Қамырдың созылуын өлшеуге арналған аспап


Ф. 7. 03-03
ҚазаҚстан РеспубликасыныҢ бiлiм жӘне Ғылым министрлiгi
М. Әуезов атындағы ОҢтҮстiк ҚазаҚстан Мемлекеттiк Университетi
Шамбулова Г. Д., Камалова Н. У.
05072800- Өңдеу өндірісінің технологиясы мамандығына «Тағамдық өнімдерді зерттеу және өңдеудің арнайы тәсілдері» пәні бойынша зертханалық жұмыстарға арналған
Әдістемелік нұсқау
Шымкент - 2015ж
ӘОЖ 664. 562 (075. 5) КБЖ 30. 607Құрастырған: Шамбулова Г. Д., Камалова Н. У. 05072800- Өңдеу өндірісінің технологиясы мамандығының студентері үшін «Тағамдық өнімдерді зерттеу және өңдеудің арнайы тәсілдері» пәні бойынша зертханалық жұмыстарға арналған әдістемелік нұсқау. - Шымкент: М. Әуезов атындағы ОҚМУ, 2015. 68 б.
Әдістемелік нұсқау «Тағамдық өнімдерді зерттеу және өңдеудің арнайы тәсілдері» пәнінің бағдарламасы және оқу жоспарының талабына сәйкес құрастырылған және студенттердің зертханалық жұмыстар бойынша қажетті барлық мәліметтер енгізілген.
Әдістемелік нұсқау 05072800- Өңдеу өндірісінің технологиясы мамандығының студентері үшін ұсынылады.
Әдістемелік нұсқауда тағамдық материалдардың реологиялық қасиеттерін анықтау тәсілдері және реометриялық құрылғылардың түрлері, жұмыс жасау принциптері келтірілген.
Пікір жазғандар: Нурсейтова З. Т. - т. ғ. к., доцент М. Әуезов атындағы ОҚМУ
Алтаев У. А. - х. ғ. к., доцент ОҚМПУ
«ТИжәнеАТӨҚ» кафедрасының мәжілісінде қаралып, баспаға (хаттама № « » 201 ж. ) және «Тоқыма және тамақ инженериясы» жоғарғы мектебінің әдістемелік комиссиясының мәжілісінде (хаттама № « » 201 ж. ) қаралып баспаға ұсынылды
© . М. Әуезов атындағы Оңтүстік Қазақстан Мемлекеттік Университеті, 2015ж. Шамбулова Г. Д.
Мазмұны
1. Зертханалық жұмыс № 1. Серпімді және созымды деформацияларды анықтау. Бірості созылу . . . 4
Зертханалық жұмыс № 2. Сұйық тағамдық өнімнің тұтқырлығын анықтау . . . 7
3. Зертханалық жұмыс № 3. Пластикалы тығыз өнімнің кесу күшін анықтау . . . 11
4. Зертханалық жұмыс № 4. Ротационды вискозиметрде РВ-8 тұтқырлы пластикалы өнімнің ығысу қасиетін анықтау . . . 14
5. Зертханалық жұмыс № 5. Конусты пластометрде КП-3 тұтқырлы-пластикалық ығысу кернеуін анықтау . . . 19
6. Зертханалық жұмыс № 6. Конусті пластометрде қатты тағамдық массаның
беріктік қасиетін анықтау . . . 25
7. Зертханалық жұмыс № 7. Адгезиялық қасиетті анықтау . . . 27
8. Зертханалық жұмыс № 8. Релаксация процесін зерттеу . . . 31
9. Зертханалық жұмыс № 9. Желатиннін тұтқырлығын және молекулярлық массасын вискозиметрлік әдіспен анықтау . . . 34
10. Зертханалық жұмыс №10. Тағамдық массалардың адгезиясын конструкционды материалмен анықтау . . . 38
11. Зертханалық жұмыс № 11. Сұйықтың тұтқырлығын Стокс әдісі бойынша анықтау . . . 41
12. Зертханалық жұмыс № 12. Вискозиметрлердің биомолекулаларының молекулярлы массасын анықтау . . . 45
13. Зертханалық жұмыс № 13. Сұйықтардың беттік кернеулігін анықтау . . . 50
14. Зертханалық жұмыс № 14. Тағамдық массалардың серпімді қасиетін зерттеу . . . 56
15. Зертханалық жұмыс № 15. Денелердің механикалық үлгілерін зерттеу . . . 61
16. Қолданылған әдебиеттер тізімі . . . 68
Зертханалық жұмыс № 1.
