Жылыту жүйелеріне арналған жылу тасымалдағыштар


ҚАЗАҚСТАН РЕСПУБЛИКАСЫНЫҢ БІЛІМ ЖӘНЕ ҒЫЛЫМ МИНИСТРЛІГІ
Л. Н. Гумилев атындағы Еуразия Ұлттық Университеті
Сәулет-Құрылыс факультеті
Ғимараттар мен имараттарды жобалау кафедрасы
Дипломдық жұмыс
Тақырыбы « Нұр-Сұлтан қаласының мысалында, кеңсе және тұрағы бар 6 қабатты тұрғын үйге жылу жүйесін жобалау»
5В072900- Құрылыс мамандығы бойынша
Орындаған Сахова Р. А.
Жоба жетекшісі Фазылов К. Р.
Астана 2020
МАЗМҰНЫ
Кіріспе
Ғимараттар мен имараттарды қазіргі дамыған және технологиясы жағынан ауқымды жетістікке жеткен заманда инженерлік жүйемен қамтамасыз ету, жобалау және пайдалану теориялық білім мен тәжірбиелік білімді аса қажет етеді. Қазіргі технологиялардың дамуы арқасында инженерлік жүйелерде кететін жылу энергиясы тиімді пайдалану шарасы тек біздің елде емес, бүкіл әлемде кеңінен таралып отыр. Энергетикалық тиімділік тұрғысынан энергияны тиімді пайдалануды екі топқа болып қарастыруға болады:біріншісі - орталықтандырылған, екіншісі - жергілікті. Бір орталықтан таралған жылу жүйесінен тысқары орналасқан көптеген тұтынушыларды жылумен қамтамасыз етуге ыңғайлы. Мұндай жағдайда қаладағы тұтынушылар мен өндіріс аймақтары жылу электро орталығы ЖЭО немесе аудан қазандықтары АҚ арқылы жылумен қамтамасыз етіледі.
Ғимараттардағы жылыту жүйесі дегеніміз - бөлмелердегі қажетті температураны туғызып, жылу шығынының орнын толтыру және жылу жайлылығының шарттарына және технологиялық процесстердің талаптарына жауап беретін температураны берілген деңгейде ұстау мақсатында үй-жайлардың жайлылығына қарастырылған.
Жылумен жабдықтау жүйесінің ішіндегі сумен жабдықтау жүйесі кеңінен таралған. Сумен жылыту жүйесі табиги айналымға түсетін және механикалық тәсіл арқылы айналымға түсетін ажыратылады. Сумен жылыту жүйесіне су қыздырғыштары, жылыту құрылғылары радиаторлар, панельдер, конвекторлар және т. б. су құбырлары, су қызған кезде оны артық көлеммен қабылдайтын ыдыс, бекітіп реттеуге арналған арматуралар негізгі құрамы ретінде қаралып енгізілген. Сумен мен бумен жылыту жүйелеріне негізгі элементті бірі болып табылатын - жылыту аспаптары, олар жылутасымалдағыштан келетін жылуын бөлме ауасына беруге арналған. Бумен жылытуда жылу тасымалдағыш су буы бөлмелерде орнатылған қондырғыларға бу құбыры арқылы беріледі. Бумен жылыту жүйелері барысында бумен жылыту құрылғыларында конденсациялануы кезінде бу түзіп жылу бөліп шығару қасиеті пайдалынылады. Бұл кезде пайда болған конденсат құбырлар арқылы жылытылатын үй жағдайындағы қазандыққа қайтып оралады. Жылыту мақсатында трубиналардан және бу машиналарыннан пайда болатын буда қолданылуы мүмкін.
Ауалық жылыту орталықтандырылған жылумен қамту түрлерінің жылытудың басқада түрлерімен байланысы бар. Ауалық жылытуда атмосфералық ауа қолданылады. Ауалық жылыту ауа -жылутасымалдағышының екінші түрі болып қарастырылады, бірінші жылутасымалдағыш калориферлерде ыстық сумен немесе бумен қыздырылады. Ауаны жылыту үшін басқада құрылған қолданылады. Ауамен жылыту жылытылатын үйде орнатылатын жергілікті жылыту және жылыту желдету агрегаттарымен және орталықтандырылған жылыту жүйесі арқылы іске асырылады.
