Бүтін санды айнымалыларды өңдеу

 
    
Кирнос В. Н.
Паскаль программалау тілінің
негіздері
орыс тілінен аударған М. Бексарыұлы
ЖОО-ның техникалық мамандықтары бойынша және арнаулы орта, орта оқу орындарының студенттері мен оқушыларына арналған оқу құралы
Қызылорда 2011
УДК004. 43(07)
ББК 32. 97-018. 1я7
Б40
Қызылорда облыстық білім беру қызметкерлерінің біліктілігін арттыру және қайта даярлау институтының Ғылыми Кеңесінде 2010 жылғы 26 желтоқсанда (№4 хаттама) қаралып, таратылуға ұсынылған.
Дайындаған:
Мұратбек Бексарыұлы - №114 орта мектептің информатика пәнінің жоғары санатты мұғалімі.
“Қызылорда-Қанағаты”, 2011 - 132 бет
ISBN 978-7102-22-7
Пікір жазғандар:
Шералы Ибраев - «Болашақ» университетінің кафедра меңгерушісі, физика-математика ғылымдарының кандидаты, доцент
Оразбай Орманов - Қызылорда облыстық білім беру қызметкерлерінің біліктілігін арттыру және қайта даярлау институтының жаратылыстану-математикалық білім беру кафедрасының оқытушысы
Аударма оқулық жоғары техникалық оқу орындарының студенттеріне арналғанымен, ол мектептер мен колледж оқытушылары мен оқушыларының Паскаль программалау тілін терең меңгеруіне жол ашатын өте құнды оқу құралы.
Оқулық өз тілімізге информатика саласындағы терминологияны ескере отырып, сапалы аударылған және ондағы есептер қазақы ұғымдармен сәтті берілген. Оқулықта есептердің шешулері пайдаланушыларға қолайлы болу үшін әрбір параграфтың соңында бірден келтірілген.
УДК004. 43(07)
ББК 32. 97-018. 1я7
ISBN 978-7102-22-7 © М. Бексарыұлы, 2011
Мазмұны
1 - тарау. Паскаль программалау тілінің негіздері . . . 4
Кіріспе . . . 4
§1. Паскаль алфавиті . . . 6
§2. Паскальдағы сызықтық программа . . . 10 Паскальдағы сызықтық программа. Есептердің шешуі . . . 13
§3. Тармақталу программасы . . . 19
Тармақталу программасы. Есептердің шешуі . . . 22
§4. Циклдік программа . . . 28
Циклдік программа. Есептердің шешуі . . . 31
§5. Бүтін санды айнымалыларды өңдеу . . . 35
Бүтін санды айнымалыларды өңдеу. Есептердің шешуі . . . 38
§6. Циклдік программа (параметрлі) . . . 43
Циклдік программа (параметрлі) . Есептердің шешуі . . . 46
§7. Көшу операторы. Бос оператор . . . 50
Көшу операторы. Бос оператор. Есептердің шешуі . . . 52
§8. Бір өлшемді жиымдар . . . 58
Бір өлшемді жиымдар. Есептердің шешуі . . . 62
§9. Екі өлшемді жиымдар . . . 71
Екі өлшемді жиымдар. Есептердің шешуі . . . 75
§10. Процедуралар мен функциялар . . . 87
Рекурсиялар . . . 91
Процедуралар мен функциялар. Есептердің шешуі . . . 93
§11. Символдық ақпараттарды өңдеу . . . 102
Символдық ақпараттарды өңдеу. Есептердің шешуі . . . 106
§12. Есептер шығару . . . 109
Есептердің шешуі. Бүтін сандар . . . 116
Аудармашының түсіндірмесі . . . 128
1 - тарау. Паскаль программалау тілінің негіздері
Кіріспе. Программалау тілдері туралы
Мектеп курсында сіз программалау тілінің бірі-Бейсикті оқып үйрендіңіз. Алайда қазір ондай тілдер өте көп, олар ондап саналады. Барынша кең таралған(Бейсикпен қатар) тілдерге: Си және Паскаль ( Pascal ) жатады. Соңғысын толығырақ оқып-үйренуге осы оқу құралында кірісетін боламыз.
Алдымен тілдердің жіктелуі жайлы бірер сөз. Компьютер алго-ритмді орындаушы ретінде барынша қарапайым бұйрықтар тіліне (оны әдетте машиналық тіл деп атайды) ие. Біршама күрделі алго-ритм жүздеген, мыңдаған және он мыңдаған машиналық тілдегі бұйрықтардан тұруы мүмкін. Сондықтан да компьютерлік тілді төмен деңгейлі программалау тілі деп санайды.
Төмен деңгейлі тілдерде программалау ауыр жұмыс, ол оны құрастырушыдан жоғары кәсіби білікті талап етеді. Міне содан да программалаушы еңбегінің жұмыс өнімділігі төмен. Осы қиындық-тарды жеңу мақсатында жоғары деңгейлі программалау тілдері ойлап табылған.
