Экономикалық өсудің тікелей факторлары


Жоспар
- Кіріспе.
- І - тарау. Экономикалық өсудің теориялық аспектілері.
1. 1. Экономикалық өсу сипаты мен әсер етуші факторлар . . . 5
1. 2. Экономикалық өсу модельдері мен кезеңдері . . . 9
- ІІ - тарау. Экономикалық өсу - ел болашағы.
2. 1. Экономикалық өсудің негізі - өндіріс тиімділігін талдау . . . 16
2. 2. Қазақстан Республикасының экономикалық жағдайына талдау . . .
- Қорытынды.
Пайдаланған әдебиеттер.
КІРІСПЕ
Экономикалық өсу қоғамды дамыту мен әлеуметтік мәселелерді шешудегі маңыздылығымен бірнеше жүз жылдар бойы зерттелуде. Кез келген мемлекет халқының тұрмыс-жағдайын, әл-ауқатын жақсартуда және ұлттық қауіпсіздігін қамтамасыз етуге міндетті. Ал бұл міндетті атқару үшін ұлттық экономиканың, халық шаруашылығының әлеуметтік-экономикалық дамуына қол жеткізу қажет.
Қазақстан Республикасының Президентінің «Қазақстан - 2030» Бағдарламасында Қазақстан Республикасының әлеуметтік-экономикалық дамуында тұрақты экономикалық өсуге, жоғары индустриалды қоғамды қалыптастыруға, халықтың өмір сүру деңгейін, әл-ауқат жағдайын көтеруге қол жеткізу мақсаттары көрсетілген. Яғни Қазақстанда әлемдік тауар және қаржы рыноктарында бәсекелесе алатын, халқының өмір сүру деңгейі жоғары, әлеуметтік бағытталған рыноктық экономиканы, бәсеке қабілетті жоғары индустриалды экономиканы қалыптастыруға бағытталған.
Қазақстанның 2003-2015 индустриалық-инновациялық даму бағдарламасында жеті негізгі ұзақ мерзімді приоритетті мақсаттар мен жүзеге асыру стратегиялары көрсетілген. Оларды атап өтетін болсақ, олар келесідей: ұлттық қауіпсіздік; ішкі саяси тұрақтылық; ішкі жинақтар мен шетел инвестицияларына негізделген экономикалық өсу; қазақстан азаматтарының денсаулығы, білімі және амандығы; инфрақұрылымды дамыту және кәсіпқой мемлекетті қалыптастыру. Қазіргі кезде «экономикалық өсу сапасы» деген ұғым бар. Ол халықтың материалдық әл ауқатын жақсарту, тұлғаның үйлесімді дамуының негізі ретінде бос уақытта көбейту, әлеуметтік инфрақұрылым салаларын дамыту, адам капиталына инвестиция бөлу, жұмыссыздарды еңбекпен қамту сияқты негізі құраушылармен сипатталады.
Сонымен осы курстық жұмысымның мақсатына тоқталатын болсақ, ол халықтың әл-ауқатын, өмір сүру деңгейін, өндіріс тиімділігін арттыра отырып, экономикалық өсудің әсеріне талдау жасау және тұрақты экономикалық өсуге жетуде шаралар жасау болып табылады.
Осы мақсатқа байланысты курстық жұмысымның міндеттері келесідей:
- Экономикалық өсуге теориялық талдау жасау;
- Өндіріс тиімділігі мен халықтың өмір сүру деңгейінің көрсеткіштерін зерттеу;
- Қазақстан Республикасының әлеуметтік-экономикалық даму жағдайына талдау жасау;
1. ЭКОНОМИКАЛЫҚ ӨСУДІҢ ТЕОРИЯЛЫҚ АСПЕКТІЛЕРІ
1. 1 Экономикалық сипаты мен әсер етуші факторлар
Экономикалық өсу дегеніміз - бұл қоғамдық өндірістің өсуі және сапалы түрде жетілдірілуі. Экономикалық өсу белгілі бір уақыт аралығындағы ұлттық-экономиканың дамуын сипаттайды, яғни нақты ұлттық табыстың, нақты ЖІӨ-ң артуы кезіндегі ұлттық шаруашылықтың дамуы. Мағынасы бойынша, экономикалық өсу өз құрамына өндіріс нәтижелерімен қоса жаңа прогрессивті пропорциялардың қалыптасуын қосатын, экономикалық даму процесінің бір формасы болып табылады. Экономикалық дамуға оң және теріс экономикалық динамикалар жатады. Ал экономикалық өсу экономикалық дамудың оң динамикасын сипаттайды.