Жылыту жүйесінің атқаратын міндеті - адам өмірі мен жұмыс атқаруына жайлы болуы, ғимараттар мен имараттардың жыл мезгіліне қарай комфортты жағдайды ұстап тұру. Бөлмелерде комфорттық жағдайды оптимальды температура арқылы ұстап тұру үшін жылыту қондырғыларының техникалық жағынан қолайлысын қолдана білу керек.
Дипломдық жобада Нұр-Сұлтан қаласының мысалында, кеңсе және тұрағы бар 6 қабатты тұрғын үйді жылумен жабдықтау қарастырылған. Ғимарат бөлмелерінің ішкі ауасына және қоршау құрылымдарының қажетті температураны ұстап тұру үшін жылыту жүйесі қажет, яғни оптимальды температуралық жағдай арқылы үй ішіне комфорттық жағдай туғызуға болады. Атқарылатын жұмыстың негізгі мақсаты - ғимаратты жылумен қамтамасыз ету және жылыту жүйесінің энергия үнемдеу жобасын таңдап, есептерлер жүргізу. Жылыту жүйесі жылу электро жүйесі ЖЭО арқылы қамтамасыз етіледі. Жылу жүйесі су жүйесі таңдалған. Жобалау кезінде қазіргі технологияларға сәкес жылыту аспаптар мен жабдықтары таңдалынады .
I Жылыту жүйесінің негіздері мен сипаттамалары
1. 1 Жылыту жүйесі туралы жалпы мәлімет
Жылыту - ғимараттар мен имараттардағы қоршау беттері және бөлме ішіне қажетті жылуды беріп, сол жылуды қалыпты жағдайда тұруға арналған инженерлік жүйе. Жылыту қондырғылары жылдың суық мезгілінде бөлме ішінде жасанды микроклиматпен қамтамасыз етіледі.
Жылыту жүйесі - конструктивті элементтердің өзара байланысы бар, бөлмелер ішіне қажетті жылу шығыннын үнемдеп, біркелкі температура таратып беруге арналған. Жылыту жүйелерінің негізгі элементтері жылу көзі, жылу қондырғылары, жылу аспаптары. Жылыту жүйесі классификациясына қарай, нормативтік деңгейіне қарай, жылу тасымалдануына қарай ажыратылады.
Жылыту жүйесінің классификациясына қарай екі түрге бөлініп қарастырылады біріншісі - жергілікті, екіншісі- орталықтандырылған.
Жергілікті жылыту жүйесінде жылу аспаптары, жылу қондырғылары, жылу көзі бір қондырғыға біріктірілген. Жергілікті жылу көзіне ауыл аймақтардағы үй ішіндегіпештерді қарастыруға болады. Пештердің жылу көзі қызметін ошақ атқараса, жану өнімдерін әкетуге түтін жолы құбырлары арқылы шығарылады, ал жылу бөлмеге пеш қабырғалары арқылы беріледі.
Орталықтандырылған жылумен жабдықтау жүйесі кеңінен таралған жүйе болып қарастырылады. Бұл жүйенің жылумен жабдықтау аймағы жергілікті жылумен қамтамасыз етуге қарағанда ауқымды. Орталықтандырылған жылумен жабдықтау жүйесі арқылы бірнеше ғимараттарды жылумен қамтьамасыз етуге болады. Тұтынушыларға немесе өндіріс аймақтарына жылу электро орталығы ЖЭО таралады. Орталықтандырылған жылумен жабдқтау жүйелерін әр түрлі дәрежеде қамтуға болады
а) топтық- ғимараттар тобын жылумен қамтамасыз ету,
б) аудандық- қала ауданын жылумен қамтамасыз ету,
в) қалалық- бірнеше аудандарды жылумен қамтамасыз ету,
г) қала- аралық -бірнеше қалаларды және қала типті ауыл аймақтарды жылумен қамтамасыз ету.
