Амин қышқылдарына жалпы сипаттама


Жоспар
І. Кіріспе . . . 3
1. 1Химияны оқыту әдістемесі.
ІІ. Негізгі бөлім
2. 1 Амин қышқылдарына жалпы сипаттама.
2. 2 Амин қышқылдарының физикалық, химиялық қасиеттері.
2. 3 Амин қышқылдарының адам ағзасындағы рөлі, қолданылуы.
2. 4 Тақырыпты оқытуда интерактивті әдіс-тәсілдерді қолдану.
ІІІ. Эксперименттік бөлім.
3. 1 «Амин қышқылдары » тақырыбына сабақ жоспарын құрастыру.
ІV. Қорытынды.
V. Пайдаланылған әдебиеттер.
Кіріспе
Химияны оқыту әдістемесі - мұғалімдер дайындайтын университеттер мен педагогикалық институттардың оқу жоспарындағы негізгі пәндердің бірі. Ол болашақ мұғалімдерді химияны оқыту теориясымен қаруландырып, іс жүзінде күнделікті туындап отыратын жеке әдістемелік мәселелерді ғылыми тұрғыдан шеше білуге әзірлейді. Оған оқу үрдісін ұйымдастыру, оқушылардың танымдық іс-әрекетіне басшылық, сарамандық дағдылар мен іскерліктер қалыптастыру, шығармашылық қабілеттер мен ғылыми дүниетанымдық көзқарастарды дамыту жатады .
Химияны оқыту әдістемесі педагогикалық ғылым әрі оқу пәні. Химия - заттардың бір-біріне өзгеруін зерттейтін ғылым. Демек, химияны оқыту әдістемесі мектептің химия курсындағы осындай заңдылықтарды оқушыларға үйрету жолдарын, түсіндіру тәсілдерін зерттейтін педагогикалық ғылым деп түсінуіміз керек.
Химияны оқыту әдістемесі әрі ғылым, әрі оқу пәні ретінде оқытудың мазмұнын, оқыту әдістерін тәрбие жұмысымен тығыз бірлікте, өзара байланыста зерттейді. Оқытудың заңдылықтарын ашумен қатар, оқытудың мазмұн-мақсатын, оқыту формалары мен құралдарын, оқытушы мен оқушының іс-әрекетін бір-бірінен ажыратпай біртұтас қарастырады. Химияны оқыту әдістемесі мұғалімдердің оқу материалын оқытуы мен оқушылардың химиялық білімді саналы меңгеруін, алған білімдерін іс жүзінде қолдану ерекшеліктерін және дағдыларын дамыту әдістері мен құралдарын айқындап береді. Химияны оқыту әдістемесінің зерттейтін объектісі - сол пәнді оқыту әрекеті. Оқыту, педагогика, дидактика және әдістеме ғылымы тұрғысынан түсінуге болатын күрделі әрекет болып табылады. Педагогикалық тұрғыдан қарастырғанда оқыту дегеніміз - жасѳспірімнің бойына ұжымдық тәжірибені сіңіру. Дидактикалық жағынан алғанда, оқыту білім берудің мазмұнын жасѳспірімге жеткізу ісіндегі сабақ беру мен оқудың бірлігі. Ал әдістемелік тұрғыдан алғанда оқыту - нақтылы оқу пәнінің материалын жасѳспірімге жеткізу ісіндегі сабақ беру мен оқудың бірлігі. Оқыту әрекетіне «мұғалім-оқушы», «оқушы-оқу пәні», «оқушы- оқушы» қатысады. Осылардың ішіндегі ең негізгісі - мұғалім мен оқушы қарым-қатынасының бірлігі мен үйлесуі, оқытудың мақсаттары мен міндеттері, мазмұны, ұйымдастыру формалары, құралдары мен әдістері арқылы жүзеге асады. [1]
Пәнді оқыту мақсаты - мұғалімдерді орта мектепте жұмыс істеуге арналған білімі мен іскерлігін арттыру болып табылады. Мектепте химия курсын оқытуда қажетті материал іріктеу, химия білімінің даму логикасы, даму тарихы, теория мен заңдарын тусіндіру, жас ерекшеліктерін ескеру, сатылап оқыту, психология- педагогикалық жағдайларын ескеру сияқты мәселелерін қарастырады. Орта мектептердегі химияның мазмұны мен ұйымдастырылуын, оқу құралдарының құрылымдық ерекшелігін қарастырады. Жалпы орта мектептерінде оқу кабинеттерінің құрал- жабдықтармен жабдықталуы, дидактикалық мүмкіншіліктер мен зертханалық жабдықтардың болуы қажет. Оқыту барысында мұғалімдердің түрлі әдіс-тәсілдерді пайдаланып, пәнге деген қызығушылықты арттыра отырып, тақырыпты меңгерту басты міндет болып табылады.