Жоғары деңгейлі программалау тілдері көрнекілігі мен жинақы-лығы жағынан математика тілі сияқты. Оны жай адам тілі мен маш-иналық тілдің арасындағы қандай да бір аралық тіл деуге болады. Бұл адамның компьютермен қатынасын жеңілдетеді, алайда прог-раммалау тілі арнайы үйренуді қажет етеді. Осы тілдердің бұйрық-тары операторлар деп аталады.
Жоғары деңгейлі программалау тілінің күрделі операторларын ком-пьютер тікелей орындай алмайтыны анық. . Сол себептен де осын-дай операторларды машиналық бұйрық тіліне аудармашы қажет. Жоғары деңгейлі тілде жазылған программаны орындаудың екі түр-лі тәсілі бар. Бірінші тәсіл бойынша компилятор деп аталатын арн-айы қызметтік программа берілген программаның барлық оператор-ларын машиналық тілге аударады да, сонан соң осы алынған маши-налық программа компьтерде орындалады.
Екінші тәсіл бойынша интерпретатор деп аталатын арнайы қызметтік программа қолданылады. Интерпретатор тиісті програм-маның операторларын біртіндеп(бірінен соң бірін) машина тіліне аударады, ал компьютер оны бірден орындайды. Компилятор да, интерпретатордың өзі де машиналық тілдегі программа болып табылады. Олардың әрқайсысын қолданудың өзінше артықшылығы мен кемістіктері де бар.
Компилятор программаны машиналық тілге тұтас түрде оның жекелеген операторларының дұрыстығын ғана емес, олардың өзара үйлесімділігін де тексере отырып аударады. Бұл уақытты біршама көп алады, бірақ программадағы қателерді компиляциялау кезінің өзінде-ақ анықтауға мүмкіндік береді.
Интерпретатормен жұмыс әлдеқайда жеңілдеу. Ол аяқталып бітпеген программаның да орындалуына мүмкіндік жасайды, ал оның алгоритмді құрастыру мен жөндеу кезінде пайдасы көп. Алайда интерпретатор программаның барлық бөлігінің өзара үйлесімін тексере алмайды. Оған қоса программаның интерпретация режиміндегі жұмысы алдынала компиляцияланған программадан бірнеше есе баяу жүреді.
Бейсик тіліндегі программалар интерпретация режимінде орындала-тын болса, ал мысалы, Паскаль үшін программаны компиляциялау қолданылады. Сонымен, есіңізде болсын: Бейсик-интерпретатор, ал Паскаль-компилятор болып табылады.
Паскальдың екінші бір ерекшелігі, оның құрылымдық прог-раммалау ұстанымын есепке алып құрастырылуы. Құрылымдық программаларға оларды өңдеу мен түзетудің жеңілдігі, қателердің аз жіберілуі тән. Паскальда құрылымдық берілгендер типінің жай айнымалылар, жиымдар, файлдар, жиындар, жазбалар, сілтемелі айнымалылар сияқты толық тізбесі бар.
Паскаль-программаның кейде барынша толық жазылуы есебі-нен, мыс, айнымалылар мен олардың типтерін сипаттаудың міндет-тілігі арқасында оның сенімділігін ерекше атау керек.
Паскальдың тағы бір ерекшелігі, оның модульдік программалау екендігі. Ол алдынала қосалқы процедуралардың тұтас кітапхана-сын жасап алып, оларды қажетті программаға модуль ретінде жал-ғауды белсенді түрде қолдана алатындығы.
Борланд фирмасы жасаған(5. 5 версиясынан бастап) Турбо-Паскаль-дың соңғы ерекшелігі, оның обьектілі-бағдарлы программалау (ОБП) деп аталатын мүмкіндігінің барлығы. Мұнда берілгендерді оларды өңдеуші процедуралармен біртұтас-обьект ретінде байлан-ыстырып қарастырады. Соның нәтижесінде берілгендер де, проце-дуралар да жеке мәнін жоғалтады. Шынында ОБП-ны берілгендер мен процедуралардың кездейсоқ бірігуінің орнына оларды мазмұн-дық жағынан байланыстырушы жаңа деңгейлі модульдік програм-малау деп қарастыруға болады. ОБП-ның артықшылығы тек күрделі программаларды, программалаудың біртұтас кітапханасын құрасты-ру кезінде көрінетіндігін атап өту керек. Күрделі емес алгоритмдер-ді құрастыруда Паскальдың кәдімгі тәсілдерімен жұмыс істеу әлде-қайда жеңіл және тиімді.