Жылумен жабдықтау жылу көзінен жылу тасығышты тұтынушыға жеткізетін жылу торабынан және жылу тұтынатын қондырғылардан тұрады. Жылумен жабдықтау бір орталықтан жылумен жабдықтау және жергілікті жылумен жабдықтау болып ажыратылады. Бір орталықтан жылумен жабдықтау жылуды өндіру орнынан тысқары орналасқан көптеген тұтынушыларға жылу жеткізуді қамтамасыз етеді. Мұндай жағдайда қала мен өндіріске қажетті жылу көзі ретінде жылу электр орталықтары (ЖЭО) және жылыту қазандықтары кеңінен таралған. Бір орталықтан жылумен жабдықтау жергілікті жылумен жабдықтау жүйесіне қарағанда отынды едәуір
үнемдеуге мүмкіндік береді. Оның құрамына жылу көзі (қазандық немесе ЖЭО) және жылуды тұтыну орындарына жеткізіп беретін құбырлар кіреді. Жергілікті жылумен жабдықтау жүйелерін дербес (цех, бөлме немесе пәтер дербес жылу көзінен, соның ішінде пеш арқылы жылумен қамтамасыз етіледі) және жеке (әрбір ғимарат өзінің жылу көзімен жабдықталады, оны ғимаратты орталықтан жылыту деп атайды) жылумен жабдықтау түрлеріне ажыратады.
Жылу тасымалдағыш - жылу ауаны айдау және ыстық су жүйелерінің құралдарына жылу көзі жылуды беретінін айтамыз. Жылумен жабдықтау жүйесі жылу тасымалдағыштың түрі бойынша екі топқа бөлінеді: жылумен жабдықтау және бу жүйелері. Аты айтып тұрғандай, жылумен жабдықтау жүйесінің су жүйелерінің негізгі жылу тасымалдаушысы су, бу жүйелерінде бу болып табылады. Біздің елді мекендер мен аймақтарда, қалаларда жәнеде тұрғын аудандарда жылу тасымалдағышы ретінде қазіргі таңда су қолданыста көптеп пайдаланады.
Су-сыйымдылығы мен тығыздығы жоғары сұйықтық. Температураға байланысты тығыздығы, көлемі өзгереді, қайнау температурасы қысымға байланысты. Сумен жылыту жүйесі табиғи тәсілмен айналым түсетін және механикалық тәсілмен айналымға түсетін деп екі түрде қарастырылады. Сумен мен бумен жылыту жүйелеріне негізгі элементті бірі болып табылатын - жылыту аспаптары, олар жылутасымалдағыштан келетін жылуын бөлме ауасына беруге арналған. Бумен жылытуда жылу тасымалдағыш су буы бөлмелерде орнатылған қондырғыларға бу құбыры арқылы беріледі. Бумен жылыту жүйелері барысында бумен жылыту құрылғыларында конденсациялануы кезінде бу түзіп жылу бөліп шығару қасиеті пайдалынылады. Бұл кезде пайда болған конденсат құбырлар арқылы жылытылатын үй жағдайындағы қазандыққа қайтып оралады. Жылыту мақсатында трубиналардан және бу машиналарыннан пайда болатын буда қолданылуы мүмкін.
Бу-тығыздығы төмен, тез жылжитын зат. Тығыздығы мен қысымы температураға байланысты.
Энергетикалық жағынан буға қарағанда суды пайдалану тиімді болып саналады. Жылутасымалдағыш ретінде судың буға қарағандағы ерекшеліктері:
а) жылу пайдаланғандағы үлкен энергия өндіруші ;
б) жылумен қамтамасыз ету жүйесіндегі жоғары ПӘК ;
в) жылулық жүйедегі судық аккумуляциялық қабілеті;
г) ЖЭО шықтардың сақталуы ;
Жылутасымалдағыш ретіндегі судың кемшілігі :
а) суды айдауда электір энергиясының көп мөлшердегі шығыны;
б) апаттарға сезім талдығы ;
в) жылутасығыштың тығыздығының жоғарлығы ;
Ауа- жылу сиымдылығы, тығыздығы өте аз. Тығыздығы және көлемі температураға байланысты өзгереді. Ауамен жылыту жүйесі кезінде үй-жай және олардың температурасынан жоғары ауамен жылытылады. Барлық дерлік жылыту жүйелерінде жылу генераторы арқылы өндірілетін жылу тұтынушыға ауа арқылы беріледі.
