Экономикалық индекстер


Жоспар:
Кіріспе
I Экономикалық индекстер
1. 1Индекстердің мәні және түрлері
II Жеке индекстер
2. 1 Агрегатты қалыптағы жиынтық индекстер
2. 2 Орташа арифметикалық және орташа гармониялық қалыптағы
жиынтық индекстер
2. 3 Бірнеше кезеңнің индекстік жүйесін салу
2. 4 Негізгі ұғымдар:
2. 5 Есептеуді шығару мысалдары
Қорытынды
Қолданылған әдебиеттер
Кіріспе
Экономикалық индекстер. Әлеуметтік-экономикалық құбылыстар мен процестердің өзгеруіне талдау жасау кезінде нақты, қатысты, орташа шамалар немесе коэффициенттер мен проценттер сияқты түрлі қорытындылаушы көрсеткіштердің қолданылады. Осындай қорытындылаушы көрсеткіштердің ішінде ең көп тараған түріне жататыны индекстік эдіс болып табылады
Индекс деген сөздің түпнүсқасы латынның "іndіех" терминінеy шыққан, қазақшага аударганда "көрсеткіш, белгі тізім" деген мағынаны білдіреді. Статистикада біріне-бірін тікелей қосуга болмайтын белгілерден түратын күрделі әлеуметтік экономикалық қүбылыстардың жеке себептерінің үлесін анықтауға қолданылатын жөне уақытқа байланысты кеністітіктегі орташа өзгеруін сипаттайтын қатысты шаманың ерекше түрін индекстік әдіс деп айтады. Мысалы, өнеркәсіп орындарында табиғи-заттық негізде шыгарылған әр түрлі өнімдердің мөлшерін біріне-бірін тікелей қосуга болмайды. Оны есептеу және салыстырмалы түрге келтіру үшін ортақ өлшем белгілері қолданылады. Оған. өнімнің мөлшері, өзіндік құны, бағасы, жұмсалған жұмыс уақытының шамасы және т. б. жатқызылады. Бірақ, экономикалық мәні бірдей аттас көргсеткіштердің белгілі бір уақыт аралығындағы салыстырмалы өзгерісін индекс арқылы есептеуге болады.
Индекстік әдісті қолдану арқылы төменде берілген негізгі мәселелерді шешуге болады:
1) салыстыруға келмейтін және қосуга болмайтьн күрделі экономикалық қүбылыстардың жеке бөліктерінің уақытқа қарай өзгеруін сипаттайды;
2) құблыстар құрылымының белгілеріне қарай өзгеруін анықтайды;
3) күрделі құбылыстар көрсеткіштеріне әсерін тигізетін себептерді жалпы
Статистика практикасында, индекстер орта шамалармен қатар статистикалық жиынтық бірліктерінің қорытындылама сипаттамасы болып табылады. Индекс- уақыт ішінде, кеңістікте немесе жоспармен кез-келген әлеуметтік - экономикалық құбылыстардың шамасының қатынасын көрсететін қатысты шама. Сонымен қатар индекстер бір көрсеткіштердің мәнінің өзгерісінің басқалардың динамикасына әсерінің деңгейін анықтайды, нақты бағадан салыстырмалы бағаға макроэкономикалық көрсеткіштердің ауысуының мәнін есептецді, әр аймақ бойынша көрсеткіштер қатынасын өлшейді және т. б.
Индекс сөзі көрсеткіш деген мағынаны береді.
Үйреншікті жағдайда салыстырмалы көрсеткіштер әртүрлі элементтерден тұратын құбылыстарды сипаттайды, оларды өлшеу мүмкін еместігінен қосуға болмайды.
Индекстер қатысты санмен көрсетіледі.
Индекстер мәні мынада:
- ұлттық экономиканың дамуын толық және жеке салалары бойынша сипаттайды;
- кәсіпорындар мен ұйымдардың өндірістік-шаруашылық қызметінің нәтижесін талдайды;
- маңызды экономикалық көрсеткіштерді құруда жеке факторлардың ролін зерттейді;
- өндіріс резервтерін айқындайды және т. б.