Оны графиктік түрде де көрсетуге болады (1-сурет) .
ЖҰӨ
экономикалық бумы өсу
бум
жандану
құлдыр. тоқырау
t (жылдар)
1-сурет. Экономикалық дамудың динамикалары. [5. 47б ]
Адамдардың әл ауқаты ұлттық табыстың деңгейіне тәуелді. Бай елдер өзінің азаматтарына кедей елдердің тұрғындары қол жеткізе алмайтын өмірлік стандарттарды қамтамасыз ете алады. Ұзақ уақыт қашықтықтар аралығында шамамен барлық елдерде жан басына шаққандағы табыстар орта есеппен өседі. әбір келесі ұрпақ алдындағы ұрпаққа қарағанда әдетте ұзақ табыс ала алады.
Экономикалық өсу дегеніміз белгілі бір кезең аралығында нақтықндіріс көлемінің ұлғаюы. Елдің экономикалық потенциялының өзгеруін бағалау үшін ЖҰӨ немесе ЖІӨ жылдық өсу қарқындары қолданылады.
Экономикалық өсу ол ұзақ мезімді құбылыс. ЖІӨ жоғарылауы мен төмендеуі ұзақ мерзімді тренд маңында орын алады. Жалпы ұлттық өнім немесе жалпы ішкі өнім елдің тұтасында экономикалық даму деңгейін сипаттайды. Ал халық әл ауқатының дәрежесін бағалауға халықтың жан басына шаққандағы ЖҰӨ және ЖІӨ алынады.
Жалпы түрде жан басына шаққандағы ЖҰӨ ел азаматтарының әл ауқатын толығымен көрсетпейтіндігімен барлық экономистер келіседі. Бұл көрсеткіш қоршаған ортаның ластануын, бос уақыттың бар болуын, өмірдің ұзақтығын әлеуметтің қамсыздандыру дәрежесін есепке алмйды. Халықтың жан басына шаққандағы жоғары ЖҰӨ деңгейі бар елде кедейшіліктің жоғары деңгейі бар болуы мүмкін. Кедейшілік бұл игіліктерді бөлу проблемасы. Бірақ та, экономикалық өсу халықтың тұрмыс деңгейін арттырудың шарты болып табылады. [1, 202 б]
Кез келген мемлекеттің өсуі негізгі алты фактордан тәуелді. Олар: 1) Табиғи ресурстардың сапасы мен көлемі.
2) Еңбек ресурстарының сапасы мен саны
3) Негізгі капитал қорының көлемі.
4) Технология
Экономикалық өсуіне әсер етеін осы төрт факторды ұсыныс факторлары деп айтуға болады.
Дәл осылар өндірістің өсуіне мүмкіндік береді. Сапалы ресурстар жіне технологиялық әулет бірігіп нақты өнім көлемін өндіруді ұлғайтады. Экономикалық өсуіне әсер ететін соңғы екі факторды қарастырсақ, олар:
- Сұраныс факторы.
- Бөлу, тарату факторы.
өндіріс әлуетін дұрыс пайдалану үшін, өндірумен ұатар өндірен өнімді дер кезінде сатуда маңызды.
Экономикалық өсуіне ісер ететін сұраныс және ұсыныс факторлары бір бірімен тығыз байланысты.