Жылыту жүйесінің нормативті деңгейіне қарай санитарлы-гигеналық, экономикалық, құрылыстық, монтаждық, пайдаланулық деп ажыратылып қарастырылады.
Санитарлы-гигеналық - қоршаулардың ішкі бет температурасын және бөлмедегі ауа температурасын белгілі бір тұрақтылықта ұстап тұру, жылу аспаптарының температурасын шектеп тұру.
Экономикалық - тұрғызу және пайдалану кезіндегі шығыны, еңбек шығыны, жылу энергия шығыны.
Құрылыстық - жинақы және құрылыс конструкцияларына үйлесімді болуы шарт, ғимарат салыну мерзімі келісілуі.
Монтаждық - бөлшектер санының аз болуы, оларды дайындау механикаландыру, монтаждау кезінде қол еңбегінің аз болуы.
Пайдалаулық- техникалық жүйенің сенімділігі кезінде қауіпсіз, шусыз жұмыс істеу, реттеу және қолдану кезінде зиянды заттар шығынының аз болуы.
Жылыту жүйесі жылу тасымалдануына қарай жылу өткізгіштік, жылу сәлелену және конвекциялық тасымалдау деп үш түрде ажыратылады.
Жылу өткізгіштік - дененің температура айырмасы бар нүктелері арасында бір нүктеден екінші нүктеге жылу энергиясын жеткізу қасиеті[] ; дененің температурасы жоғары жақтан температурасы төмен жағына қарай жылу өткізу қабілеті. []
Жылу сәулелену- жылу энериясы сәулену энергиясына айналып, қайдадан жылу энергиясына айналуып энергияның екі рет түрленуі.
Сұйық пен газдың микрокөлемдерінің бір біріне қарай қозғалыс әрекетін жасауын конвекция деп атаймыз. Жылудың конвекциясымен жылу өткізгіштің бірге әрекет жасау процессін конвекциялық жылу алмасу деп аталынады.
Ғимараттар мен имараттарға және өндіріс орындарына жылумен қамту жүйелері тасымалдайды. Жылулық жүктемелерді екі топқа ажыратуға болады:
а) маусымдық;
б) жылбойлық;
Маусымдық жүйелерде сыртқа ауа температурасына тікелей байланысты. Маусымдық жүктемелерге жылумен жабдықтау жүйесі, ауаны баптау және желдету жүйесі жатқызылады. Жылумен жабдықтау және желдету- қысқы мезгілді жүктемелерге енгізіледі.
Ауаны баптау жазда қолданылады, ол үшін суық қажет, оны абсорбциялық тоңазытқыш машиналарда алады. Бұл машиналарға суық алу үшін жылулық керек.
Жылыту кезеңнің ұзақтығы орташа тәуліктік температурасының орнықтылығы +8 0 С кезінде және төмен болған күндер саны бойынша анықталады. Бұл температура жылыту кезеңнің басын және соңын анықтайды. Бірақ қазіргі ғимараттар құрылымдарының сыртқы температурасы +12 0 С төмен болғанда оларды ұзақ уақыт жылытусыз қалдыруға мүмкіндік бермейді, себебі бұл ішкі температураны төмендетіп халыққа ыңғайсыздық тудырады.
1. 2 Жылыту жүйесінің есептеу негіздері
Адамға ұзақ уақыт және жылу реттеу механизмдерінің ең аз кернеуінде ағзаның жылулық күйіне және үй-жайдың ішіндегі адамдардың 80 %-дан кем емес санының өздерін жайлы сезінулерін қамтамасыз ететін микроклимат көрсеткіштері мәндерінің жиынтығын микроклиматының оңтайлы параметрлері деп аталады. Қоршау құрылымдарының жылутехникалық есептеу ҚР ҚНжЕ 2. 04-03-2002 «Құрылыс жылу техникасы» талаптарына сәйкес жасалынды.
Ғимараттардың сыртқы қоршауларының жылу техникасының сапасына байланысты талаптар мен ерекшеліктер :
ғимараттың қолайлы микроклиматы, яғни температураны қамтамасыз ету
үй-жайдағы ауаның ылғалдылығы нормативтік талаптардан төмен емес;
- қысқы уақытта ғимарат жоғалатын жылу мөлшері;
- қоршаудың ішкі бетінің температурасы
онда конденсаттың пайда болуы;
- жылудан қорғайтын қоршаудың ылғалдық режимі қоршаудың сапасы және оның беріктігі.
