. Тәуелсіздік заңы бойынша күштер мен үдеулерді құраушыларға жіктеуге болады.
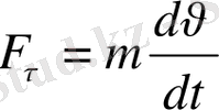
Мысалы, материалдық нүктенің нормаль және тангенсиал үдеулері сәйкесінше күштің құраушыларымен анықталады:
;
;
мұндағы F τ - қозғалысқа жанама бағытталған, ал F n - траекторияның қисықтық центріне бағытталған және центрге тартқыш күш деп аталады.
Ньютонның үшінші заңы.
Ньютонның үшінші заңы, бірінші және екінші заңдарын толықтыра түседі.
Бұл заң былай тұжырымдалады: әсерлесуші екі дененің бір-біріне әсері әр уақытта сан жағынан тең, бағыттары жағынан қарама-қарсы болады.
Ньютон механикасы тек қозғалыс жылдамдықтары, жарық жылдамдығынан өте аз болған жағдайда орындалады яғни,
Импульстің сақталу заңы.
Р - импульс,
Тұйық жүйенің импульсі уақыт өтуімен өзгермейді:
Механикалық жұмыс. Жұмыс деп әсерлесуші денелердің бір-бірімен энергия алмасуының сандық өлшемін айтады.
6 - сурет
Түзу сызықты қозғалыс кезінде күш тұрақты және орын ауыстыру бойымен бағытталған жағдайда жұмыс
күшімен оның түскен нүктесінің
орын ауыстыруының көбейтіндісіне пропорционал, яғни
Мына сурет арқылы
,
және
шамаларының бағыты туралы түсінік береді.
7 - сурет
болса онда,
F - денеге түсірілген күш, S - орын ауыстыру, α - күш бағытымен орын ауыстыру арасындағы бұрыш.
7 - сурет бойынша жұмыс шамасын 1-2 траектария арасында элементар жұмыс
:
Сонда жұмыс шамасы сан жағынан F - күштің, күш түсірілген нүктенің S - орын ауыстыруының және күш бағытымен орын ауыстыру арасындағы α бұрышы косинусының көбейтіндісіне тең болады. Жұмыс - скалярлық шама.
Егер күш бағыты мен орын ауыстыруының арасындағы бұрыш сүйір (
) болса, онда
.
Егер күш бағыты мен дененің орын ауыстыруының арасындағы бұрыш доғал
болса,
. Бұл жағдайда күш теріс жұмыс жасамайды, керісінше жұмыс түсірілген күшке қарсы істелінеді.
Егер күш пен орын ауыстыру арасындағы бұрыш
болса,
, яғни
А=0
жұмыс жасалмайды.
Жұмыстың өлшем бірлігі -
, 1Н күштің 1м жолда жасаған жұмысы 1Дж=1Н·м
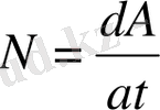
Қуат
Механизмнің уақыт бірлігінде істейтін жұмысын қуат деп атайды.
мұндағы dA - жұмыс, dt - уақыт, яғни қуат - жұмыстың уақыт бойынша алынған туындысы.
... жалғасы- Іс жүргізу
- Автоматтандыру, Техника
- Алғашқы әскери дайындық
- Астрономия
- Ауыл шаруашылығы
- Банк ісі
- Бизнесті бағалау
- Биология
- Бухгалтерлік іс
- Валеология
- Ветеринария
- География
- Геология, Геофизика, Геодезия
- Дін
- Ет, сүт, шарап өнімдері
- Жалпы тарих
- Жер кадастрі, Жылжымайтын мүлік
- Журналистика
- Информатика
- Кеден ісі
- Маркетинг
- Математика, Геометрия
- Медицина
- Мемлекеттік басқару
- Менеджмент
- Мұнай, Газ
- Мұрағат ісі
- Мәдениеттану
- ОБЖ (Основы безопасности жизнедеятельности)
- Педагогика
- Полиграфия
- Психология
- Салық
- Саясаттану
- Сақтандыру
- Сертификаттау, стандарттау
- Социология, Демография
- Спорт
- Статистика
- Тілтану, Филология
- Тарихи тұлғалар
- Тау-кен ісі
- Транспорт
- Туризм
- Физика
- Философия
- Халықаралық қатынастар
- Химия
- Экология, Қоршаған ортаны қорғау
- Экономика
- Экономикалық география
- Электротехника
- Қазақстан тарихы
- Қаржы
- Құрылыс
- Құқық, Криминалистика
- Әдебиет
- Өнер, музыка
- Өнеркәсіп, Өндіріс
Қазақ тілінде жазылған рефераттар, курстық жұмыстар, дипломдық жұмыстар бойынша біздің қор #1 болып табылады.

Ақпарат
Қосымша
Email: info@stud.kz