Органикалық химия - химияның көміртек және оның басқа элементтермен түзілген органикалық қосылыстарын, олардың өзара түрлену заңдылықтарын зерттейтін саласы. Аминқышқылдары - органикалық химияның маңызды бөлімдерінің бірі. Бұл еңбекте химиялық тіл қалыптастыру, амин қышқылдары туралы жалпы түсінік, олардың түрлері, номенклатурасы, гомологтық қатарын оқыту, алыну әдістері, физикалық және химиялық қасиеттері және қолданылуы туралы мейлінше кең мағлұмат беріледі. Аминқышқылдары жайлы толық химиялық ақпарат беру, оқу процесін ұйымдастыру, танымдық әрекетін басқару, сарамандық икемділікті қалыптастырып, шығармашылық қабілетін дамыту, ғылыми көзқарас қалыптастыру мәселелерін қамтиды. Тақырыпты оқыту барысында түрлі әдіс-тәсілдер туралы баяндалады.
Негізгі бөлім
2. 1 Амин қышқылдары туралы жалпы түсінік.
Аминқышқылдары деп, молекула құрамында амин топшасы - NH 2 және карбонтопшасы - COOH бар органикалық қосылыстарды айтамыз. Оларды карбон қышқылдарының туындылары деп қарастыруға болады, себебі молекула құрамындағы көмірсутек радикалдарындағы сутегі атомын аминтопшасы орнын басқан.
Қышқылдардың аты
Аминсірке
Аминпропион
Аминмай
Аминвалериан
Аминкапрон
Аминэнант
NH 2 - CH 2 -COOH
NH 2 - CH 2 - CH 2 -COOH
NH 2 - CH 2 - CH 2 - CH 2 -COOH
NH 2 - (CH 2 ) 4 -COOH
NH 2 - (CH 2 ) 5 -COOH
NH 2 - (CH 2 ) 6 -COOH
1-кесте. Аминқышқылдарының кейбір өкілдері.
1-сурет. Аминқышқылдарының жалпы құрылымдық формуласы.
Аминқышқылдарының жіктелуі.
Амин қышқылдары құрылысы бойынша үш топқа бөлінеді:
1. Ациклді;
2. Карбоциклді;
3. Гетероциклді.
Ациклді амин қышқылдары карбоксил - СООН және амин −NH 2 топтарының санына қарай бөлінеді:
1. Моноаминкарбон қышқылдары: аланин СН 3 СН(NH 2 ) СООН - барлық ақуыздар құрамына кіреді.
2. Моноаминдикарбон қышқылдары: аспарагин қышқылы НООССН 2 СН(NH 2 ) СООН - аминянтар қышқылы, ақуыз гидролизі нәтижесінде түзіледі. Табиғатта аспарагин қышқылының амиді кездеседі -
NH 2 СОСН 2 СН(NH 2 ) СООН.
3. Диаминмонокарбон қышқылдары: Н 2 N(СН 2 ) 4 СН(NH 2 ) СООН - лизин, кейбір балық уылдырығының құрамында кездеседі, күшті негіз, ауыстырылмайтын амин қышқылдарына жатады. Оны синтетикалық жолмен капролактамнан және биохимиялық әдіспен алады.
Аланин
Аргинин
Аспарагин
Аспарагин қышқылы
Глицин (гликокол)
Серин
Тирозин
Цистин
Валин
Гистидин
Изолейцин
Лейцин
Лизин
Метионин
Треонин
Триптофан
Фенилаланин
2-кесте. Аминқышқылдарының түрлері.