Өндіріс көлемінің ауытқуы жиынтық сұраныстың өзгеруімен түсіндіріледі (Кейнс кресі, ІS - IM үлгісі) . Жиынтық ұсыныс қыса мерзімді кезеңде қарастырылады. Сұраныс пен ұсыныс талдырмасы жіне циклдік тербелістерге байланысты экономиканың тепе теңдік жағдайынан ауытқуын экономикалық саясат тұрақтандыруға тырысады. Бірақ өнім көлемінің қысқа мерзімді ауытқуы, жұмысбастылықтық деңгейі экономиканың жалпы өсуінің қозғалысы мен берілген, оның өсуінің көлемін ұлғайту экономикалық өсумен байланысты. Экономикалық өсуді жиынтық ұсыныстың ұзаө мерзімді динамикасы ретінде немесе өнім өнім көлемінің өсуі ретінде қарастыруға болады. Оның факторларының және заңдылықтарының талдауы макроэкономикалық теорияның басты сұрақтарының біреуі болып табылады.
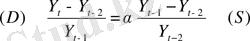
Экономикада нақты пайданың өсуі «экономикалық өсу» деп түсіндіріледі және әрбәр адам басына шаққандағы нақты өнім өсу есебі болып табылады. Сондықтан экономиканың өсуін өлшеу үшін абсалюттік арттыру немесе нақты өнім көлемі өсуінің екпініне немесе адам басына шаққандағы көрсеткіштер қолданылады.
∆ Y = Y t - Y t-1 немесе Y t =∆Y t /Y t-1 (1)
Мұндағы:
У- табыс
t- уақыт индексі.
Экономика өсуінің факторларына көбіне экономиканың өсуімен топтайды. Экстенсивті факторларға капитал көлемінің, ал интенсивтіге технолоиялық прогресс, масштаб арқылы үнемдеу, білімді және маман жұмысшылар деңгейін көтеру, ресурстарды бөлуді жақсарту және оның қолдану үрдісін сапалы ұйымдастыруға мүмкіндік береді. Кейде жиынтық сұраныс үрдістің басты католизаторы ретінде жіне экономикалық өуінің дербес факторы ретінде бөлінеді. [2, 339б]
Экономикалық өсудің экстенсивті және интенсивті типтеріне қатысты өсудің тікелей факторлары екі негізгі топқа бөлінеді: экстенсивті және интенсивті (2- сурет) .
2-сурет. Экономикалық өсудің тікелей факторлары. [3. 262 б]
Экономикада таза экстенсивті және таза интенсивті экономикалық өсу типтері болмайды. Өсу факторларын ҒТП жетістіктерін енгізу негізінде сапалы жетілдіру өндіріс құрал-жабдықтарына немесе жұмыс күшіне инвестиция салуды талап етеді, сондықтан нақты экономикалық өсуге талдау жасау кезінде басымырақ экстенсивті немесе интенсивті өсу қарқыны деп бөлінеді.
Қазіргі уақытта экономикалық өсуді нақты ЖҰӨ өсіміндегі үлес салмағына байланысты екі типтің бірін жатқызады. Егерде нақты ЖҰӨ-ң өсудің интенсивті факторы арқылы алынған үлесі 50%-тен жоғары болса, онда экономикаға интенсивті басым өсу типі тән және керісінше.
Экономикалық өсу тиімділігі «өндіріс тиімділігі» түсінігінің барлық құраушыларын жақсарту қарастырылады. Оған жататындар:
- тауар мен қызмет сапасын жақсарту, олардың отандық және әлемдік рыноктағы бәсеке қабілеттігін арттыру;
- қанағатталынмаған қажеттіліктерді қанағаттандыруға мүмкіндік беретін жаңа тауарлар өндірісін игеру;
- халқаралық еңбек бөлінісі жүйесіндегі елдің территориялық артықшылықтарын есепке ала отырып, өндірісті мамандандыру мен қауымдастыруды тереңдету;
- өндіріс ресурстарының сала және аймақ бойынша аллокациясын жаңарту;
- белгілі бір өнім шығару үшін шектеуші ресурстардың шығындарын жаңа технологияларды игеру арқылы минималдау, т. б. [3, 264 б]
1 . 2 Экономикалық өсу модельдерi және кезеңдері.
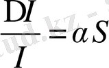
Экономикалық өсудi мемлекеттiк реттеудiң қажеттiгiн айтқан Д. М. Кейнс өзiнiң еңбегiмен экономикалық ғылымда жаңа бетбұрыс әкелдi Кейнс моделі қысқа мерзімді дағдарысты экономиканы қарастырады. Оны толықтырып, ұзақ мерзімді кезеңде қарастыруды Р. Харрод және Е. Домар тырысты. Олар экономикалық өсуді басқаруды стратегиялық айнымалы - инвестиция көлемі көмегімен жүзеге асыруға тырысты.