Паскаль тілін 1970 жылы швейцариялық ғалым Н. Вирт ойлап тауып, оны атақты математик, физик және философ Блезь Паскаль-дың(1623-1662) құрметіне соның атымен атады. Б. Паскаль тарихта алғашқы механикалық есептеу машинасын(1642 ж. ) жасауымен де белгілі.
Паскаль мен Бейсик программалау тілдерінің бір-бірінен айыр-машылығы, Паскаль- транслятор (ал Бейсик- интерпретатор ), яғни Паскальда программа толық талданады және ол компьютерде өңд-еудің үш кезеңінен өтеді: трансляцияланады (программа машина тіліне аударылады), компоновкаланады (алынған программаға стандартты функциялар мен процедуралар жалғанады) және прог-рамма тікелей орындалады . Біз қарастырып отырған Турбо-Пас-кальда жұмыста қолайлы болуы ескеріліп, осы үш кезең жұмысы программалаушыдан жасырылған.
Паскаль барынша мәдени тілге жатады: мұнда программада пайдаланылатын айнымалылар алдынала сипатталады, олардың мәні көрсетілген типте ғана бола алады және т. с. с.
Біз осы кітапта Паскальдың Борланд фирмасы дайындаған Турбо-Паскальдың 7. 0 версиясын қарастырамыз. Алайда 1-тарауда келті-рілген мәліметтер Паскальдың кезкелген диалектісі үшін жарамды.
§1. Паскаль алфавиті
Паскальдың, басқа да тілдер сияқты осы тілде қолданылатын әріп-терден (символдардан) тұратын өз алфавиті бар. Паскаль алфавиті құрамына:
1) латынның a -дан z -ке дейінгі әріптері(бас әріптері де) ;
2) а -дан я -ға дейінгі орыс әріптері(бас әріптері де) ;
3) 0 -ден 9 -ға дейінгі цифрлар;
- арнайы символдар: +, -, /, *, ; , :, =, <, > және басқалар енеді. (константа) үш түрі бар: сандық (немесе жай ғана-сандар), символдық және логикалық .
Символдық және логикалық тұрақтылармен жұмысты кейінірек қарастырамыз.
Сандар Паскальда әдеттегідей ондық санау жүйесінде жазыла-ды. Мұнда да Бейсиктегі сияқты, ондық үтір орнына нүкте қолдан-ылады. Дәрежелі сандар экспонентті түрде жазылады, мыс: 6, 25·10 -23 саны 6. 25Е-23 түрінде. Сандар Паскальда да, Бейсиктеде бүтін және нақты (бөлшек бөлікті) түрде болатынын ескертеміз.
Айнымалылар латын әріптері мен цифрлардың кезкелген тір-кесі түрінде белгіленеді, бірақ бірінші символы әріп болады. Мыс: a, b1, summa, alfa21 және т. б . Паскальда айнымалының нақты типі болуы керек. Ондай тип төртеу: бүтін, нақты, символдық және
логикалық. . Айнымалы типі программа мәтінінің басында арнайы сипатталады(§2-ні қараңыз) .
Тұрақтылар мен айнымалыларды қоса алғанда мәліметтер деп атау қабылданған.
Паскальда мәліметтерді ұйымдастырудың жалпы схемасы 1-кестеде келтірілген: 1-кесте
Ескерту. Паскальдың қарастырылып отырған Турбо-Паскаль 7. 0 вер-сиясында тұрақтылар мен айнымалылардың қосымша типтері бар (олардың кейбіреуі 2-кестеде келтірілген) . Олар жеке жағдайда есептеуді үлкен дәлдікпен жүргізуге мүмкіндік береді. Мыс: double арқылы нақты 15-16 мәнді цифр(real -дағы 11-12 цифр орнына) алуға болады. Алайда алғашқы кезде оларды өте қажет болмаса, пайдалана бермеген жөн ( ол программа жұмысын баяулатады, жадыдан артық орын алады т. с. с) .
Турбо-Паскальдағы айнымалылардың қосымша типтері
2-кесте
Паскальда, Бейсиктегі сияқты өрнектердің үш типі бар: сандық(ол өзінше бүтін, нақты болып бөлінеді), логикалық (§3-ті қараңыз) және символдық (мұны тарау соңында қарастырамыз) .
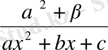
 Сандық (не математикалық) өрнектерді жазу тура Бейсиктегідей. Мыс, мына бөлшек:
  былай жазылады: (alfa*alfa+beta) /(a*x*x+b*x+c) .
 былай жазылады: (alfa*alfa+beta) /(a*x*x+b*x+c) .
Оның Бейсиктен бір айырмашылығы - дәрежелеу амалының жоқтығы. Паскальда математикалық функцияларды жазудың Бейсиктен біршама өзгерісі бар. Ол 3-кестеде келтірілген.
Паскальдың математикалық функциялары 3-кесте
математика-
лық жазбасы
 
