Төртұштылар және электрлік сүзгілер


Қазақстан Республикасы Білім және Ғылым Министірлігі
Сафи Өтебаев атындағы Атырау мұнай және газ университеті
Өндірісті автоматтандыру және ақпараттық технологиялар кафедрасы
«Электротехниканық теориялық негіздері» пәнінен
Курстық жұмыс
тақырыбы:
«Төртұштылар және электрлік сүзгілер. Параметрлері таратылған тізбектер »
Орындаған: АиУ-18/2 к/о студенті
Тулкибаев Ерболат
Тексерген: ӨАжАТ кафедрасының оқытушысы
Қазиева. А. Б.
Атырау 2019-2020
Жоспар
Кіріспе . . . 3
I. Төртұштылар және электрлік сүзгілер
1. 1. Төртұшты түсінігі. Негізгі теңдеулер . . . 4
1. 2. Төртұшты коэффициенттерін тəжірибелі түрде анықтау . . . 8
1. 3. Электрлік сүзгілердің негізгі ұғымдары және түсініктемелер . . . 12
1. 4. Сүзгіш теңдеулері. Сүзгіштік қасиетін бағалау . . . 17
ІІ. Параметрлері таратылған тізбектер
2. 1 Ұзын желілердегі токтар және кернеулер . . . 20
2. 2 Біртекті екі сымды желінің теңдеулері . . . 21
2. 3 Гиперболикалық түріндегі біртекті желі теңдеулері . . . 28
2. 4 Параметрлері таратылған тізбектер анықтамасы . . . 40
Қорытынды . . . 43
Пайдаланған әдебиеттер тізімі . . . 44
Кіріспе:
Электротехника - электр жəне магнит құбылыстарын іс жүзінде қолданатын ғылым, ал электроэнергетика - еліміздің экономикасының басты саласы. Ол ғылыми техниқалық прогресстің жəне барлық өндіріс салаларының қарқынды түрде дамуында белгілі рөл атқарады. Электротехника осы замандағы қоғамның барлық маңызды салаларында қолданылады. Электр энергияның ерекшелігі: оның энергияны аз шығынмен алыс қашықтыққа беруі, оңай түрлелдірілуі, əр түрлі қуаты бар қабылдағыштарға жеңіл таралуы жəне оны пайдаланғандағы ерекше үнемділігі.
Электр энергиясы казіргі қоғамнын барлық салаларында қолданылады. Энергиялардың басқа түрлеріне қарағанда электроэнергияның төмендегідей ерекше қасиеттерін көрсетуге болады:
а) энергияның басқа (механиқалық, жарық, жылу, химиялық, т. б) түрлеріне жеңіл түрлендіріледі.
б) алыс қашықтыққа жоғары П. Ə. К-мен оңай түрде энергия беру жəне оны түтынушыларға жеңіл таратуы;
в) басқа энергия түрлеріне қалтықсыз ауыстырылуы;
г) түрлі қуаттағы қондырғыларды бір қуат көзіне қосу мүмкінділігі;
д) кернеу не тоқ параметрлерінің оңай түрде өзгертілуі; е) алыс қашықтыққа сигналдарды( телефон, телеграф, радиотехника) іс жүзінде тез жеткізу мүмкіндігі.
Электр энергияның осы қасиеттері тарихи өте қысқа уақытта, тек электроэнергияның негізгі сұрақтарын шешуге ғана емес, сонымен қатар «электр емес техниканың» жанғыртылуына, электр құралдары көмегімен бақылау жəне басқаруды жаңа сапалы деңгейге көтеруге мүмкіндік береді.
ЭТН пəнінің мақсаты - электромагнитті құбылысты сапалы мен санды түрінде жəне түрлі электротехникалық құрылғылардағы үдерістерді оқып білу жəне есептер шешімінің жолын белгілеу, арнайы электротехникалық пəндерде пайда болуы. Сондықтан ЭТН-ды, электротехникалық жəне радиотехникалық мамандар дайындаудың іргетасы деп атайды.