индексті әдістің өзінің символикасы мен терминологиясы бар:
q-натуралды формадағы кез-келген бір өнімнің саны (көлемі) ;
p-тауар бірлігі бағасы;
z- өнім бірлігінің өзіндік құны;
T- уақыттың жалпы шығыны (Т=p*q) немесе жұмысшыларды саны
П- егіс көлемі
У- егіншілік
p*. q- берілген түрдің өндірілген өнімнің жалпы құны
z. *q- барлық өнімді өндіруге кеткен шығындар
Индекстер топтамасы:
құрастыру формасы бойынша:
- агрегатты;
- орташа;
салмағы бойынша:
- тұрақты салмақпен;
- ауыспалы салмақпен;
зерттейтін объектінің сипаты бойынша:
- сандық көрсеткіштер индексі;
- сапалық көрсеткіштер индексі;
құбылыстың құрамы бойынша:
- ауыспалы құрам индекстері;
- тұрақты құрам индекстері;
Индекстерді есептеуде салыстырмалы деңгейді және базисті деп аталатын салыстыру жүргізілетін деңгейді бөліп қарайды. Салыстыру базасын таңдау зерттеу мақсатымен анықталады.
Бір аттас құбылыстардың динамикасын зерттеу салыстырудың, динамикалардың және жоспарды орындаудың белгілі қатысты шамалары болып табылатын жеке индекстер (і) көмегімен зерттеледі.
Салыстырылмайтын элементтерден тұратын жиынтықтарды өлшеу топтық немесе жалпы индекстер көмегімен зерттеледі.
Соңғылары құрастыруәдісі бойынша агрегатты индекстер және жеке индекстерден орташа салмақталған болып бөлінеді.
Негізгі индекстердің арасында өзара байланыс бар, олар бір индекстің негізінде басқа индекстерді алуға мүмкіндік береді:
- өнім құны индексі- бағалар мен өнімдердің физикалық көлемінің индекстерін шығару,
- өнім шығыны индексі дегеніміз өнімнің өзіндік құнының индексін шығарылған өнімнің физикалық көлемінің индексіне шығару;
- тауарайналым индексі - баға индексі мен тауарайналымның физикалық көлемінің индексін шығару.
Егер сапалық көрсеткіштер индексі ағымдық кезең деңгейінде алынған салмақтар негізінде құрастырылған болса, онда қарастырылған жоғарыдағы агрегатты индекстер, с. қ. олардың элеметтері бір-бірімен өзара байланысты.
1. 1 Индекстердің мәні және түрлері
Индекс-зерттелетін құбылыстың уақыты бойынша, кеңістікте немесе белгілі бір эталонмен салыстыру бойынша өзгеруін сипаттайтын салыстырмалы көрсеткіш.
Әртекті жиынтықтарды сиапттайтын көрсеткіштердің динамикасын талдау үшін индекстер қолданылады.
Мысалы, бағалардың динамикасын талдағанда оратша бағаны есептеуге болмайды, өйткені тұтынушы нарығында әр түрлі тауарлар-тамақ өнімдері, киім, мебель және т. б. сатылады.
Индекстер динамикалық және кеңістіктік (территориялық) болып бөлінеді.
Динамикалық индекстер -екі кезеңнің көрсеткіштерін салыстырудың негізінде жиынтықтың уақыттағы өзгеруін зерттеуге мүмкіндік береді.
Кеңістік индекс - екі жиынтықтың көрсеткішерін кеңістікте салыстыру үшін қолданылады, екі кәсіпорын, екі аймақ, екі мемлекет болуы мүмкін.
Егер салыстыру базасы ретінде өтіп кеткен кезеңнің деңгейі қолданылса - динамикалық индекс шығады, егер салыстыру базасы сол құбылыстың басқа территория бойынша деңгейі болса-кеңістіктік индекс шығады.
Жиынтықтың бірліктерін қамтуы бойынша индекстер: жеке және жиынтық болып бөлінеді.
Жеке индекстер - бір тауар, өнімнің бір түрі, бір бірлік бойынша есептеледі.
Жиынтық индекстер - бір кәсіпорын шығаратын тауардың топтары немесе өнімнің бірнеше түрі бойынша есептеледі.
Жиынтық индекстер:
-агрегаты
-орташа арифметикалық;
-орташа гармониялық болып бөлінеді.