 Кезкелген дәрежеге шығару үшін экспонента мен натурал логарифмді қолданады. Себебі
  
 тең. Сонда Паскаль тілінде a
 
  b
 
 былай жазылады: exp(b*ln(a) ) .
 тең. Сонда Паскаль тілінде a
 
  b
 
 былай жазылады: exp(b*ln(a) ) .
Паскальда бүтін сандармен(бүтін сандық айнымалылармен де) жұмыс істеуге арналған бірнеше арнайы функциялар бар екенін ескеріңіз. Оларды 5 § - та қарастырамыз.
 
1. 1 -мысал.
Өрнекті Паскаль ережесі бойынша жазыңыз:
Жауабы: (-b+sqrt(sqr(b) -4*a*c) ) /(2*a) .
1. 2 -мысал. Өрнектің айнымалының берілген мәніндегі мәнін есептеңіз: x=1, y=2 болғанда (sin(sqrt(x) - 1) + 2*abs(y) ) /cos(2-y) . Жауабы: 4.
Бақылау сұрақтары
1. Паскальдың Бейсиктен негізгі айырмашылығын атаңыз.
2. Паскаль альфавитіне нелер енеді?
3. Сандарды жазу ережесі қандай?. Паскальда сандардың қандай типтері бар?
4. Паскальда айнымалылар қалай белгіленеді? Сіз айнымалылардың қандай типтерін білесіз?
5. Паскальда дәрежеге шығару қалай орындалады?
Практикалық тапсырмалар
- Формулаларды Паскаль ережесі бойынша жазыңыз:
 a) (1+x)
 