I. Төртұштылар және электрлік сүзгілер
1. 1. Төртұшты түсінігі. Негізгі теңдеулер
Электр энергия генераторы мен қабылдағышы аралық тізбегімен қосылады, ол күрделі болуы мүмкін. Тұрақты жəне бір фазалы тоқтың аралық тізбегінде екі кірмелік жəне екі шықпа қысқыштары болады. Екі кірме жəне екі шықпа қысқышы бар, электр тізбегін төртұшты деп атайды. Электр энергиясының қорек көзі қосылған төртұшты қысқышты кірме деп атайды. Жүктеме қосылған қысқышты шықпа деп атайды.
Графикалық түрде төртұшты, тік бұрыш ретінде көрсетіледі (2. 49 а-сурет), екі кірме 1-1’ жəне екі шықпа 2-2’ қысқыштары бар. Төртұшты мен берілген энергия бағыты көрсетіледі. (2. 49 бсурет) трансформатор, (2. 49 в-сурет) реттеуші резистор (2. 49 гсурет) түзеткіш құрылғы, электр сүзгі, күшейту жəне де басқа құрылғылар екі жұп қысқышы бар.
Төртұшты активті жəне пассивті болады.
Егер де ішінде электр энергия қорек көзі болса төртұшты активті болады, егер де жоқ болса пассивті болады. Егер де төртұшты да сызықты элементтері болса, сызықты деп аталады, сызықты емес элементтері болса, сызықты емес төртұшты дейді.
Сызықты пассивті төртұштыны қарастырайық. Төртұштының ішкі элементтерінің қосылуына қарай Г-тəрізді (2. 50 а-сурет) жəне Т-тəрізді (2. 50 б-сурет), П-тəрізді (2. 50 в-сурет) болады.
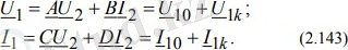
Төртұштыны, егер де энергия қорек көзін жəне қабылдағыштың орындарын ауыстырғанда симметриялы деп атайды, қорек көзі мен қабылдағыш тоқтары өзгермейді. Ал басқа жағдайда төртұшты симметриялы емес. Төртұшты теориясының мағынасы мынада: жинақты параметрларды қолдана отырып кірме жəне шықпадағы тоқ пен кернеуді табуға болады.
Пассивті төртұшты кернеуі
мен тоғы
кірмеде кернеу
мен
тоғымен байланысты, ал шығысында (2. 49 а-сурет) екі теңдеумен байланысты, төртұштының негізгі теңдеулері болады:
төртұштының кешенді коэффициенттері. Олар сұлбаның ішкі байланысы мен төртұшты элементтерінің мінездемесіне бағынышты. Тұрақты төртұшты келесі байланысты көрсетеді:
Төртұшты теңдеуі арқылы, оның жалпы қасиеттерін зерттеу жолын оңайлататын, əр түрлі алмастыру сұлбаларын салуға болады. Тəжірибеде Т жəне П тəрізді сұлбалар қолданылады.
Төртұштының Т-тəрізді алмастыру схемасы
Т-тəрізді алмастыру сұлбасында төртұшты тұрақтылығын анықтаймыз. (2. 51 а-сурет) Кирхгофтың бірінші жəне екінші заңы бойынша:
Сондықтан A, B, C, D коэффициенттер - төртұшты кешенді параметрлері. Коэффициент В-кедергі шамасы, С-өткізгіштілік шамасы, А мен D мөлшерсіз. Егер де Z1 = Z 2 болса, A = D бұл жағдайда, төртұшты симметриялы. Төртұшты белгілі коэффициентер арқылы, Т-тəрізді сұлба параметрлерін табуға болады:
Осы теңдеулерден қорытынды шығаруға болады, егер де қоректендіруді кірме қысқыштан, шықпа қысқышқа ауыстырсақ, B мен С тұрақтылығы өзгермейді.