2 Жеке индекстер
Индекстік талдауда қолданылатын ең қарапайым көрсеткіш - жеке индекс болып табылады. Ол жиынтықтың элементтерінің сипаттамаларының уақытта (кеңістікте) өзгеруін сипаттайды.
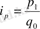
Бағаның жеке индексі келесі формуламен есептеледі:
Мұндағы
-осы кезеңдегі өнімнің бағасы, ал
-базистік кезеңдегі өнімнің бағасы.
Мысал: А өнімнің бағасы осы кезеңде - 30 теңге, базистік кезеңдегі - 25 теңге, онда бағаның жеке индексі:
Бұл мысалда А өнімнің бағасы базистік кезеңге қарағанда 1, 2 есе немесе 20% өсті.
Сатудың физикалық көлемінің жеке индексі өнімді сатудың көлемінің натуралды бірліктерінің өзгеруін бағалауға мүмкіндік береді.
мүндағы
- осы кезең және базистік кезеңде сатылған өнімнің саны.
Өнімді сату көлемінің ақшалай түрде өзгеруі тауар айналысының жеке индексін көрсетеді.
Мысал ретінде келтірілген үш жеке индекс өзара байланысты.
Бұл өзара байланыс, тауар айналымының өзгеруі баға динамикасы мен осы өнімнің сату көлемінің өзгеруінің әсерінен болатынын көрсетеді.
Жеке индекстер өсудің динамикасы мен қарқынының салыстырмалы көрсеткіштері, олар бірнеше кезеңнің мәліметтері бойынша үзіліссіз немесе базистік қалыпта есептеледі.
2. 1 Агрегатты қалыптағы жиынтық индекстер
Жиынтық индекс-тікелей салыстырылмайтын элементтерден тұратын әлеуметтік -экономикалық құбылыстардың орташа өзгеруін сипаттайтын күрделі салыстырмалы көрсеткіш.
Агрегатты қалып жиынтық индекстің бастапқы формасы. Әртекті жиынтық үшін агрегатты индексті есептегенде барлық элементтерді біріктіруге болатын ортақ көрсеткішті табады.
Егер осы кезеңдегі тауарлардың n түрі бойынша тауар-айналымын, оның базистік кезеңдегі шамасымен салыстырсақ, онда тауар айналымның жиынтық индексі шығад.
мұндағы,
және
-баға,
ал
және
- тауардың осы кезеңдегі және базистік кезеңдегі сату көлемі.
Осы мндекстің алымы осы кезеңнің тауар айналымы, бөлімі алдыңғы кезеңнің тауар айналымы.
Баға, өзіндік құн, еңбек өнімділігі сияқты көрсеткіштердің динамикасын зерттегенде сандық көрсеткіштерді ағымды кезеңнің деңгейінде бекітеді. Осындай әдіспен бағаның жиынтық индексін (Пааше баға индексін) алады.
Бұл индекстің алымы ағымды кезеңнің нақты тауар айналымы, бөлімі базистік кезеңдегі баға сақталған жағдайдағы ағымды кезеңдегі тауар айналым қандай болатынын көрсететін шартты шама. Паашенің баға индексі тауардың базистік кезеңмен салыстырғандағы ағымды кезеңде қаншалықты қымбаттағанын немесе арзандағанын көрсетеді.
Сатудың физикалық көлемінің жиынтық индексі сатылған тауарлардың салымын ақшалай емес, физикалық өлшем бірліктеге өзгеруін көрсетеді.
Есептеліген индекстердің арасында өзара байланыс бар:
Мысал: кестедегі мәліеттер бойынша облыстағы жеміс жидекті сату туралы мәліметтер бар.
36 кесте - Өнімдерді сату бойынша мәліметтер







Шешімі:
Тауар айналымның индексін есептеңіз:
Осы мәліметтердің негізінде тауар айналысның индексін анықтаңыз
Осы өнімнің тобына ағымды кезеңдегі тауар айналым базистік кезеңмен салыстырғанды 3, 1% азайды(100%-96, 9%
Бағаның жиынтық индексін есептейік:
Осы өнімнің тобы бойынша тамыз айындағы баға шілде айымен салыстырғанда 10, 8% төмендеді.
Сатудың физикалық көлемінің индексі:
Сатудың физикалық көлемінің индексі 8, 6% ұлғайды.