Үй-жайдың ішінде микроклиматты құру:
- қоршау конструкциясының тиісті қалыңдығына;
- жылыту, желдету немесе кондиционерлеу жүйелерінің қуаты.
Жылу техникасын есептеу әдісі оңтайлы екендігіне негізделген
Қоршау құрылымының қалыңдығы мыналарға негізделеді:
- құрылыс аймағының климаттық көрсеткіштері;
- ғимараттардың санитарлық-гигиеналық және ыңғайлы жұмыс жағдайлары
және үй-жайлар;
- энергия үнемдеу шарттары.
Жылу техникасын есептеу әдістемесі анықтау болып табылады сыртқы жылу өткізгіштің кедергісі құрылыс конверті. Бұл жағдайда ғимарат конверттің жылу өткізгіштікке төзімділігі кем дегенде қажетті жылу беру кедергісі болуы керек. Нұсқаулықта біртекті және көп қабатты құрылымдар.
Ғимараттың жылу қорғанысы құрылыс нормаларының талаптарына, сондай-ақ келесі талаптарға жауап берулері тиіс:
а) жекелеген қоршау конструкцияларының жылу беруге келтірген кедергісі нормаланатын мәндерден кем болмауы тиіс (әр элементке қойылатын талаптар) ;
ә) ғимараттың үлестік жылу қорғау сипаттамасы нормаланатын мәндерден артық болмауы тиіс (кешенді талап) ;
б) қоршау конструкцияларының ішкі беттеріндегі температура мүмкін болатын ең аз мөлшердегі мәндерден төмен болмауы тиіс (санитарлық-гигиеналық талап) .
Жылыту жүйелерін жобалау үшін жылутехникалық есептер арқылы жасалынған мәліметтер болуы қажет. Жылу берудің сәулелік, конвективтік және жылу өткізгіштік деп үш түрге қарастырылады. Жылу техникалық есептердің қарастырылуы негізгі қажеттіліктері жылдың салқын мезгіліндегі ішкі және сыртқы ауаның термодинамикалық көрсеткіштері және сыртқы қоршаулардың жылуфизикалық көрсеткіштері. Жылу техникалық есеп жылытылатын мерзімде ғимараттардағы барлық бөлмелердің сыртқы қоршауларының санитарлы-гигеналық талаптарына және пайдалану шарттарын есепке ала отырып жүргізілуі.
Ғимараттың сыртқы қоршауларының жылу техникалық есептерін қарастырылуы бөлмелердің тағайындалуы мен пайдаланылу қажеттілігін білуі, себебі олардың ішкі ауа температурасы, ылғалдылығы санитарлы-гигеналық талаптарға сәйкес алынып қарастырылады. Сыртқы қоршаудың ішкі бетіндегі температурасы, ылғалды артық болу керек, кем дегенде 2-3 0С.
Қыс мезгіліне байланысты жылутехникалық есепті жүргізу барысында, ең
алдымен сыртқы қоршаулар санитарлы-гигиеналы талаптарға және микроклиматты жайлылық жағдайларға сай келетінін болуы керек.
Ғимараттардың санитарлы-гигеналық және комфорттық жағдайына сәйкес қоршаудың жылу таратуға қажетті кедергісі R 0 қажет м 2 * 0 С/Вт осы формуламен анықталады :
, м
2
·
0
С/Вт, (1)
R 0 қажет - жылу және ылғалдың жылулық тосқауылдарына жылу оқшаулау, м 2 ⋅°С/Вт СН РК 2. 04-21-2004* теңдеулері бойыншa анықталған;
t і - ішкі ауаның температурасы, С;
t с - сыртқы ауаның қыстағы есептік температурасы, С, ең суық бес тәуліктегі, 092; [] ;
n - қоршау құрылымының сыртқы бетінің сыртқы ауаға байланысты орналасуына тәуелді болатын коэффициент;
∆t с - 2*-кестеден алынған, ішкі ауа қабылдағышының және сыртқы өткізгіштіктің қалыпты температура диапазоны;
αі - қоршау құрылымдарының ішкі бетінің жылу беру коэффициенті, Вт/(м 2 · 0 С) . [] .