Е. Домар тұрақты капитал қарулығы және жинақ нормасы қарастырды. Өнім шығару тек бір ресурсқа ғана тәуелді, яғни капиталға. Есептеу жеңіл болу үшін инвестициялық лаг нольге тең деп алынады. Жиынтық сұраныс өсімі инвестиция өсіміне тәуелді:
(2)
Мұндағы:
- шығыс мультипликаторы
- жинаққа шекті бейімділік
- тұтынуға шекті бейімділік.
Жиынтық ұсыныстың өсуі келесідей:
немесе
(3)
Мұндағы:
- капиталдық шекті бейімділігі
- инвестиция.
Капиталдың шекті бейімділігі технологиямен белгіленгендіктен, ол тез өзгермейді, сондықтан
.
Тепе-теңдік шартында
, олай болса:
немесе
.
Тепе-теңдік кезінде
, ал
және
болса, онда ұлттық табыстың өсуі қарқыны І көлемнің өсуі қарқынына тең:
.
Сонымен, табыстық тепе-теңді өсу қарқыны жинақ нормасы мен капиталдың шекті өнімділігіне тура пропорционалды (
) .
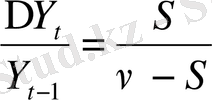
Е. Домар моделі бойынша, тепе-теңдік қалып сақталу үшін инвестиция мен ұлттық табыс бірдей қарқынды өсуі керек. Бірақ мұндай динамикасының тепе-теңдіктің тұрақты болуы өте сирек, себебі жеке сектордағы инвестицияның өсу қарқыны модельде берілген деңгейден ауытқып отырады.
Егер Домар моделінде инвестициялар экзогенді болса, онда Хоррод экономикалық өсудің әлеуметтік моделін инвестицияның экзогенді функциясын қолдану арқылы жасауға тырысты. Ол үшін Харрод Кейнстің мультипликаторын акселератор принципімен толықтырып, кәсіпкер күтулерін енгізді. Ол бойынша табыстың кез келген өзгерісі инвестицияның табыс өзгерісін тура пропорционалды өзгерісін туғызады:
Кәсіпкер өндіріс көлемін ұсыныс және сұраныс арақатынасы арқылы жоспарлайды. Ол келесідей:
- кезінде сұраныс алдыңғы уақытта ұсынысқа тең болған;
- ұсыныстан төмен;
- ұсынстан жоғары.
Сонымен осы жылдағы AS көлемін келесідей жасауға болады:
көлемi (
кезiнде) :
тепе-теңдiк экономикалық өсу
:
,
.
Егер,
болса, онда
ал кәсіпкер ағымдық уақытта осы өсім қарқынын сақтайды:
Сонымен
немесе
Экономикадағы тепе-теңдің деңгейді қамтамасыз ететін
арақатынасын Харрод кепілді өсу қарқыны деп аталады. [2, 342б]
Солоу үлгісіндегі жиынтық сұраныстың инвестиция және тұтыну мен анықталуы. ( 3- сурет)
y
f(k)
sf(k)
k
3 - сурет. Солоу үлгісіндегі жиынтық сұраныстың инвестиция және тұтыну мен анықталуы. [2. 338б]
Y=f(k), i = s*f(k), c = (1-s) *f(k) (1)
Мұндағы:
і - бір жұмыс басты адам басына шаққандағы инвестиция.
с - бір адам басына шаққандағы тұтыну.
с = (1-s) y
s -қор жинағы
y = c+і = (1-s) y+i
i=s*y [4. 239 б]
Экономикалық өсудің модельдеріне келсек, оның негізгі үш моделін атап кетуге болады:
неоклоасскалық модель, яғни екі рыноктың қатынасты, өндіріс факторларын қарастырады. Кейнстік және неокейнстік модель бұл сұранысты ынталандыра отырып экономиканы реттейді. Инстиутционалдық модель бұл дамып келе жатқан қажеттілікті үнемі қанағаттандыруға және халық шаруашылығының құрлымының инстиутционалдық өзгерістеріне көңіл бөледі. Неоклассикалық бағыт төмендегңлерге негізделген.