Ал А мен D тұрақтылығы теңдеуде орындарымен ауысады:
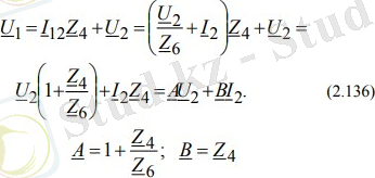
Төртұштының П-тəрізді алмастыру схемасы
П-тəрізді алмастыру сұлбасында төртұшты тұрақтылығын анықтаймыз. (2. 51 б-сурет) сұлба параметрлері
белгілі дейміз. Кирхгофтың бірінші заңы бойынша
Кирхгофтың екінші заңы бойынша (2. 135) ті есепке ала отырып, табамыз:
Төртұшты кірмесіндегі тоқ, Кирхгофтың бірінші заңы бойынша (2. 136) теңдеуге қойғанда, мынадай:
1. 2. Төртұшты коэффициенттерін тəжірибелі түрде анықтау
Пассивті төртұшты кешенді коэффициенттерін тəжірибелі түрде анықтауға болады. Ол үшін төртұшты параметрлерін жəне элементтерінің қосылу сұлбасын білу керек емес. A, B, C, D коэффициенттерінің ең оңай формуласын, бос жүріс пен қысқа тұйықтану тəжірибесі арқылы табылады. Ол үшін (2. 52-суреттегі) сұлбаны жасаймыз, əр тəжірибеде тоқ, кернеу жəне фаза бұрышының соғысуын анықтаймыз.
Бос жүріс тəжірибесі. Алдыңғы қысқыш жағынан қоректенгенде
Төртұшты кірмесіндегі кернеуді, айнымалы резистор R арқылы реттеп, оның шықпасыдағы номиналды кернеуін U2ном аламыз. Құралдар көрсеткіші
Бос жүріс режімінде қайталанған тоқ
теңдеулері мынадай болады:
бұдан кірме кедергісі:
Алдыңғы қысқыш жағынан қоректенгендегі қысқа тұйықталу тəжірибесі
Тəжірибені өткізу үшін екінші қысқышқа амперметр қосамыз, кірмеге шықпада номиналды
тоқ болатындай кернеу береміз. Құралдар көрсеткіші
. Қысқа тұйықталу режімінде
теңдеулер мынадай болады:
Бұдан кірмедегі кедергі кешенді:
Екінші қысқыштан қоректенгендегі бос жүріс тəжірибесі
қысқышты қорек көзіне қосамыз жəне кернеуін
жасаймыз, бірінші қысқыш кернеуі номиналды
болуы керек. Бұл кезде құрал көрсеткіші
болады. Бос жүріс режімінде
негізгі теңдеу (2. 134) екінші қосқыштан қоректенгенде мынадай болады:
Кіріс кедергі кешенді:
Екінші қысқыштан қоректенгендегі қысқа тұйықталу тəжірибесі
Теңдеу (2. 134) егер де
-болса
Кіріс кедергі:
(2. 137., 2. 140) теңдеулер бір-бірімен қатынасты байланысы бар.
бұдан коэффициенттер
табылады. Сондықтан коэффициент арасындағы байланысы бар теңдеуді пайдаланамыз (2. 131. ) . (2. 131., 2. 137 . . . , 1. 140) теңдеулерді есептеп табамыз:
коэффициенттерін табу үшін үш тəжірибе өткізу керек, егер де төртұшты симметриялы болса
екі тəжірибе өткізсе болады.
Төртұшты бос жүрісі мен қысқа тұйықталуы
(2. 129, 2. 130) теңдеулер мыналарды көрсетеді:
кернеуі мен
тоғы төртұшты кірмесінде екі қосындыдан тұрады, біреуі
кернеуге пропорционалды, екіншісі
тоққа пропорционалды. Төртұштының екі шамадағы жұмыс режімін қарастырайық: бос жүріс режімі жəне қысқа тұйықталу режімі. Бұл режімді былай аламыз, бос жүрісте екінші қысқыштағы кернеу
жүктеме кернеуіне тең болу керек, ал қысқа тұйықталу кезінде қайталанған тоқ жүктеме
тоғына тең болу керек. Бос жүрісте
жəне қысқа тұйықталуда
негізгі теңдеулер (2. 129, 2. 130) түрлері:
(2. 142) жəне (2. 129, 2. 130) теңдеулерді салыстырып қорытынды шығарамыз, Кернеу
мен тоқ
жүктеме кезінде, төртұштының бос жүріс пен қысқа тұйықталу режімінде, кернеу мен тоқ жиынына сəйкес тең болады:
Осылайша, төртұшты кірмесіндегі кернеу мен тоқ бос жүріс жəне қысқа тұйықталу қорытындысы қосынды ретінде табуға болады. Салу қағидатын пайдаланудың ерекше мəні бар, қуатты электротехникалық құрылғыларды сынауда, реттеуіші жүктеме тəжірибесін көп қуатты қорек көзін қажет ететін, бос жүріс жəне қысқа тұйықталу тəжірибесімен (аз қуатты) алмастыруға болады. Бұл тəсіл сынауда электр энергиясын үнемдеуге байланысты болатынын көрсетеді.