Сыртқы қоршаудың жылу өткізгіш коэффициенті осы формуламен анықталады .
Вт/(м
2
·
0
С) . (2)
мұндағы, R0 - сыртқы қорщауладың келтірілген кедергісі;
Сыртқы қоршаудың жылу өткізгіш коэффициенті олардың жылулық кедергілері болу қажет. ҚР ҚНжЕ 2. 04-03-2002 Құрылыс жылутехникаға сәйкес сыртқы қоршаулардың жылулық кедергісін анықтаудан басталады және ол қоршаулардың жылу таратуға келтірілген кедергілерінен кем болмауы қажет санитарлы-гигеналық талаптарға байланысты.
Сыртқы қоршау арқылы жоғалатын жылу шығыны анықталады:
Qт = k ⋅ A ⋅ ti − t o , Вт (3)
мұндағы, к - сыртқы қоршаудың жылу өткізгіш коэффициенті, Вт/м2 oC;
А - қоршаудың ауданы, м2;
t i - ішкі ауа температурасы, оС;
t o' - есепті сыртқы ауа температурасы, С.
Сыртқы қоршаулардың жалпы жылу өткізу кедергісі осы формуламен анықталады
R0 = R в + R1 + R2 + . . . + R н , м2 oC/Вт (3. 1)
мұндағы, R в − қоршаудың ішкі беттерінен ауаның жылу өткізу кедергісі, м2 oC/Вт
R 1, R 2 − қоршау қабаттарының жылу өткізгіштік кедергілері, м2 oC/Вт;
RH − қоршаудың сыртқы бетінен ауаның жылу өткізгіш кедергісі, м 2 0 C/Вт.
Жылыту кезеңінің градус-тәулігі (ЖКТГ) 0С . тәу/жыл мәнін, (2) формуламен анықтайды: [] .
, (4)
мұнда
t от. м. - отын жағу мерзімдегі орташа температурасы, С;
Z от. м. - отын жағу мерзімінің орташа ұзақтығы, тәулік.
Энергия үнемдеу мақсатында кедергілердің салыстыруы жүргізіледі
санитарлық-техникалық және жайлылық шарттарын орындау шарттарынан есептеледі және
энергияны сақтау шарттарына сәйкес қабылданады.
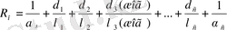
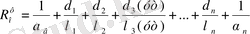
R, м 2 ⋅°С/Вт, көп қабатты сыртқы қабықшаның термиялық кедергісі келесі формула бойынша анықталады:
, (5)
Мұнда δ - қабат қалыңдығы, м;
λ -материал қабатындағы жылу өткізу есептік коэффициенті, м 2 · 0 С/Вт, қосымшадан алынған. [14] .
, (5. 1)
мұнда
α c - сыртқы қабырғаның сыртқы бетінің жылу қайтару коэффиценті (қысқы жағдайлар үшін Вт/(м 2 * 0 С), 6* кестеден [14] бойынша алынған.
α і - (1) формулада пайдаланылған.
Жылу оқшаулағыш қабаттың қалыңдығы:
Көрсетілген санды жоғары жаққа қарай жуықтап, қабаттың қалыңдығын анықтағаннан кейін жылу беру кедергісінің нақты шамасын анықтаймыз:
,
(6)
мұнда
δ 3(жог) - жылу оқшаулағыш қабат қалыңдығы, м, жуықтап алынғаннан кейін.
Ғимараттың жылыту жүйесін жобалау үшін бөлмелердің сыртқы қоршаулары арқылы жылу жоғалуларын білу қажет.
Бөлменің жылу шығыны мына түрлерден тұрады: қабырға, еден, төбелік жабын, есіктер арқылы сыртқа тарайтын жылу мөлшерлері. Бұдан бөлек кейбір өндірістік бөлмелердің қосымша жылу шығындары болуы мүмкін. мысалы, бөлме арқылы асылатын суық материалдарды жылыту, бөлмеге енетін суық транспортты жылыту т. б. Егер бөлмедегі жылу көздерінің жалпы қуаты жылу шығынынан асып кетсе, онда бөлмеге тек жұмыс тоқтап қалған ісге қосылатын кезекші жылу жүйесі орнатылады. Ол бөлмедегі температураны суық күндері +50С-тан төмен түсірмеуге ғана есептелінеді.