а) өндірістің әрбір факторы өндірілетін өнімге сәйкес үлесін қамтамасыз етеді.
б) өнім құны шекті факторлармен жасалады.
в) экономика еркін бәсеке процесі кезінде тепе теңдікті автоматты түрде қалпына келтіру үшін қажетті алғы шарттарға ие.
Бұл модельдің зерттеу объектісі ретінде экономикалық өсу факторлары табылады, яғни еңбек, капитал, ресурстар, ҒТП, уақыт, экологиялық, ақпараттық фактор, адам капиталы. Олар сапалы анализ позициясы жағынан зерттейді: ғылымның, білім беру деңгейінің өсуін, өндірісті ұйымдастыруды жақсарту, т. б.
Неоклассиктер нашар дамыған экономикада нақты дуанизмді есепке алуда оның екі компонентін бөліп көрсетеді: дәстүрлі ауыл шаруашылық және қазіргі заманғы өнеркәсіптік сектор (2-кесте) .
Дәстүрлі сектор - нашар дамыған экономика канонды вариантта. Оған жергілікті әдет-ғұрыпқа негізделген, қарапайым технология мен шаруашылық тәжірибесіне негізделген квази тұрақты тепе-теңдік тән.
кесте. Дуанистік экономика теориясы
Түсініктеме: ҚӘБ [3. 263б]
Қазіргі секторға ҒТП жоғарғы қарқыны коммуникацияның барлық түрлерінің тез қорқынды дамуы, әлемдік рынокпен тығыз байланыс тән. Мұнда халықтың жан басына шаққандағы табысының жоғарлау тенденциясы байқалады.
Орташа жан Y
басына шақ- P
қандағы N G
табыстардың мультипликатор
күтiлетiн өсу E F әсерi
қарқыны
C D
A кәсiпкерлiк кызметiнiң
4% 45º B ұлғаю қисығы (Р)
L K
jm Х
кәсіпкерлік қызметтің
ұлғаю деңгейі
3-сурет. Шаруашылық объектілерінің санының өсуі. [3. 263 б]
Халықтың орташа табысының өсуі сұраныс пен халықтың сатыпалушылық қабілетін өсіреді. Сұраныстың өсуі кәсіпкерлік қызметтің дамуына стимул береді, ол өз кезегінде мультипликатор әсерін тереңдетеді (
немесе одан
-не ауысу)
Неоклассикалық және неокейнсиандық модельдердің өзара айырмашылығына қарамастан, олар ұқсас методологияға негізделген. Институцияналдықтың олардан өзгешелігі сапалық басқа теориялық негіздерге сүйенеді.
Табыстың Y G 1 G 2 G 3
күтiлетiн
өсiмi
E F
C D акселератор әсерi
A
B
шаруашылық субъектiлерiнiң
45º санының өзгерiсi
Х
4-сурет. Шаруашылық субъектiлерiнiң санының өсуi. [3. 263 б]
Әлемдік экономикалық дамуды талдай отырып, экономикалық өсудің қарқыны мен көздері бойынша қоғамдық өндірісті ірі төрт кезеңге бөлуге болады. Ол 1-кестеде көрсетілген.
кесте Экономикалық өсу кезеңдері мен приоритетті көздері
Түсініктеме: ҚӘБ [6. 263б]
Қазіргі кезде Кеңес одағы ыдырағаннан кейін дүниежүзілік ірі державаның бірінің «ІІІ әлем» елдеріне айланып бара жатқаны мәлім. Ол үшін әртүрлі бағыттар мен мектептердің экономикалық ойлары мен көзқарастарын игеру қажет. Ең алдымен біз үшін теориялық жағынан ғана емес, сонымен бірге тәжірибелік жағынан да қызықтыратын экономикалық өсу модельдеріне қатысты.
Даму - бұл көп өлшемді процесс, ал өз құрамына техникалық экономикалық, әлеуметтік, саяси сферадағы терең түбегейлі өзгерістерді қосады.