Кез келген жүктемедегі төртұшты кірме кедергісі
Төртұшты жұмыс режімін сипаттау үшін кірме кедергісі түсінігі қолданылады. Кірме кедергісі дегеніміз - кернеу
тоқ
қатынасы, шығар бетінде қорек көзінің қосылатын жері.
Бірінші қысқыштан қоректенгендегі кірме кедергі:
Төртұшты коэффициентін (2. 144, 2. 145) формулаға саламыз, бос жүріс кедергісі жəне қысқа тұйықталу (2. 137 . . . 2. 140) теңдеулер арқылы тəжірибеде жиі қолданатын формуланы табамыз:
Осылайша, теңдеулер төртұшты арқылы кедергіні өзгертуге болатынын көрсетеді. Төртұшты теориясы электроэнергетиканың негізгі проблемасын, төртұшты арқылы қорек көзінен қабылдағышқа энергияның берілуін қарастырады.
1. 3. Электрлік сүзгілердің негізгі ұғымдары және түсініктемелер
Жиілік электр сүзгіштін қоректену көзімен қабылдағыш арасына қосылған төртұшты мағынасы мынада: қабылдағышқа бір жиілікті тоқ өткізетін жəне басқа жиілікті тоқ жібермеу. Өткізу жолы (сүзгіштің мөлдір аймағы) - жиілік жолы, өшуі белгілі бір мағынадан төмен. Өшу жолы (өшу аймағы) - ол жиіліктің қалған аймағы, өшуі белгілі бір мағынадан жоғары. Өткізу жолының жиілігіне қарай сүзгіштің түрлері болады: төменгі жиілікті, жолды, кедергілі. Сұлбасына қарай түрлері: Ттəрізді, П-тəрізді, Г-тəрізді сүзгіштер. Т жəне П сұлба параметрлеріне қарай (7. 4-сурет) сүзгіштерді К-сүзгіш жəне Мсүзгішке бөледі. К-сүзгіштің мағынасы, ұзынынан тұрған кедергі элементтерін, көлденең көбейтсе тұрақты болып қала береді, олар жиілікке бағынышты емес:
М-сүзгіштің мағынасы, параметрлер көбейтіндісі жиілікке бағынышты:
Элементтер түріне қарай LC-сүзгіштер, RC-сүзгіштер, т. б. болады.
Электрлік сүзгілер деп конденсатор мен индуктивтілік орамадан тұрады.
Электр сүзгілерін амплитудасы бар жоғары жиілікті тербелістерді сигнал кернеуінің салыстырмалы баяу өзгеруіне айналдыратын түзеткіштердің, демодуляторлардың кернеулік беттерін тегістеу үшін қолдануға болады.
Электр сүзгісі - бұл қуат көзі мен жүктеме арасында орнатылатын және бір жиіліктегі токтардың кедергісіз (төмен сөнуімен) берілуіне және басқа жиіліктердегі токтардың кідіріп кетуіне (немесе жоғары тозуымен берілуге) қызмет ететін төрт терминалды құрылғы.
Қарапайым жағдайда, индуктивтілік катушкасын жүктемемен қатар қосуға шектеу қоюға болады, олардың қарсыласуы гармоникалық тәртіптің жоғарылауымен артады және төмен жиілікті тербелістер үшін салыстырмалы түрде аз болады, және одан да тұрақты ток компоненті үшін. U-тәрізді, Т-тәрізді және L-тәрізді сүзгілерді қолдану тиімдірек.
Электр сүзгілердің негізгі анықтамалары және жіктелуі
Сүзгінің селективтілігі - бұл пайдалы сигналға тән жиіліктердің белгілі бір диапазонын оның кірісіне келіп түсетін токтардың барлық спектрінен ажырата білу қабілеті.
Жақсы таңдау қабілеттілігін алу үшін, сүзгі пайдалы сигналға жақын жиіліктермен ток өткізіп, минималды сөнуімен және барлық басқа жиіліктердегі токтардың максималды өшуіне ие болуы керек. Осы сүзгіге сәйкес келесі анықтама беруге болады.