Жылыту жүйесінің толық қуаты анықталады:
Q жж = Q т + Q иф − Q быт , Вт (7)
мұндағы, Qm - ғимараттың бөлмелерінің сыртқы қоршаулар арқылы жалпы жылу жоғалуы, Вт;
Qиф - ғимараттың бөлмелерінің сыртқы қоршаулар арқылы жоғалатын жылуға
қосымша сыртқы ауаны жылытуға жоғалатын жылу (инфильтрация - сыртқы
қоршаулардың қосылған жері немесе терезе, есік арқылы келетін ауа болады), Вт;
Qбыт - ғимараттың бөлмелерінің тұрмыстық жылу беруі, Вт.
Қоғамдық ғимараттың бөлмелерінің сыртқы қоршаулар арқылы негізгі жылу жоғалуына көп факторлар әсер етеді. Сондықтан жалпы жылу жоғалуы мына формуламен анықталады:
Qт = k ⋅ A ⋅ t в − t o ' ⋅ n ⋅ (1 + ∑ β ), Вт (7. 1)
мұндағы, А - ғимараттың бөлмелерінің жылу жоғалатын сыртқы қоршауының ауданы, м2;
к - сыртқы қоршаудың жылу өткізгіштік коэффициенті, Вт/м2 0С;
n - сыртқы қоршаудың сыртқы ауаға қатынасын ескеретін коэффициент,
қабылданады [] ;
∑ β− қосымша жылу жоғалуды ескеретін коэффициенттер қосындысы, қабылданады [] ;
Сыртқы қабырғаның бағытына байланысты:
шығыс 10% (0, 1) ; солтүстік 10% (0, 1) ; батыс 5% (0, 05) ; оңтүстік - 0%.
Бөлмеде екі сыртқы қабырға болса 5% (0, 05) ;
Бөлменің жылу қажеттілігі ондағы орналасқан жылу аспаптарымен құбырлардың жылу беруіне байланысты болады:
- бөлмеде орналасқан жылу берілуіне байланысты қабылданатын коэффициент.
Ашық орналасса - 0, 9. Каналда немесе жасырын болса - 0, 5. Ауыр бетонда - 1, 8.
- бөлмеде өшетін құбырлардың қосынды жылу беруі.
Құбырлардың бөлетін жалпы жылу мөлшері:
... жалғасы- Іс жүргізу
- Автоматтандыру, Техника
- Алғашқы әскери дайындық
- Астрономия
- Ауыл шаруашылығы
- Банк ісі
- Бизнесті бағалау
- Биология
- Бухгалтерлік іс
- Валеология
- Ветеринария
- География
- Геология, Геофизика, Геодезия
- Дін
- Ет, сүт, шарап өнімдері
- Жалпы тарих
- Жер кадастрі, Жылжымайтын мүлік
- Журналистика
- Информатика
- Кеден ісі
- Маркетинг
- Математика, Геометрия
- Медицина
- Мемлекеттік басқару
- Менеджмент
- Мұнай, Газ
- Мұрағат ісі
- Мәдениеттану
- ОБЖ (Основы безопасности жизнедеятельности)
- Педагогика
- Полиграфия
- Психология
- Салық
- Саясаттану
- Сақтандыру
- Сертификаттау, стандарттау
- Социология, Демография
- Спорт
- Статистика
- Тілтану, Филология
- Тарихи тұлғалар
- Тау-кен ісі
- Транспорт
- Туризм
- Физика
- Философия
- Халықаралық қатынастар
- Химия
- Экология, Қоршаған ортаны қорғау
- Экономика
- Экономикалық география
- Электротехника
- Қазақстан тарихы
- Қаржы
- Құрылыс
- Құқық, Криминалистика
- Әдебиет
- Өнер, музыка
- Өнеркәсіп, Өндіріс
Қазақ тілінде жазылған рефераттар, курстық жұмыстар, дипломдық жұмыстар бойынша біздің қор #1 болып табылады.

Ақпарат
Қосымша
Email: info@stud.kz