Дамушы елдердің әлеуметтік-экономикалық пікіріне швед ғалымы Гуннар Мюрдальдың (1898-1987) еңбегі елеулі әсер етті. Ол батыстың «үшінші әлемді» талдау бағытын сынға алды. Өйткені олардың методологиясын, нәтижесін, дамыған елдердің жобасына дамушы едерге көшіре салу қате деп білді. Іс жүзінде экономикалық анклавты типін - европалық өнеркәсіптің тар секторын құру болса, кең алғанда ішкі емес, сыртқы рынокпен байланысты европалық типтес экономика құруға ұмтылады.
Осы бағытта экономикалық өсудің негізгі элеметтерін сынау қолданылады: нашар дамуды жою үшін технологиялық дамуды шешуші фактор ретінде қарастыру; рынок экономикалық дамудың автоматты реттеушісі ретінде; жоспарлау әлеуметтік мәселелерді шешу құралы ретінде. Шын мәнінде бұл факторлар технологиялық тәуелділіктің күшеюіне, экономиканың дезинтеграциясына, коррупцияның өсуі мен мемлекеттік бюрократизмнің күшеюіне жағдай жасайды.
Өндірістік мәселелерді шешудің қиыншылығы нақты себептерге: нашар тамақтану мен әлсіз денсаулыққа, өмір деңгейінің төмендеуіне; институционалдық жағдайлар мен еңбек рыногының жетілмегендігіне байланысты. Оның ойынша, кейнсиандық бағытты бұл елдерге қолдауға болмайды. Мюрдаль бойынша дамуы төмен болудың себебі - шетелдік капиталдың жетіспеушілігінде емес, еңбек ресурсын толық пайдаланбауда болып табылады.
ІІ - тарау. Экономикалық өсу ел болашағы.
Экономикалық өсудің негізі - өндіріс тиімділігіне талдау.
ҚР индустриялық-инновациялық дамудың 2003-2015жылға арналған стратегиясы бойынша: Экономикалық өсудің негізгі мақсаты болып халықтың материалдық әл-ауқатын көтеру және ұлттық қауіпсіздікті қамтамасыз ету табылады. Материалдық әл-ауқатты көтеру экономикалық өсудің басты мақсаты ретінде келесі негізгі құраушылармен нақтыландырылады:
- Халықтың орташа жан басына шаққандағы табысы. Бұл мақсатқа қол жеткізу өз көрінісін жан басына шаққандағы ұлттық табыстың (ҰТ) өсу қарқынынан табады.
- Бос уақытты көбейту. Бұл мақсат елдің нақты ЖҰӨ немесе ҰТ көрсеткiштерiнде көрiнбейдi, бiрақ қажеттi игiлiктiң бiрi болып табылады. Сондықтанда бұл мақсатты бағалау кезінде жұмыс күнінің немесе аптаның белгілі бір қарастырылып отырған уақытта қысқаруын, қызметкерлердің еңбек қызметтің ұзақтығын ескеру қажет.
- Халықтың әртүрлі әлеуметтік топтары арасында ҰТ-ң бөлінуін жақсарту. Егер нақты ҰТ өсіп, дұрыс бөлінбесе, онда экономикалық өсу халықтың көпшілік бөлігі үшін тиімсіз болар еді, себебі олардың әл-ауқаты бір қалпында қалады немесе одан да нашарлай түседі. Сондықтанда экономикалық даму процесінде әлеуметтік қорғаушылық принципі ұсталынуы керек.
- Өндірілетін тауарлар мен қызметтердің сапасын жақсарту және әртүрлендіру. Бұл көрсеткіш те нақты ҰТ-ға тікелей көрініс алмайды. Бірақ жоғары сапалы және дифференцияцияланған тауарлар тұтынушылық қажеттіліктердің қанағаттандырылу деңгейін жоғарлатады, ол өз кезегінде тауарлар мен қызметтерге шығыстауды көбейтеді, ал олардың жиынтық мөлшері өндірілген ҰТ көлемiн сипаттайды.