Электрлі сүзгі дегеніміз - белгілі бір жиілік диапазонындағы токтарды аздап төмендеуімен (өткізу қабілеттілігімен) өткізетін төрт жиіліктік құрылғы, ал осы диапазонның сыртында жиілігі үлкен ток күшімен жүреді немесе әдеттегідей, өтпейді (өту жолағы) .
Схемалардың құрылымына сәйкес сүзгілер тізбек (баспалдақ) және көпір болып бөлінеді. Көпірдің T-, P- және L пішіндеріне сәйкес жасалған сүзгілер тізбекті сүзгілер деп аталады. Көпір сүзгілері - көпір сүзгілері.
Элементтердің сипатына қарай сүзгілер келесіге бөлінеді.
LC - элементтері индукторлар мен сыйымдылықтар;
RC - элементтері кедергісі мен сыйымдылығы;
резонатор - элементтері резонаторлар.
Сүзгі тізбегінде энергия көздерінің болуы бойынша олар бөлінеді:
пассивті - тізбектің ішінде энергия көздері жоқ;
белсенді - түтік немесе кристалды күшейткіш түріндегі тізбектің ішіндегі энергия көздері; кейде оларды белсенді элементтер сүзгілері деп атайды.
Сүзгінің жан-жақты жұмыс істеуі үшін оның электрлік сипаттамаларын білу қажет, оның құрамына жиіліктің тәуелділігі, фазалық ығысу және сипаттамалық қарсылық кіреді.
Ең жақсы сүзгі - бұл элементтердің ең аз саны бар:
сөну сипаттамаларының максималды көлбеуі;
өткізу қабілеттілігінің үлкен құлдырауы;
өту жолағында минималды және тұрақты сөну;
өту жолағында сипаттамалық қарсыластың максималды тұрақтылығы;
сызықтық фазалық жауап;
өткізу қабілетін және оның енін оңай және тегіс реттеу мүмкіндігі;
Тәуелсіз емес сипаттамалардың тұрақтылығы: сүзгінің кірісі, қоршаған орта температурасы мен ылғалдылығы, сонымен қатар сыртқы электрлік және магниттік кедергілердің әсерінен болатын кернеулер (токтар) ;
әртүрлі жиілік диапазонында жұмыс істеу мүмкіндігі;
ал өлшемдері, салмағы мен құны минималды болуы керек.
Өкінішке орай, сипаттамалары осы талаптарды қанағаттандыратын бірде-бір қарапайым сүзгі түрі жоқ. Сондықтан, нақты жағдайларға байланысты, сипаттамалары техникалық талаптарға сәйкес келетін сүзгілердің осы түрлері қолданылады. Жиі әр түрлі типтегі қарапайым блоктардан тұратын күрделі тізбектердің сүзгілерін қолдану қажет.
Сүзгілердің ең көп таралған түрлері
Суретте. 1 индукторы L және R қабылдағыштың арасындағы байланысқан C конденсаторы бар қарапайым L тәрізді сүзгінің диаграммасы көрсетілген.
Барлық жиіліктердегі айнымалы токтар индуктордың айтарлықтай кедергісіне сәйкес келеді, ал параллель қосылған конденсатор қалдық жоғары жиілікті токтардың параллель тармақтарынан өтеді. Осының арқасында rpr жүктемедегі кернеу айтарлықтай төмендейді.
Екі немесе одан көп ұқсас сілтемелерден тұратын сүзгілерді де қолдануға болады. Резисторлары бар жеңілдетілген сүзгілер индукторлардың орнына кейде қолданылады.
Қарапайым тегістейтін L пішінді электр сүзгі
Неғұрлым жетілдірілген - резонанстық құбылыстарды қолданатын резонанстық сүзгілер.
Индуктор мен конденсатор қатарлы қосылғанда, fwL = 1 / (кВС), тізбек fw жиіліктегі ең жоғары өткізгіштікке (белсенді) ие және резонансқа жақын жиілік диапазонында жеткілікті жоғары өткізгіштікке ие болады. Мұндай схема қарапайым жолақты сүзгі.