Серпімді және созымды деформацияларды анықтау.
Бірості созылу
Жұмыстың мақсаты: қамырдың созылуын өлшегіш аспаптың көмегімен қамырдың реологиялық қасиеттерін анықтау.
Қолданылатын аспаптар мен материалдар: Қамырдың созылуын өлшегіш аспап, қамыр.
Теориялық мәліметтер
Созылуды сынау бірқатар құрылымды-механикалық сипаттамаларды алуға мүмкіндік береді, олар дененің созылуын ғана емес, олардың берік және пластикалық деформацияларға икемділігін бағалауға мүмкіндік тудырады.
«Кернеу-деформация» диаграммасы бойынша ағымдық шегін анықтауға деген әртүрлі ықпалдар бар. Бұл диаграммалардың сипаттамасында қамыр жартылай фабрикаттарының созу немесе сығылу кезіндегі айырмашылығы білінді. Сондықтан оларды жеке-жеке қарастырған жөн.
Қамырлы дайындамаларды созу кезіндегі қалыпты қысымның максималды мәні ретінде қарастырылатын ағымдылық шегі қысымның максималды мәніне жету кезінде пластикалық деформациясы басталады. Қысымды әрі қарай жоғарылату кезінде ол көтеріліп, үлгінің көлденең қиылысу бетіне жайылады, бұл қысымның тез түсуіне алып келеді. Бұндай типтің пластикалық деформациясы «мойыншаның» пайда болуына алып келеді. Пайда болған мойынша үлгі бойынша жайылып, мойыншаға үлгінің барлық жұмыс беті жайылғаннан кейін қысым қайта жоғарылай бастайды.
Қарапайым кезде ағымдылық шегі дегеніміз диаграмма нүктесі «кернеу-деформация» мойыншаның және кескіннің пайда болу бастамасына сәйкес келуі.
Осылайша, реологиялық берілгендердің мәндерінің реттілігін анықтап алып қамырдың созылу тиімділігін жобалауға болады.
Тәжірибелік қондарғының суреттемесі
және жұмыс істеу принциптері
Қамырдың біросты созылудағы реологиялық қасиеттерін анықтау үшін қамырдың созылуын өлшеуге арналған аспап құрылды.
Қамырдың созылуын және оралуын өлшеуге арналған аспап (сурет 1) сыналатын үлгіге арналған қозғалмайтын 1 және қозғалатын 2 қармаулардан тұрады, олардың әрқайсысы пружиналы қысқыш 1, 2 түрінде орындалған, қозғалмалы қысқыштар металды рамаға 3 бекітілген, ол негізге 4 айналып тұрған аунақша 5 көмегімен бекітілген. Қозғалмалы қысқыштың ығысуының көлемін есептеуге арналған құрылғы бөлу шкаласы 4 түрінде орындалған, сыналатын үлгіні ұстау аспап негізінде бекітілген аунақшалар 7 көмегімен орындалады. Жүктелген механизм бүктемелі діңгектен 8 тұрады, онда жіпті 10 жүкпен 11 созу үшін бағыттаушы кронштейндер 9 орнатылған және олар қозғалмалы қысқышпен қосылған.
Сурет 1. Қамырдың созылуын өлшеуге арналған аспап
Аспап келесі түрде жұмыс жасайды: сыналатын үлгінің (диаметр 5мм, ұзындығы 100 мм) соңын қозғалмалы және қозғалмайтын ұяшықтарға орналастырып пружиналы қысқыштар көмегімен бекітеді.
Жүктелген механизмді жүктерден босату үшін қозғалмалы қысқышты айналмалы аунақшалар көмегімен ығыстырылады. Сыналатын үлгі ұстап тұратын аунақшалардың осі бойынша созылады.
Қозғалмалы қысқыштың жылжуы сыналатын үлгінің кесілген жеріне дейін жалғаса береді. Қамырдың созылуы бөліну шкаласының көрсеткіштері көмегімен анықталады. Деформациялар қамырды диаметрлі 5 мм 100 мм үлгінің максималды ұзындығы 300 мм тұрақты көлеміне алып келеді.