  2
 
 ; б)
  ; в) a + bx ; г) sin8°; д) cos
 
  2
 
 x
 
  3
 
 ; e) tgx.
 ; в) a + bx ; г) sin8°; д) cos
 
  2
 
 x
 
  3
 
 ; e) tgx.
Шешуі: а) sqr(1+x) ; б) sqrt(1+sqr(x) ) ; в) abs(a+b*x) ; г) sin(8*3. 1415/180) ; д) sqr(cos(x*x*x) ) ; е) sin(x) /cos(x) .
1. 2. x>0 үшін Паскаль ережесімен жазыңыз:
 a) х
 
  -1
 
 ; б) х
 
  4
 
 ; в) х
 
  -2
 
 ; г) х
 
  5
 
 ; д) х
 
  100
 
 ; е) 2
 
  1+х
 
 ; ж) х
  ; з)
 ; з)
  .
 .
Шешуі: а) 1/x; б) sqr(sqr(x) ) ; в) 1/sqr(x) ; г) sqr(sqr(x) ) *x; д) exp(100*ln(x) ) ; е) exp((1+x) *ln2) ; ж) x*sqrt(2) ; з) exp(1/3*(1+x) ) .
1. 3. Паскаль ережесі бойынша жазыңыз:
 а)
  б)
 б)
  в)
 в)
  