Индуктор мен конденсатордың параллель қосылуымен мұндай тізбек резонанстық жиіліктегі ең төмен өткізгіштікке және резонансқа жақын жиілік жолағында салыстырмалы түрде аз өткізгіштікке ие болады. Мұндай сүзгі белгілі бір жиілік диапазоны үшін кедергі болып табылады.
Қарапайым диапазонды сүзгінің жұмысын жақсарту үшін индуктивтік катушкалар мен конденсатор қабылдағышқа параллель қосылған тізбекті қолдануға болады (2-сурет) . Мұндай тізбек сонымен қатар ешкілердің жиілігіне байланысты болады және таңдалған жиілік диапазонының токтары үшін өте үлкен қарсылықты және басқа жиіліктердегі токтарға айтарлықтай төмен қарсылықты білдіреді.
Қарапайым жолақты электр сүзгінің схемасы
Ұқсас сүзгіні белгілі бір жиіліктің модуляцияланған тербелістерін шығаратын модуляторларда қолдануға болады.
M модуляторы төмен жиілікті сигналдың кернеулі Uc-мен қамтамасыз етіледі, ол модуляцияланған жоғары жиілікті тербелістерге айналады, ал сүзгі rpr жүктемесіне жеткізілетін қажетті жиіліктің кернеуін таңдайды.
Мысал ретінде синусоидалы емес айнымалы ток тізбектен өтеді деп ойлайық және қабылдағыш токтың қисық сызығынан өте үлкен гармоникалық үшінші және бесінші токтарды алып тастау керек. Содан кейін қатарға біз үшінші және бесінші гармоникалық резонансқа келтірілген екі тізбекті қосамыз (3, а-сурет) .
3w жиілігінің резонансына реттелген сол тізбектің кедергісі осы жиілік үшін өте үлкен болады және барлық гармоника үшін аз болады; ұқсас рөлді 5В жиілігінің резонансына келтірілген оң тізбек ойнайды. Сондықтан фильтрмен басылатын үшінші және бесінші гармоникалық (сурет 3, b) қабылдағыштың кіріс сызығында болмайды.
Үшінші және бесінші гармоникалық резонансқа реттелген сериялық резонанстық тізбектері бар тізбек: а - электрлік схема; b - қабылдағыштың кернеу және тізбек қисықтары және ток кірісі
Диапазондағы кернеудің шығу қисығы
Кейбір жағдайларда кеңейтілген жолақты сүзгілер, сонымен қатар белгілі бір жиілікте басталатын тербелістерге мүмкіндік беретін немесе бермейтін кескіш сүзгілер орындалады.
Мұндай сүзгілер Т-тәрізді немесе U-тәрізді сілтемелерден тұрады.
1. 4. Сүзгіш теңдеулері. Сүзгіштік қасиетін бағалау
Электр сүзгісі - бұл қуат көзі мен жүктеме арасында орнатылатын және бір жиіліктегі токтардың кедергісіз (төмен сөнуімен) берілуіне және басқа жиіліктердегі токтардың кідіртілуіне (немесе төмен түсуімен) қызмет ететін төрт терминалды құрылғы.
Фильтрден өткізбестен (жиіліктің төмендігі) өткен жиілік диапазоны өту жолағы немесе мөлдірлік жолағы деп аталады; Үлкен өшумен өткен жиіліктер диапазоны өшіру жолағы немесе кідіріс жолағы деп аталады. Сүзгі сапасы неғұрлым жоғары деп саналса, соғұрлым оның сүзу қасиеттері айқын болады, яғни. кешіктіру жолағында күштің күшеюі күшейеді.
Пассивті сүзгі ретінде әдетте индукторлар мен конденсаторларға негізделген төрт порттық тізбектер қолданылады. Сондай-ақ жоғары жүктеме кедергісі үшін қолданылатын пассивті RC сүзгілерін қолдануға болады.
Сүзгілер радиотехника мен байланыс технологиясында да қолданылады, мұнда жеткілікті жоғары жиіліктегі ток өтеді, сонымен қатар электротехника мен электротехникада.