Сынаманы жүргізу тәртібі
Сынау үшін лабораториялық жағдайда жасалған қамырдың үлгілері қолданылды. Лабораториялық жағдайда лағман қамырын дайындау тәсілі бойынша дайындалады.
Жоғарғы сорттағы ұн (желімтектігі 32%) және бірінші сорт (желімтектігі 28%) ұндарын қолданамыз. Желімтектіктің мәнін қамырды жуу арқылы анықтаймыз. Созылымдылық желімтектігін нұсқа бойынша сызғышпен өлшейміз, ГОСТ 27839-88 бойынша. Егер қамыр 10 см дейін созылса, оның созылымдылығы төмен, егер 10 см-ден 20 см-ге дейін созылса, оның созылымдылығы орташа, ал 20 см-ден ұзын болса, созылымдылық сапасы жоғары.
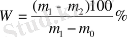
Ұнның ылғалдылығы мына формуламен анықталады.
Мұнда: m 0 - бюкстің салмағы, г;
m 1 - ұн салынған бюкстің кептіргенге дейінгі салмағы, г;
m 2 - ұн салынған бюкстің кептіргеннен кейінгіі салмағы, г;
Кесте 1
Өлшеудің нәтижелер
Қамыр дайындау үшін қолданылатын су мөлшері төмендегі теңдеумен анықталады:
мұндағы
-
су мөлшері, л
-
ұнның мөлшері, кг
W т , - берілген ұнның ылғалдылығы, %
С- ұндағы құрғақ қалдықтың мөлшері.
Қамырды бірқалыпты созу кезінде, оған цилиндр тәрізді көлем беріп, оның ені 5мм, ал ұзындығы 100мм болатындай ету керек. Үлгіні жайып, салмақ түсіру арқылы созамыз. Алынған мәліметтерді кестеге толтырамыз.
Кесте 2
Өлшеудің нәтижелері
Өңдеу нәтижесі бойынша уақыт пен ылғалдылықтың созылымдылыққа тәуелділігінен қорытынды жасаңдар. Бақылау сұрақтарына жауап беріңдер.
Бақылау сұрақтары
- Реология дегеніміз не?
- Реология қандай бөлімдерді оқытады?
- Негізгі технологиялық процестер, тағамның реологиямен байланысы .
- Тағамдық өніміндердегі негізгі реологиялық құндылық?
- Реологияның жіктелуі?
- Деформация түрлері?
- Серпімді және пластикалық деформация дегеніміз не?
Зертханалық жұмыс № 2
Сұйық тағамдық өнімнің тұтқырлығын анықтау
Жұмыстың мақсаты: сұйық тағамдық өнімдердің құрылымды- механикалық қасиеттері бойынша білімді тереңдету, ВПЖ-4 тамшылы вискозиметрдің құрылымы мен өлшеу әдістемесімен оқып-танысу, сұйық май тұтқырлығын анықтау.
Қолданылатын құралдар мен материалдар : ВПЖ-4 тамшылы вискозиметр, майды қыздыруға арналған ыдыс, секундомер, сұйық май- 200мг.
Теориялық мәліметтер
Тамақ өнімдерінің арасындағы ерекше топты сұықтық немесе сұйық тәрізді деп аталатын өнімдер құрайды. Олар ығысудың статикалық шекті қуатына ие емес жүйеге жатады, яғни ығысудың кез - келген кернеуінде аққыш келеді. Бұл жүйелер аномалды - тұтқырлы болуы мүмкін, егер олардың ағысы координат осінде қисық сызық болса немесе шынайы - тұтқырлы (ньютондық) ағысы түзу сызық болса.
Сұйықтықтың қозғалысы сыртқы үйкелуімен, құбырдың немесе канал қабырғасымен ағуы және ішкі үйкелуімен, сұйықтықтағы қабаттардың бір - біріне немесе ағыстағы байланысқан бет араласып сырғанауының әсерімен болуы мүмкін. Ішкі үйкеліс тұтқырлық деңгейі болып табылады - сұықтықтың құрылымы, ағыс сипаттамасы, жағылу қабілеті, ағуы, яғни сұйықтықтың құрылымдық қасиеті жанама күшке қарсылақ көрсетеді.