Табиғи амин қышқылдарын сипаттаушы қасиеттердің бірі- олардың меншікті айналуы. Олардың барлығында да асимметриялы көміртек атомы болады және табиғатта α- изомерлер түрінде кездеседі. Кейбір маңызды амин қышқылдарының құрамында басқа(OH, SH және басқа) функционалды топтар да болады. Құрамында әртүрлі функционалды топтары болғандықтан, аминқышқылдары гетерофункционалды қосылыстарға жатады. Аминқышқылдары табиғатта көп таралған қосылыстар. Олар ақуыздардың, пептидтердің және т. б. физиологиялық белсенді қосылыстардың құрамына кіреді және бос күйінде де кездеседі. Ақуыз молекуласын аминқышқылдарының қалдықтарынан тұрады, оған 20 шақты α- аминқышқылдары қатысады. Олардың басым көпшілігі алмаспайтын аминқышқылдары болып келеді және ол 4- кестеде көрсетілген. Олар организмде синтезделмейді немесе өте аз мөлшерде синтезделеді, сондықтан олардың организмге қажеттілігі тек қана тағаммен қамтамасыз етіледі. . Тірі организмде ақуыздың маңызы өте зор, сондай-ақ оның құрамындағы аминқышқылдары да маңызды рөл атқарады.
NH 2 - CH 2 -COOH
Аминсірке қышқылы
(глицин)
CH 2 - CH 2 -COOH
ǀ
NH 2
α-аминпропион қышқылы
(аланин)
HO- CH 2 - CH-COOH
ǀ
NH 2
HS- CH 2 - CH-COOH*
ǀ
NH 2
CH 2 -S-CH 2 - CH 2 - CH-COOH*
ǀ
NH 2
α-амин - γ -тиометилмай қышқылы
(метионин)
CH 2 -CH 2 - CH-COOH*
ǀ ǀ
OH NH 2
α-амин - γ -оксимай қышқылы
(треонин)
HOOC-CH 2 - CH-COOH*
ǀ
NH 2
CH3 -CH- CH-COOH*
ǀ ǀ
CH 3 NH 2
C 6 H 5 -CH 2 - CH-COOH*
ǀ
NH 2
CH3 -CH- CH 2 - CH-COOH*
ǀ ǀ
CH 3 NH 2
CH 2 - (CH 2 ) 3 -CH 2 - CH-COOH*
ǀ ǀ
NH 2 NH 2
α, ε- диаминкапрон қышқылы
(лизин)
* Алмаспайтын аминқышқылдары
3-кесте. Белоктардың құрамында кездесетін α-аминқышқылдары.
Номенклатура және изомерия.
Тарихи номенклатура бойынша аминқышқылдарын сәйкес карбон қышқылдарының атына амин деген сөзді қосып айтамыз.
Рационалды номенклатура бойынша амин топшасының орнын грек алфавитінің әріптерімен көрсетіледі, карбоксил топшасына жақын орналасқан көміртегі атомынан басталады. Аминқышқылдарына жай (тривиалды) атау да тән ( trivial - француз сөзі - жай, кәдімгі) . Мұндай атаулар сол өнімнің қасиетіне және оның ең алғашқы атына байланысты.
α β α β α
CH 2 -COOH СН 3 -CH - СООН СН 2 - CH 2 - СООН
NH 2 NH 2 NH 2
аминсірке α - аминопропион β - аминпропион
қышқылы қышқылы қышқылы
глицин (гликогол) α- аланин β - аланин
Жүйелі (халықаралық) номенклатура бойынша аминқышқылдарын құрамындағы карбон қышқылдарының атына сәйкес амин жұрнағын қосып атаймыз. Амин топшасының орналасуы цифрмен көрсетііледі. Көміртегі атомын нөмірлеуді, карбоксил топшасында орналасқан атомнан бастаймыз:
4 3 2 1 4 3 2 1
CH 3 - CH 2 - CH -COOH CH 3 - CH - CH 2 - COOH
NH 2 NH 2
2- аминобутан 3- аминобутан
қышқылы қышқылы
NH 2
3 2 1 3 2 1
CH 3 -C-COOH CH2-CH-COOH
CH 3 NH 2 CH 3
2-амин 2- метил 3- амин 2 - метил
қышқылы қышқылы
Аминқышқылдарына мынадай екі изомерия түрі бар: 1) көміртегі қаңқасы және 2) аминтошасының орналасуы бойынша. [2]
Аминқышқылдарының изомериясы көміртектік қаңқаның изомериясына және амин тобының орналасуына байланысты болады. Амин тобының орны грек алфавитінің әріптерімен белгіленеді. [3]
Г
О
М
О
Л
О
Г
Т
NH 2 - CH 2 -COOH
Амин сірке қышқылы
(Глицин)
CH 3 - CH- COOH
NH 2
2-аминпропион қышқылы
α- аминпропион қышқылы
NH 2 -CH 2 - CH 2 -COOH
3-аминпропион
қышқылы
β- аминпропион қышқылы
А
Р
CH 3 -CH 2 - CH-COOH
NH 2
2-аминмай қышқылы
2-аминбутан қышқылы
α- аминмай қышқылы
CH 3 -CH- CH 2 -COOH
NH 2
3-аминмай қышқылы
3-аминбутан қышқылы
β- аминмай қышқылы
CH 3
CH 3 -C- COOH
NH 2
2- амин 2- метил
пропион
қышқылы
И З О М Е Р Л Е Р
4-кесте. Аминқышқылдарының кейбір өкілдерінің изомерлері.