 г)
  д) 6, 673·10
 
  -8
 
 ·
 д) 6, 673·10
 
  -8
 
 ·
  
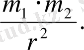
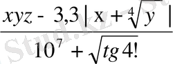
Шешуі:
а) exp(1/8*sqr(sqr(sqr(x) ) ) +8*x) ;
б) (x*y*z+3. 3*abs(x+sqrt(sqrt(y) ) ) ) /(1E-7+sqrt(sin(24) /cos(24) ) ) ;
в) (bet+sqr(sin(sqr(sqr(pi) ) ) ) ) /(sqr(cos(gam) ) +abs(cos(gam) /sin(gam) ) ) ;
г) 1+x+sqr(x) /2+sqr(x) *x/6+sqr(sqr(x) ) /24;
д) 6. 673E-8*(m1*m2) / sqr(r) .
§2. Паскальдағы сызықтық программа
Паскальда да сызықтық программа жазу үшін үш: меншіктеу, енгізу және шығару операторлары талап етіледі.
Меншіктеу операторының түрі: айнымалы : = өрнек
Мұнда, айнымалы - Паскальдың кезкелген айнымалысы, өрнек - айнымалы типіне сәйкес келетін Паскаль өрнегі. Меншіктеу таңба-сы, Бейсиктегіден бөлек, ол тек теңдік таңбасы емес, қос нүкте мен теңдік таңбасы екендігіне назар аударыңыз.
Мыс, а:=0, x:=x+1; alfa:=sqr(x) .
Бұл оператордың орындалу реті Бейсиктегі меншіктеу опера-торының орындалуына ұқсас. Тек бір айырмашылығы, ол айныма-лылар мен өрнектердің типтерінің сәйкес болуын қатаң қадағалау қажеттігі(мыс, бүтін санды айнымалыға нақты типті өрнекті мен-шіктеуге болмайды) .
Енгізу операторы былай жазылады : read (тізім)
мұндағы тізім - өзара үтірмен ажыратылған Паскаль айнымалы-ларының тізбесі. Мыс, read(x) ; read(x1, x2, alfa) . read сөзі ағылшын тілінен оқу деп аударылады.
1-ескерту. Енгізу операторының орындалуы кезінде (Бейсиктен өзгеше) 1-ден, «?» белгісі түріндегі сұрау пайда болмайды және
2-ден, айнымалы мәндерін бір-бірінен бос орын арқылы ажыратып (Бейсиктегідей үтір арқылы емес) енгізеді.
Шығару операторының түрі : write ( тізім)
Мұнда тізім-бір-бірінен үтір арқылы ажыратылған(тек үтір арқылы) тұрақтылар, айнымалылар немесе өрнектер тізбесі. write ағылшын-ша жазу дегенді білдіреді. Паскальда берілгендерді енгізу және шығару аяқталған соң экранның келесі жолына автоматты түрде ауысу жүрмейтіндігін ескертеміз. Ондай ауысуды (қажет кезде) қамтамасыз ету үшін readln және writeln (ln-ағылшынның line-жол сөзінің қысқа түрі) операторларын қолданған жөн. writeln бос опер-аторын қолдану (яғни тізімсіз) жай ғана экранның келесі жолына ауысумен барабар.
Осы операторлар сызықтық программаны жазуға жеткілікті. Алайда Паскальдағы программада операторлардан (орындалатын бөліктен) басқа тағы да мынадай элементтер болады:
- программа тақырыбы:programаты; мұнда аты - латынның 6 әрпі мен цифрлардан тұратын кезкелген тіркес;
- айнымалыларды сипаттау:var :тізім : типі; мұнда тізім- программада қолданылатын айнымалылар тізбесі; ал типі- осы айнымалылар типінің көрсетілуі. Біз негізінен, мына типтерді ғана қолданамыз: real(нақты), integer (бүтін), char (символдық), string(жолдық), boolean(логикалық) . Осы тарауда негізінен нақты және бүтін типтерді қарастырамыз.
- beginқызметші сөзі(программаның орындалатын бөлігі осы сөзден кейін жазылады) ;
- end. (нүктемен) қызметші сөзі. Паскальдағы программа осы сөзбен аяқталады
2. 1- мысал. Үшбұрыш a, b, c қабырғаларының ұзындығы бойынша берілген. Осы үшбұрышты іштей және сырттай сызылған шеңбер-лердің радиустарын есептеу программасын мына формулаларды пайдаланып, құрыңыз.
r1=(abc) /4s /іштей сызылған шеңбер радиусы/,
r2=2s/(a+b+c) /сырттай сызылған шеңбер радиусы/,
p=(a+b+c) /2 /жарты периметр/,
 s =
  /үшбұрыш ауданы/.
 /үшбұрыш ауданы/.
program mys2_1;
var a, b, c, p, s, r1, r2:real;
begin
write('a, b, c-ны енгіз:') ; read(a, b, c) ;
p:=(a+b+c) /2; s:=sqrt(p*(p-a) *(p-b) *(p-c) ) ;
r1:=2*s/(a+b+c) ; r2:=a*b*c/(4*s) ;
writeln; writeln('сырттай сызылған шеңбер радиусы=’, r2) ;
write('іштей сызылған шеңбер радиусы=’, r1)
end .
Осы программаны a, b, c-ға 3 4 5 мәндерін беріп, орындауға жібер-генімізде мына нәтижені аламыз:
сырттай сызылған шеңбердің радиусы = 2. 5
іштей сызылған шеңбердің радиусы = 1.
2-ескерту. Паскальдағы программа операторлары бірінен-бірі нүктелі үтір арқылы ажыратылады және бір жолға бірнеше оператор жазуға болады.
3-ескерту. Ненің және қандай ретпен енгізудің(енгізу операторы орындалғанда) анық болуы үшін, әрбір енгізу операторына тиісті түсініктемемен шығару операторын сәйкестеуді ұсынады.
Бақылау сұрақтары
1. Паскальдағы меншіктеу операторының жазылу ерекшелігі неде?
2. Енгізу операторы қалай жазылады және ол қалай орындалады?
3. Шығару операторының жазылуы мен орындалу ережесі қандай?
4. Паскальда программа жазу қалай жүргізіледі?
Практикалық тапсырмалар
2. 1. d айнымалысына :
а) x, y, z сандарының арифметикалық орта шамасын;
б) жазықтықтағы координаталары (х 1 , у 1 ) , (х 2 , у 2 ) болатын нүкте-лердің арақашықтығын меншіктеу операторларын жазыңыз.
2. 2. х және у айнымалыларының мәндерінің орнын ауыстыратын меншіктеу операторын жазыңыз.
а) қосымша айнымалыны пайдаланып;
б) * қосымша айнымалыны пайдаланбай.
2. 3. x, y, z айнымалыларының мәндерін х айнымалысында у айны-малысының мәні, у- те z айнымалысының мәні, ал z- те x айнымалы-сының бұрынғы мәні болатындай етіп меншіктеу операторларын жазыңыз.
а) қосымша айнымалыны пайдаланып;
б) * қосымша айнымалыны пайдаланбай.
2. 4. Берілген а үшін көбейтуден басқа амал қолданбай мыналарды алуға болатын меншіктеу операторын жазыңыз:
а) а 9 -ды 4 амал арқылы; б) а 10 -ды 4 амал арқылы;
в) а 13 -ті 5 амал арқылы; г) а 21 -ді 6 амал арқылы;
д) а 64 -ті 6 амал арқылы; е) а 3 және а 10 -ды 4 амал арқылы;
ж) а 11 және а 20 -ны 5 амал арқылы; з) а 5 және а 9 -ды 5 амал арқылы;
и) а 5 және а 13 -ті 5 амал арқылы; к) а 2 , а 5 және а 17 -ні 6 амал арқылы;
л) а 4 , а 12 және а 28 -ді 6 амал арқылы.
2. 5. Ұзындығы а, ені в- ға тең тіктөртбұрыш ауданын есептеңіз.
  2. 6.
 