Ламинарлы ағыста жұқа ұзын қабаттардың немесе ағыс топтамаларының жылдамдығы әртүрлі және орталығына қарай жылдамдық ұлғаяды, яғни құбырдың осіне қарай. Қабаттар арасында жанама күш пайда болады, олар сұйықтықтың тұтқырлығына негізделген және сұйықтықтың үйкелу заңына бағынады, оны бірінші Ньютон ашқан:
θ=η·γ
мұндағы: η - тұтқырлықтың динамикалық коэффициенті, Па·с;
γ - ығысу жылдамдығы, м/с.
Сұйық тәрізді жүйелердің тұтқырлықтын өлшеу үшін ( сұйық май, еру температурасынан жоғары жануар майы, сүт, сулы - ақуызды - тұзды ерітінділер және т. б. ) тиісінше тамшылы және шарикті вискозиметрлерді қолданады. Кеңірек қолданылатыны тамшылы вискозиметр болып табылады, өйткені олар ағудың әр түрлі кернеуі кезінде тұтқырлығын анықтауға, яғни ығысу керенуінің жылдамдық градиентіне тәуелділігін анықтауға мүмкіндік береді.
Тамшылы вискозиметрлердің теориясы теориялық тұрғыда негізделген, сұйықтықтың үздіксіздігіне және біркелкі гипотезасына негізделген және келесі шектеулер мен рұқсаттарды қолданады: қабырғадағы сұйықтықтың жылдамдығы нөлге тең деп қабылданады, өнім сығылмайтын болып саналады, реологиялық сипаттамалары ұзындығы бойынша өзгермейді және уақытқа тәуелді емес, яғни ағысқа тиксотропия, реопексия және релаксация процесстері әсер етпейді.
Тамшылы вискозиметрлерге қойылатын негізгі талап ағымда турболизацияның болмауы, яғни қозғалыс режимі ламинарлы немесе құрылымды болуы тиіс. Қозғалыс режимі Рейнольдс Re критерийімен сипатталады, ол 150-ден аспауы тиіс, ал тамшылатқыш арқылы сұйықтықтың ағу ұзақтығы 100 сек аз болмауы тиіс. Тамшылы вискозиметр теориясында сұйықтықтың тік құбырдан (ауырлық күші оське жобаланады) қозғалысы тек қана біркелкі (инерция күші нөлге тең) бір сызықты (орталықтан тепкіш күш нөлге тең) етіп қарастырады. Кең қолданылатын және көп тарағандары: Уббелоде және Освальда тамшылы вискозиметрлері, Горбатов А. В. вискозиметрі және т. б., ВК - 4 вискозиметрі, АКВ - 3 және АКВ - 5 автоматты вискозиметрлері, Гепплердің шарикті вискозиметрі және басқа да көптеген вискозиметрлер.
Тәжірибелік қондырғының суреттемесі
және жұмыс істеу принциптері
ВПЖ-4 тамшылы шынылы вискозиметрі сұйықтықтың кинематикалық тұтқырлығын анықтауға арналған ВПЖ - 4 вискозиметрі (2 сурет) U тәрізді болады және оң жақ коленадан тұрады (1) оған шыны тамшылатқыш (6) эжалғанған, сонымен бірге өлшелетін сұйықтыққа арналған екі шар тәрізді резервуардан (4) және (5) және сол жақ коленадан (2), сұйықтықты қабылдауға арналған шар тәрізді жалпақ резервуары (7) және резина шланга жалғануға арналған шығыс құбырынан (3) тұрады. Қосылған тамшылатқыштың диаметрі 1, 47мм тең.
Вискозиметрді алдымен бензинмен жуады, сосын петролейнді эфирмен шаяды. Еріткіштен кейін сумен шаяды содан соң 5-6 сағатқа хромды қоспаны құйып қояды. Сонымен қатар вискозиметрді дистильденген сумен шаяды да кептіреді. Вискозиметрді тез кептіру үшін спирттпн немесе ацетонмен шаюға болады.
ВПЖ-4 вискозиметрінің көмегімен тұтқырлықты өлшеу резервуарынан сұйықтықтың белгілі бір көлемінің тамшылатқыш (капилляр) арқылы ағу уақытын анықтауға негізделген.