Аминқышқылдарының алыну жолдары.
Табиғи белоктарда кездесетін амин қышқылдары, оларды сумен гидролиздегенле қоспа түрінде түзіледі. Бұл қоспадан арнаулы өңдеу жолдарымен таза түрінде көптеген амин қышқылдарын алуға болады. Мұнымен қатар аминқышқылдарын алудың синтетикалық тәсілдері лабораторияда немесе өнеркәсіпте кейбір аминқышқылдарын алу үшін қолданылуда. Алифатты амин қышқылдарын алу үшін негізінен әрбір табиғи амин қышқылдарының ерекшеліктеріне ыңғайластырылған бірнеше тәсілдер қолданылады.
1. α- амин қышқылдарын алу
Хлор алмасқан қышқылдарға аммиакпен әсер етіп:
NH 3 + СlСН 2 СООН → НСl +NH 2 СН 2 СООН
Альдегидтерге аммиак және циан қышқылымен әрекет етіп (Штрекер реакциясы) :
2. β- амин қышқылдарын алу
Қанықпаған қышқылдарға аммиак қосып, катализатор қатысында
Малон қышқылынан алу (В. М. Родионов реакциясы) :[5]
СН 3 СНО + СН 2 (СООН) 2 + NH 3 → СН 3 СНNH 2 CН 2 СOOH + Н 2 О + СО 2
3. α-галогенді карбон қышқылдарын аминдеу. Бұл тәсілдің қарапайым түрі галогенді карбон қышқылдарына аммиакпен әсер ету:
СН 2 - СООН + NH 3 🠢 CH 2 - CОOН + NН 4 Сl
Cl NH 2
хлорсірке қышқылы аминсірке қышқылы (глицин)
Бірақ, бұл реакцияда аммиакты галогеналкилдермен алкилдеу процесіндегі кемшіліктердің бәрі де болады. Олардың маңыздыларының бірі - реакцияның, азот атомында екі немесе үш органикалық қалдықтар болатын заттар түзілуі нәтижесінде, онан әрі жүру. Сондықтан көпшілік жағдайда аммиак емес, калий фталимиді қолданылады. Фталимидті алкилдеу өнімін гидролиздегенде амин қышқылдарын алады.
CO CO CH 3
N- K +CH 3 -CH-COOC 2 H 5 N-CH + KBr
CO Br CO COOC 2 H 5
Калий фталимиді α- бром пропион
қышқылының эфирі
Фталимидті алкилдеу өнімін гидролиздегенде амин қышқылдарын алады.
COOH
CO CH 3
N-CH + H 2 O NH 2 - CH- COOH + + C 2 H 5 OH
CO COOC 2 H 5 CH 3 COOH
α-аланин
α- бромкарбон қышқылдарының эфирлері тікелей карбон қышқылдарынан оңай алынатындықтан, бұл синтез өте кең таралған.
Амин тобы α- жағдайда болатын карбон қышқылдарын кетоқышқылдардың азотты туындыларын тотықсыздандыру арқылы алуға болады:
[H]
CH 3 - C-COOH + NH 2 OH CH 3 C-COOH CH3 - CH - COOH
ǀ ǀ
O NOH NH 2
Пирожүзім пирожүзім аланин
қышқылы қышқылының оксимі
Ароматты қатардың амин қышқылдарын ароматты қышқылдар мен аминдерді алудың дағдылы тәсілдерін пайдалану арқылы алады. Мысалы, маңызды ароматты амин қышқылдардың бірі - антранил қышқылын - фталамидтен алуға болады. Фталимид гидролизге ұшырап фталимид қышқылы түзіледі.