 Тығыздығы
  кг/м
 
  3
 
 болатын
 
  Х
 
 литр сүттің массасын табыңыз.
 кг/м
 
  3
 
 болатын
 
  Х
 
 литр сүттің массасын табыңыз.
2. 7. Цилиндрдің көлемі - V , ал табан ауданы- S болсын. Цилиндрдің биіктігі қандай?
2. 8. Куб қырының ұзындығы- а . Кубтың көлемі- V және оның бүйір бетінің ауданы S -ті табыңыз.
2. 9. Мөлшері а · b · с болатын бөлмедегі ауаның 21%-ы - оттегі. Бөлмедегі ауаның көлемі қанша?
... жалғасы- Іс жүргізу
- Автоматтандыру, Техника
- Алғашқы әскери дайындық
- Астрономия
- Ауыл шаруашылығы
- Банк ісі
- Бизнесті бағалау
- Биология
- Бухгалтерлік іс
- Валеология
- Ветеринария
- География
- Геология, Геофизика, Геодезия
- Дін
- Ет, сүт, шарап өнімдері
- Жалпы тарих
- Жер кадастрі, Жылжымайтын мүлік
- Журналистика
- Информатика
- Кеден ісі
- Маркетинг
- Математика, Геометрия
- Медицина
- Мемлекеттік басқару
- Менеджмент
- Мұнай, Газ
- Мұрағат ісі
- Мәдениеттану
- ОБЖ (Основы безопасности жизнедеятельности)
- Педагогика
- Полиграфия
- Психология
- Салық
- Саясаттану
- Сақтандыру
- Сертификаттау, стандарттау
- Социология, Демография
- Спорт
- Статистика
- Тілтану, Филология
- Тарихи тұлғалар
- Тау-кен ісі
- Транспорт
- Туризм
- Физика
- Философия
- Халықаралық қатынастар
- Химия
- Экология, Қоршаған ортаны қорғау
- Экономика
- Экономикалық география
- Электротехника
- Қазақстан тарихы
- Қаржы
- Құрылыс
- Құқық, Криминалистика
- Әдебиет
- Өнер, музыка
- Өнеркәсіп, Өндіріс
Қазақ тілінде жазылған рефераттар, курстық жұмыстар, дипломдық жұмыстар бойынша біздің қор #1 болып табылады.
 
            
                Ақпарат
Қосымша
Email: info@stud.kz