Вискозиметрге зерттелетін сұйықтықты құю үшін құйылатын құбырға (3) резина шлангты кигізеді, ал оған резина груша кигізіледі (немесе оны су насосына қосады) және вискозиметрді айналдырады да, коленаны зерттелетін сұйықтығы бар ыдысқа салады және сонымен М-2 белгісіне дейін сорып алады, сонымен бірге сұйықтықтың ішінде ауа шарларының болмауын қадағалау қажет.
2 сурет. ВПЖ - 4 тамшылы шыны вискозиметрі
Сұйықтық деңгейі М-2 белгісіне дейін жеткен кезде вискозиметрді ыдыстан шығарып жалдам қалыпты күйіне алып келеді. Колена соңының сыртқы жағын шешіп алады да (1) сұйықтықты шығарады, оған резина құбырды кигізеді.
Вискозиметрді термостатқа кеңістік (5) термостаттағы сұйықтықтың деңгейінен төмен болуын қадағалайды. Аталған темперетурада 15 минуттай термостатта ұстағаннан кейін сұйықтықты коленоға сорып алады, шамамен кеңістіктің (5) үштен бір бөлігіне дейін. Секундомерді қосып сұйықтықтың М-1 белгіден М-2 белгісіне дейін ағу уақытын белгілейді. Дәл нәтижелерді алу үшін өлшеуді 3 - 5 рет жүргізеді.
Сынаманы жүргізу тәртібі
- Жұмыстың орындалу ретімен, мақсатымен, мазмұнымен танысу.
- Жұмыстың теориясымен танысу.
- ВПЖ - 4 қондырғысының құрылымы мен бағытымен танысу.
- Қондырғыны жұмысқа дайындаумен танысу.
- Тұтқырлықты өлшеу және зерттеуді жүргізу әдістемесімен танысу.
- Зерттеуді жүргізіңіздер және өлшеу нәтижелерін жазып алыңыздар. Зерттеуді үш рет қайталап жасау қажет. Мұйық майдың тұтқырлығын анықтайтын, бақылау нүктесі ретінде температураның - 40, 600С мәндерін алыңыз.
- Алынған мәліметтер үшін кинематикалық тұтқырлық мәнін мына формуламен есептеңіз:
η=(g/9, 807) Кτ,
мұндағы: К - қондырғы константасы, мм 2 /с 2 .
Паспортқа сәйкес К= 0, 2970 мм 2 /с 2 ;
τ - тамшылатқыш арқылы сұйықтықтың ағу уақыты, с;
g - еркін құлау жылдамдығы, м/с 2 ; есептеулер мен өлшеулердің нәтижесін 3 кестеге ендіреміз.
3 кесте
Есептеулер мен өлшеулердің нәтижелері
- Зерттеу нәтижелері бойынша тұтқырлықтың мәніне температураның әсері жайында қорытынды жазыңыз.
- Есеп дайындаңыз.
10. Бақылау сұрақтарына жауап беріңіз.
Бақылау сұрақтары:
- Сұйықтық тұтқырлығы дегеніміз не және олардың тағамның сұйық тәрізді өнімдеріне мәні қандай?
- Температура сұйықтықтың тұтқырлығына қалай әсер етеді?
- Тамшылы вискозиметр теориясы?
- ВПЖ - 4 тамшылы вискозиметріне сипаттама беріңіз?
- Жабдықты өлшеу әдістемесіне сипаттама беріңіз?
- ВПЖ - 4 вискозиметрінде жұмысты қалай орындайды?
- Тамшылы вискозиметрдің кемшілігі мен артықшылығын атаңыз?
Зертханалық жұмыс № 3.
Пластикалы тығыз өнімнің кесу күшін анықтау
Жұмыстың мақсаты : өнімдердің құрылымы бойынша теориялық білімдерін кеңейту, аспаптың құрылымын және қиылу күшін өлшеу әдістемесін зерттеу, қайнау ұзақтығының еттің бүтін тарамдарының қиылу күштеріне әсерін анықтау.
Қолданылатын құралдар мен материалдар: кесу күшін анықтайтын құрал, техникалық салмақтар, 0-100 о С өлшеу диапазоны бар спиртты термометр, пышақ, қамыр, 0, 5 кг сиыр еті.