COOH COOH
+ NaOCl + NaCl + CO 2
CONH 2 NH 2
Фталимид антранил қышқылы
қышқылы
2. 2 Амин қышқылдарының физикалық. химиялық қасиеттері.
Амин қышқылдары - түссіз, кристалды заттар, жоғары температурада балқып, ыдырайды, суда жақсы ериді, ал спиртте нашар және эфирде тіпті ерімейді. Көпшілік амин қышқылдарына тәттілік дәм, кейбіреулерінің иісі жағымсыз, ал кейбіреулерінің иісі ащы. Ерітіндінің қышқылдығына байланысты, молекула құрамында қатарымен қышқылдық және негіздік топтар болғандықтан, еріген амин қышқылының нақтылы формуласы өзгереді. Осыған байланысты кез келген амин қышқылы сілтілі ерітіндіде COO- тобы бар тұзға, ал қышқылды ерітіндіде NH 3 тобы бар басқа тұзға айналады. Мысалы, қарапайым алифатты амин қышқылы - амин сірке қышқылы, тривиалды атау бойынша глицин немесе гликокол NH 2 - CH 2 -COOH төмендегіше өзгереді.
NH 3 - CH 2 -COOH NH 2 - CH 2 -COO -
Қышқыл ерітіндіде сілтілі ерітіндіде
Амин қышқылдарының толық диполярлы ионға айналу кезіндегі ерітіндінің pH мөлшерін изоэлектрлі нүкте деп атайды. Бұл мөлшердің амин қышқылдары химиясында маңызы күшті, өйткені, белоктар құрамына кіретін қышқылдарды сипаттаушы қасиеттердің бірі болып табылады.
Жасанды амин қышқылдарының арасында жалпы формуласы NH 2 - (CH 2 ) n-COOH болып келетін амин қышқылдарының маңызы күшті. [4]
Химиялық қасиеттері.
Аминқышқылдарының құрылысына қарастырсақ, молекула құрамына бір мезгілде екі функционалды топтардың бар екендігі анықталды және олардың қасиеттері бір-біріне қарама- қарсы: карбоксил топшасы - қышқылдық қасиет көрсетсе, ал аминтопшасы - негіздік қасиет көрсетеді. Амин қышқылдары - амфотерлі органикалық қосылыстар.
Аминқышқылдарының құрамындағы осы жоғарыда аталған топшалардың арақатынасына байланысты индикаторларға әсерлі әр түрлі . Егер аминқышқылдарының құрамында осы екі топшалардың (-COOH және NH 2 ) сандарды бірдей болса, орта- бейтарап. Егер аминқышқылдарының құрамында карбоксил топшасы көп болса- қышқылдық, ал амин топшасының саны көп болса- негіздік көрсетеді.
1. Негіздермен әрекеттесуі. Аминқышқылдары қышқылдық қасиет көрсете отырып әрекеттеседі. Нәтижесінде тұз және су түзіледі:
NH 2 - CH 2 -COOH + NaOH NH 2 - CH 2 - COONa + H 2 O
глицинді натрий тұзы,
α-аминсірке қышқылының
натрий тұзы
2. Қышқылдармен әрекеттесуі. Аминқышқылдары негіздік қасиет көрсете отырып, қышқылдармен әрекеттесіп тұз түзеді.
+
NH 2 - CH 2 -COOH + HCl [NH 3 - CH 2 -COOH] Cl -
глицин хлорлы тұзы
Аминқышқылдарының судағы ерітіндісі тұз қышқылымен әрекеттесіп, тұз және су түзеді.
3. Спирттермен әрекеттесуі. Аминқышқылдары спирттермен әрекеттесіп күрделі эфирлер түзеді.
NH 2 - CH 2 -COOH + C 2 H 5 OH NH 2 - CH 2 -COOC 2 H 5 + H 2 O
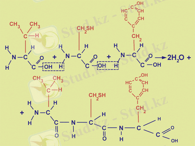
4. Аминқышқылдарының өзара әрекеттесуі. Бейорганикалық амфотерлі қосылыстармен салыстырғанда аминқышқылдарының амфотерлі қасиеттерінің кейбір айырмашылықтары бар. Аминқышқылдарының құрамындағы карбоксил және амин топшаларының болуына байланысты, аминқышқылдары өзара әрекеттеседі.