индекстердің өзара байланысын қолдана отырып есептеудің дұрыстығын есептейміз:
Тауар айналым мен бағаны талдауындағы агрегатты индекстерді қолдануды қарастырдық.
Өнеркәсіптік кәсіпорынның өндірістік іс-әрекетін талдағанда, жоғарыда келтірілген жиынтық индекстер өнімнің құнының индексі, көтерме бағалардың индексі және өнімнің физикалық көлемінің индекс деп аталады. Өндірістің шығыны мен өнімнің өзіндік құнының өзгеруін талдағанда индекстік әдісті қолдануды қарастырайық. Кәсіпорын шығаратын өнімдердің бірнеше түрінің өзіндік құнының деңгейінің жалпы өзгеруін анықтау үшін өзіндік құнның жиынтық индексі есетеледі.
мұндағы:
немесе
-түрлі өнімнің ағымды және базистік кезеңдегі өзіндік құны.
Алымы мен бөлімінің айырамсы үнемдеудің немесе жоғалтудың сомасын көрсетеді:
Өзіндік құн бойынша есептелген өнімнің физикалық көлемінің жиынтық индексі келесі формуламен есептеледі:
Осы индекстің жүйедегі үшінші көрсеткіш өндірістің шығындарының жиынтық индексі:
Үш индекс өзара байланысты:
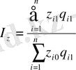
2. 2 Орташа арифметикалық және орташа гармониялық қалыптағы жиынтық индекстер
Кейбір жағдайларда агрегатты қалыпқа қарағанда орташа -арифметикалық және орташа гармониялық қалыптағы жиынтық индекстерді қолданған ыңғайлы. Кез келген жиынтық индексті жеке индекстердің орташасы ретінде көрсетуге болады. Бірақ орташаның қалыбын солай таңдау қажет, алынан орташа индекс бастапқы агрегаты индекске тең болуы қажет.
Мысалы, ағымды кезеңдегі сатылған өнімдердің құны (
) және таңдаулы байқау кезінде алынған бағалардың жеке индексі туралы мәліметтер болып дейік. сода бағаның жиынтық индексінің бөліміндегі (
) келесі ауыстыруды қолдануға болады:
Сонда, бағаның жиынтық индексі орташа гармониялық индекс ретінде көрсетілген:
Мысал: Кестеде келтірілген мәліметтер бойынша бағаның өзгеруінің жиынтығын анықтаңыз.




Орташа гармониялық индексті есептейік:
Осы тауар тобы бойынша ағымды кезеңдегі баға базистік кезеңмен салыстырғанда 1, 6 өсті.
... жалғасы- Іс жүргізу
- Автоматтандыру, Техника
- Алғашқы әскери дайындық
- Астрономия
- Ауыл шаруашылығы
- Банк ісі
- Бизнесті бағалау
- Биология
- Бухгалтерлік іс
- Валеология
- Ветеринария
- География
- Геология, Геофизика, Геодезия
- Дін
- Ет, сүт, шарап өнімдері
- Жалпы тарих
- Жер кадастрі, Жылжымайтын мүлік
- Журналистика
- Информатика
- Кеден ісі
- Маркетинг
- Математика, Геометрия
- Медицина
- Мемлекеттік басқару
- Менеджмент
- Мұнай, Газ
- Мұрағат ісі
- Мәдениеттану
- ОБЖ (Основы безопасности жизнедеятельности)
- Педагогика
- Полиграфия
- Психология
- Салық
- Саясаттану
- Сақтандыру
- Сертификаттау, стандарттау
- Социология, Демография
- Спорт
- Статистика
- Тілтану, Филология
- Тарихи тұлғалар
- Тау-кен ісі
- Транспорт
- Туризм
- Физика
- Философия
- Халықаралық қатынастар
- Химия
- Экология, Қоршаған ортаны қорғау
- Экономика
- Экономикалық география
- Электротехника
- Қазақстан тарихы
- Қаржы
- Құрылыс
- Құқық, Криминалистика
- Әдебиет
- Өнер, музыка
- Өнеркәсіп, Өндіріс
Қазақ тілінде жазылған рефераттар, курстық жұмыстар, дипломдық жұмыстар бойынша біздің қор #1 болып табылады.

Ақпарат
Қосымша
Email: info@stud.kz