Теориялық мәліметтер
Соңғы жылдарда ғылыми және патентті әдебиетте еттің жұмсақтығын химиялық, физикалық, механикалық немесе құрамдас әдістер арқылы жақсартуға мүмкіндік беретін эксперименталды зерттеулер туралы көптеген хабарламалар пайда бола бастады.
Еттің жұмсақтығын жақсартумен байланысты көптеген проблемалар және өңдеудің әртүрлі әдістерін тәжірибелі қолданудың үйлесімді жолдарын шығаруға тікелей қатысы бар осы процес механизмінің теориялық аспектілері әлі күнге дейін шешілмегендігін және ет өнеркәсібі мамандары үшін кең әрекет аумағын алып отыратынын атап өткен жөн.
Алайда еттің жұмсақтығы немесе қаттылығының себептері ақырына дейін әлі ашылмады, себебі зерттеушілер күрделі көпкомпонентті биологиялық жүйемен жұмыс жасайды, оның күйін әртүрлі факторларға байланысты: өмірлік (түрі, жынысы, жасы, малды ұстау жағдайлары, қосымша тарамдарының құрылымы мен құрамы, талшықтардың көлемі, ішкі майының мөлшері және т. б. ) және сойылғаннан кейінгі- еттің жетілуінің жылдамдығы мен дәрежесі, және өңдеудің әртүрлі түрлері.
Етте автолиз кезінде ағып жатқан процестерге белсенді әсер ететін, барлық малдар мен құстарға біртипті болып табылатын аталған факторлардың мақсатты қолданылуы жоғары сапалы өнімді алуға мүмкіндік береді. Еттің жұмсақтығын малды сояр алдында оны өңдеу немесе сойғаннан кейін етке әсер ету арқылы басқаруға болады. Өңдеудің кез-келген түрінің басы мақсаты - еттің тез және толық жетілуіне қол жеткізу, яғни автолизді тереңдету арқылы оның маңызды қасиеттерін өзгерту жиынтығында, нәтижесінде еттің дәмі жақсарып, хош иіске енеді, жұмсақ және сулы, асқорыту ферменттерінің әсеріне қол жетімді болады.
Еттің жұмсақтығын бағалау үшін жылу өңдеудің алдында және одан кейін қолданылады: объективті әдістер - физикалық (инструменталды) және химиялық, олар онда болып жатқан физикалық және биохимиялық факторлармен байланысты, және кесу күшін анықтауға, тістеу күшіне, майдалауға, етті созуға, қысу күшіне, қосу тарауының мазмұнына, ақуыздардың асқортыну ферменттеріне ұмтылу дәрежесіне және басқа көрсеткіштерге негізделген; субъективті әдістер органолептикалық, шайнау жеңілдігі, жұмсақтығы, шырындылығы және шайнаудан кейінгі қалдық саны.
Еттің жұмсақтығын бағалаудың физикалық әдістерінен кесу күшін анықтауға бағытталған аспаптар кеңінен таралды, олар кесу күшін анықтауға бағытталған. Алайда бұл әдістің кемшілігі - кесу кезіндегі бұлшық талшықтарының бағытын қадағалаудағы қиындықта, пышақтың өткірлігі, температураны сақтау қабілетінде.
Кесу күшін анықтау кезінде кесудің максималды күшін Р ср анықтау керек, ол динамометрмен бекітіледі.
Тәжірибелік қондырғының суреттемесі
және жұмыс істеу принциптері
Лабораториялық аспаптың құрылымының жалпы көрінісі 3 суретте көрсетілген. Аспап негізден (1), үстіңгі жағында үлгіні ұстаушы (3) бекітілген П-тәрізді вертикалды қойылымнан (2), кесуші орган (5) бекітілген жылжымалы тақтайшадан (4), динамометрден (6) және жіптен (7) тұрады.
Алдымен аспаты бекітудің дұрыстығын тексереді. Пышақтың өткірлігін, оның ұстаушыдағы орнатылуын тексереді. Динамометрдегі нольді орнатудың дұрыстығы, динамометрді аспаптың жылжымалы планкасына бекіту беріктігі.