O H O H
ǁ ǁ ǀ
NH 2 - CH 2 -C + H - N- CH2- COOH NH 2 - CH 2 -C - N- CH 2 - COOH + H 2 O
ǀ
OH
O H
ǀ ǀ
- C- N-топшаны пептидтік немесе амидтік деп, ал көміртегі мен азот атомдарының арасындағы байланысты пептидтік байланыс деп атаймыз.
2-сурет. Пептидті байланыстардың түзілуі.
Екі аминқышқылы өзара әрекеттескенде түзілген қосылысты дипептидтік деп атаймыз. Дипептидтердің құрамында карбоксил және аминтопшасы болғандықтан, аминқышқылдарының келесі молекуласымен әрекеттесіп үшпептидтер түзеді және әрі қарай осылай әрекеттесу нәтижесінде полипептидтер түзеді.
6. Жану реакциясы:
4NH 2 - CH 2 -COOH + 13O 2 2N 2 +8CO 2 + 10H 2 O
7. Гидролиз:
NH 2 - CH 2 -COOH + H 2 O + NH 3 CH 2 COOH + OH -
NH 2 - CH 2 -COOH + H 2 O ⇆ NH 2 CH 2 COO - + H 3 O +
(NH 2 - CH 2 -COOH ⇆ NH 2 - CH 2 -COO - + H + )
2. 3 Амин қышқылдарының адам ағзасындағы рөлі, қолданылуы.
Аминқышқылдары - нәруыздар маномері. Нәруыздар құрамында жүздеген тіпті одан да көп аминқышқылдар бар. Мысалы, ересек адам гемоглобинінің құрамында аминқышқылдарыдың 574 қалдықтары бар. Сондықтан амин қышқылдарын нәруыз маномері құрылыс материалы негізі деп айта аламын. Себебі нәруыз биосинтезіне аминқышқылдар қажет. Аминқышқылдардың ағзада кездесетін сиқырлы 20- түрі қатысады. Биосинтез үдерісі үшін басқа АТФ энергиясы, сондай-ақ ферменттер қажет. Яғни аминқышқылдар қосылыс үдерісінің өзі бірталай ферменттердің қатысуын қажет етеді. Нәруыз белсенді қызмет атқару ең маңыздысы амин қышқылдарды тұқым қуалау аппараттарына сәйкес белгілі тәртіпке қосып алу. Аминқышқылдардың белгілі түрлерінің қажетті реттілікте жайғасу үшін оларды т- ДНҚ рибосомаға жеткізеді. т-РНҚ ДНҚ көшірмесі триплеті ААА- болса рибосомадағы а- РНҚ осы триплетке коден бола алатын УУУ - молекуласымен пролин аминқышқылын рибосомалы - РНҚ тізбегінен тігеді, нәтижесінде рибосома өзінің қызмет атқаратын орталығында т- РНҚ РНҚ -ның екі - екіден молекуласын ұстап қалып аминқышқылдарды өзара қосуға мүмкіндік береді. Рибосома соңында аминқышқылға су молекуласын қосып нәруыз немесе пептид тізбегін босатып шығарады. Бұл рибосомада амин қышқылдары қосылуы нәтижесінде түзілген нәруыз ағзада шаш, тыпнақ өсуіне т. б қоректік зат ретінде қызмет атқарады. Қорыта айтқанда, ағзадағы құрылыс материалы болып табылатын нәруыз, қорғаныш қызметін атқаратын нәруыз, қор жинаушы, тасымалдаушы, рецепторлық, реттеуші қызмет атқаратын нәруыз синтезі аминқышқылдардың қосылуы нәтижесінде ғана түзіледі. Осы үдерістердің барлығынан амин қышқылдарының адам ағзасындағы рөлі маңызды екенін байқауға болады. Аминқышқылдары және олардың организмдегі рөлі
Молекула органикалық қосылыстардың маңызды тобын құрайды, мысалы карбон және диарбон қышқылдары, аминокарбон қышқылдары немесе бір немесе бірнеше аминқышқылдары бар қарапайым аминқышқылдары.