Экономикалық өсу мақсаттары өндірушілер мен тұтынушылардың мінез-құлықтың мотивтерін сипаттайды. Өндіруші үшін ұзақ мерзімде экономикалық пайда алу болса, үй шаруашылығы үшін өз әл-ауқатын көтеру. Осы мақсатқа жету үшін олар, біріншіден, табыстарының бір бөлігін жинақтайды, екіншіден, өндіріс факторларының сапасын жақсарту үшін табыстарының бір бөлігін инвестицияға жұмсайды.
Экономикалық өсудің негізгі мақсаттарына қол жеткізу үшін, яғни халықтың әл-ауқатын көтеру үшін, алдымен өндіріс тиімділігіне қол жеткізу қажет.
Кезкелген қоғамда өндіріс қажеттілікті қанағаттандыру үшін қызмет етеді. Қажеттіліктер белсенді өндірістің даму бағыттылығын анықтайды. Халықтың әл-ауқатын, өмір сүру деңгейін жақсарту ең алдымен материалдық қажеттіліктерін (киім, тамақ, баспана, еңбек жағдайы, т. б. ) қанағаттандырудан, яғни материалдық өндірістің дамуынан көрінеді.
Өндірістің маңызды сипаты - бұл тиімділік. Жалпы түрде тиімділікті алынған нәтиже мен шығындар қатынасы арқылы анықтауға болады. Егер кәсіпорын өз қызметін барлық өндіріс факторларының минималды шығынымен жүргізетін болса, онда өсу шаруашылық субъектінің өндірісі тиімді деуге болады.
Өндіріс тиімділігі көбіне өндірістің технологиялық таңдауына тәуелді. Технология өндірістің негізгі факторлары арасындағы өзара әсерді, сонымен қатар ғылым мен тәжірибе арқылы жаңадан ашылған, адамның өндіріс құралдарының механикалық, физикалық және химиялық қасиеттеріне негізделген еңбек затына әсер ету тәселдерін көрсетеді.
Өндіріс тиімділігінің өсуі ресурстың шектеулі кезіндегі экономикалық прогресін сипаттайды. Техникалық прогресс экономикалық өсудің маңызды қозғаушысы болып табылады, мысалы, АҚШ-та ол нақты ұлттық табыстың өсімінің үштен бір бөлігін анықтайды. Техникалық прогресс өз құрамына өндірістің жаңа әдістерін ғана емес, сонымен қатар өндірісті басқару мен ұйымдастырудың жаңа формаларын да қосады. Техникалық прогресс деп соңғы өнім шығару үшін ресурстардың тиімді жаңа комбинациясын жасайтын жаңа білімдерді ашу түсініледі.
... жалғасы- Іс жүргізу
- Автоматтандыру, Техника
- Алғашқы әскери дайындық
- Астрономия
- Ауыл шаруашылығы
- Банк ісі
- Бизнесті бағалау
- Биология
- Бухгалтерлік іс
- Валеология
- Ветеринария
- География
- Геология, Геофизика, Геодезия
- Дін
- Ет, сүт, шарап өнімдері
- Жалпы тарих
- Жер кадастрі, Жылжымайтын мүлік
- Журналистика
- Информатика
- Кеден ісі
- Маркетинг
- Математика, Геометрия
- Медицина
- Мемлекеттік басқару
- Менеджмент
- Мұнай, Газ
- Мұрағат ісі
- Мәдениеттану
- ОБЖ (Основы безопасности жизнедеятельности)
- Педагогика
- Полиграфия
- Психология
- Салық
- Саясаттану
- Сақтандыру
- Сертификаттау, стандарттау
- Социология, Демография
- Спорт
- Статистика
- Тілтану, Филология
- Тарихи тұлғалар
- Тау-кен ісі
- Транспорт
- Туризм
- Физика
- Философия
- Халықаралық қатынастар
- Химия
- Экология, Қоршаған ортаны қорғау
- Экономика
- Экономикалық география
- Электротехника
- Қазақстан тарихы
- Қаржы
- Құрылыс
- Құқық, Криминалистика
- Әдебиет
- Өнер, музыка
- Өнеркәсіп, Өндіріс
Қазақ тілінде жазылған рефераттар, курстық жұмыстар, дипломдық жұмыстар бойынша біздің қор #1 болып табылады.

Ақпарат
Қосымша
Email: info@stud.kz