Сурет 3. Кесу күшін анықтауға арналған лабораториялық аспап
Сынау алдында кесуші органды таңдауды жүзеге асырады, одан кейін оны бұрамалар арқылы аспаптың планкасына орнатады. Дайындалған үлгіні ұстағышқа қоядыда, қолдың саусақтарымен динамометрдің сақинасын ұстап, пышақты төмен қарай қозғалтады. Кесуді жұлқымай және шли баяу да емес, пышақтың жылдамдығын бірдей етіп орындайды. Кесу кезінде максималды күштің көрсеткіштері бойынша кесу күшінің мәнін бекітеді. Кесу процессі аяқталғаннан кейін пышақты қайта қалпына көтеріп қояды және осы уақытта сыналатын өнімді ұстағыш бойына ығыстырып, сынаманы қайта жүргізеді.
Сынамаларды жүргізу тәртібі
- Жұмыстың орындалу тәртібі және мазмұны және мақсатымен танысу.
- Жұмыстың теориялық қалпын зерттеу.
- Аспаптың белгіленуі мен құрылымын зерттеу.
- Аспапты өлшеуге дайындау.
- Өнім үлгілері мен өлшемлерін сынау әдістерімен танысу.
- Еттен сынама жасау үшін үлгілерді дайындау. Сынама үшін ұзындығы бойынша талшық бойындағы 5 үлгі және 100 г салмақтағы ұзындығы бойынша көлденең талшықты 5 үлгі дайындайды. Салмағын өлшеп, фольгаға салады да оларды бір уақытта су құйылған ыдысқа салады, ондағы температура 900С болуы тиіс және қайнатады: біріншісі- 10 мин, екіншісін- 20 мин, үшіншісі-30 мин, төртіншісі- 60 мин және бесіншісі-90 мин. Одан кейін үлгіні алып, ашады, бөлме температурасына шейін суытады. Ары қарай әр үлгіден төртбұрышты формада көлемі 10х10х40 мм болатындай етіп 2-3 үлгі к есіп алады. Кесу кезінде үлгідегі бұлшық талшықтарының бағыты жылжымалы кесуші органның қозғалыс бағытына параллельді не перпендикулярлы болуын қадағалау керек.
Бір үлгіде 3-5 рет өлшем жасайды, әр кезде динамометрдің көрсеткішін өлшеп тұрады. Осылайша еттің басқа бөлшектеріне де сынама жасайды.
- Үлгілерге сынама жасаңыз және өлшеу нәтижелерін 4 кестеге салыңыз.
Кесте 4
Өлшеудің нәтижелері
... жалғасы- Іс жүргізу
- Автоматтандыру, Техника
- Алғашқы әскери дайындық
- Астрономия
- Ауыл шаруашылығы
- Банк ісі
- Бизнесті бағалау
- Биология
- Бухгалтерлік іс
- Валеология
- Ветеринария
- География
- Геология, Геофизика, Геодезия
- Дін
- Ет, сүт, шарап өнімдері
- Жалпы тарих
- Жер кадастрі, Жылжымайтын мүлік
- Журналистика
- Информатика
- Кеден ісі
- Маркетинг
- Математика, Геометрия
- Медицина
- Мемлекеттік басқару
- Менеджмент
- Мұнай, Газ
- Мұрағат ісі
- Мәдениеттану
- ОБЖ (Основы безопасности жизнедеятельности)
- Педагогика
- Полиграфия
- Психология
- Салық
- Саясаттану
- Сақтандыру
- Сертификаттау, стандарттау
- Социология, Демография
- Спорт
- Статистика
- Тілтану, Филология
- Тарихи тұлғалар
- Тау-кен ісі
- Транспорт
- Туризм
- Физика
- Философия
- Халықаралық қатынастар
- Химия
- Экология, Қоршаған ортаны қорғау
- Экономика
- Экономикалық география
- Электротехника
- Қазақстан тарихы
- Қаржы
- Құрылыс
- Құқық, Криминалистика
- Әдебиет
- Өнер, музыка
- Өнеркәсіп, Өндіріс
Қазақ тілінде жазылған рефераттар, курстық жұмыстар, дипломдық жұмыстар бойынша біздің қор #1 болып табылады.

Ақпарат
Қосымша
Email: info@stud.kz