Аминқышқылдары - бұл ақуыздарды құрайтын құрылымдық бөлімдер, химиялық блоктар немесе «құрылыс блоктары». Амин қышқылдарының құрамында 16% азот бар, бұл көмірсулар мен майлар арасындағы негізгі химиялық айырмашылық, керісінше қайталама қоректік заттар болып табылады. Аминқышқылдарының ағзадағы маңызы белоктардың өмірдің барлық процестеріндегі маңызды рөлімен анықталады. Ең ірі жануарлардан бастап ең кіші микробтарға дейін ағзаларда ақуыздар болады. Белоктардың әртүрлі формалары тірі организмде болатын барлық процестерге қатысады. Адам ағзасында ақуыздар бұлшықеттерді, сіңірлерді, барлық мүшелерді, сонымен қатар шаш пен тырнақты құрайды; Ақуыздар сонымен қатар организмдегі барлық процестерді жеделдететін және реттейтін ферменттер мен гормондар болып табылады.
Денеде ақуыздың жетіспеушілігі су балансының бұзылуына әкеледі, бұл рак ауруына әкеледі. Денедегі әрбір ақуыз ерекше және нақты мақсат үшін өмір сүреді. Ақуыздар бір-бірін алмастырмайды. Олар ағзада тағамдық белоктардың ыдырауы кезінде түзілетін аминқышқылдарынан синтезделеді. Бұдан біз барлық ақуыздар емес, аминқышқылдары диетадағы құнды элементтер екенін түсінеміз. Нейротрансмиттерлер - бұл жүйке импульстарын бір жасушадан екінші клеткаға жеткізетін химиялық заттар. Осыдан біз кейбір амин қышқылдары мидың қалыпты жұмыс істеуі үшін қажет екенін түсінеміз. Амин қышқылдары витаминдер мен минералдардың дұрыс жұмыс істеуіне әсер етеді. Кейбір амин қышқылдары бұлшық еттерге тікелей қуат береді.
α-аминқышқылдары табиғи заттардан және синтетикадан алынады. Қышқыл қатысуымен сульфондық ерітінділерде белоктардың гидролизі кезінде α-аминқышқылдарының қоспасы түзіледі. Бұл қосылыстардан ерекше α-аминқышқылдарын әртүрлі жолдармен алуға болады. Ақуыздардан алынған барлық α-аминқышқылдары (аминқышқылдарынан басқа) белсенді. Аминқышқылдарын синтездеуге арналған бастапқы материалдар α-біртекті карбон қышқылдары, альдегидтер, сутегі галогендері.
Ол аминқышқылдарын аммиакпен, α-, β-қанықпаған көмір қышқылымен біріктіру арқылы алынады. 1926 жылы В. М. Радион бұл реакция үшін ыңғайлы әдісті тапты, ол қанықпаған қышқылдарды өндіруді аммиак қосумен біріктірді.
... жалғасы- Іс жүргізу
- Автоматтандыру, Техника
- Алғашқы әскери дайындық
- Астрономия
- Ауыл шаруашылығы
- Банк ісі
- Бизнесті бағалау
- Биология
- Бухгалтерлік іс
- Валеология
- Ветеринария
- География
- Геология, Геофизика, Геодезия
- Дін
- Ет, сүт, шарап өнімдері
- Жалпы тарих
- Жер кадастрі, Жылжымайтын мүлік
- Журналистика
- Информатика
- Кеден ісі
- Маркетинг
- Математика, Геометрия
- Медицина
- Мемлекеттік басқару
- Менеджмент
- Мұнай, Газ
- Мұрағат ісі
- Мәдениеттану
- ОБЖ (Основы безопасности жизнедеятельности)
- Педагогика
- Полиграфия
- Психология
- Салық
- Саясаттану
- Сақтандыру
- Сертификаттау, стандарттау
- Социология, Демография
- Спорт
- Статистика
- Тілтану, Филология
- Тарихи тұлғалар
- Тау-кен ісі
- Транспорт
- Туризм
- Физика
- Философия
- Халықаралық қатынастар
- Химия
- Экология, Қоршаған ортаны қорғау
- Экономика
- Экономикалық география
- Электротехника
- Қазақстан тарихы
- Қаржы
- Құрылыс
- Құқық, Криминалистика
- Әдебиет
- Өнер, музыка
- Өнеркәсіп, Өндіріс
Қазақ тілінде жазылған рефераттар, курстық жұмыстар, дипломдық жұмыстар бойынша біздің қор #1 болып табылады.

Ақпарат
Қосымша
Email: info@stud.kz