Талдауды жеңілдету үшін сүзгілер идеалды индукторлар мен конденсаторлардан тұрады деп болжаймыз, яғни. сәйкесінше нөлдік белсенді кедергісі мен өткізгіштігі бар элементтер. Бұл жорамал жоғары жиіліктерде өте дұрыс, егер катушкалардың индуктивті кедергісі олардың белсенді кедергісінен (
) жоғары болса, конденсаторлардың өткізгіштігі олардың өткізгіштігі (
) қарағанда едәуір үлкен болады.
Төрт терминалды желілердің сүзгі қасиеттері оларда пайда болатын резонанстық режимдерден - ток пен кернеудің резонанстарынан туындайды. Сүзгілер әдетте симметриялы T- немесе U-тәрізді өрнек түрінде
немесе
жиналады. Осыған байланысты сүзгілерді зерделеу кезінде біз алдыңғы дәрісте енгізілген тозу коэффициенттері мен фазалары туралы түсініктерді қолданамыз.
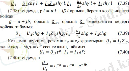
Электр сүзгіштер теориясы төртұштының жалпы теориясына негізделеді. Кернеу мен ток арасындағы байланыс сүзгіштің кірмесі мен шығысындағы теңдеумен анықталады:
Бұл теңдеулерді сүзгіштің параметрлері мен мағынасымен байланыстыру үшін, төртұшты эквиваленттігін жəне таратылған параметрлері бар сызықты пайдаланады. Біртектес сызық теңдеуі гиперболикалық формада, мына түрінде беріледі:
сүзгіштің шығысындағы кернеу мен тоқ кірмедегі кернеумен жəне тоқпен салыстырғанда модулінің өзгеруін мінездейді. Сондықтан
көрсеткішін, өшу коэффициенті деп атайды. Оның өлшем бірлігі Нп (Непер) немесе Б(Бел), 1Б=1. 15Нп (1Нп=0, 8686Б) .
сүзгіштің шығысындағы сигнал фазасын қалуын мінездейді, кірме сигнал фазасымен салыстырғанда фаза коэффициенті - b-фаза коэффициенті.
Келісімді жүктемеде фаза коэффициенті b=0, ал беру коэффициенті өшу коэфицентке тең: g=0.
Сүзгіштік қасиеті теңдік негізінде бағаланады жəне А коэффициенті арқылы, сүзгіштің параметрлері арқылы:
Кілтиме бөлігі нөлге тең. Осыдан формула керек:
(7. 42) жəне (7. 43) теңдеулер, өшу коэффициенті
мен фаза коэффициентінің
бағышты екенін анықтау үшін қолданылады.
Қарапайым жоғары жылдамдықты сүзгінің схемасы
ІІ. Параметрлері таратылған тізбектер
2. 1 Ұзын желілердегі токтар және кернеулер
... жалғасы- Іс жүргізу
- Автоматтандыру, Техника
- Алғашқы әскери дайындық
- Астрономия
- Ауыл шаруашылығы
- Банк ісі
- Бизнесті бағалау
- Биология
- Бухгалтерлік іс
- Валеология
- Ветеринария
- География
- Геология, Геофизика, Геодезия
- Дін
- Ет, сүт, шарап өнімдері
- Жалпы тарих
- Жер кадастрі, Жылжымайтын мүлік
- Журналистика
- Информатика
- Кеден ісі
- Маркетинг
- Математика, Геометрия
- Медицина
- Мемлекеттік басқару
- Менеджмент
- Мұнай, Газ
- Мұрағат ісі
- Мәдениеттану
- ОБЖ (Основы безопасности жизнедеятельности)
- Педагогика
- Полиграфия
- Психология
- Салық
- Саясаттану
- Сақтандыру
- Сертификаттау, стандарттау
- Социология, Демография
- Спорт
- Статистика
- Тілтану, Филология
- Тарихи тұлғалар
- Тау-кен ісі
- Транспорт
- Туризм
- Физика
- Философия
- Халықаралық қатынастар
- Химия
- Экология, Қоршаған ортаны қорғау
- Экономика
- Экономикалық география
- Электротехника
- Қазақстан тарихы
- Қаржы
- Құрылыс
- Құқық, Криминалистика
- Әдебиет
- Өнер, музыка
- Өнеркәсіп, Өндіріс
Қазақ тілінде жазылған рефераттар, курстық жұмыстар, дипломдық жұмыстар бойынша біздің қор #1 болып табылады.

Ақпарат
Қосымша
Email: info@stud.kz