Еселі интегралдардың қолданулары


Кіріспе
Қазір ғылыми-техникалық есептердің көбінің ойдағыдай шешілуі көп жағдайда электрондық есептеу машиналарын жедел қолдана білуден тәуелді. Осы мақсатқа жету үшін күшті және ыңғайлы, үлкен және шағын әмбебап, дербес компьютерлер ғана емес, жақсы өңделген сәйкес сандық әдістер және олардың программалық алгоритмдері де қажет.
Қазіргі заман талабына сай есептеуіш техника программалау тілінде үлкен көлемді жұмыстарды орындауға мүмкіндік береді. Осының арқасында әр түрлі математикалық есептеулерді шешуде үлкен жетістіктерге жетуге мүмкіндіктер туды.
Дипломдық жұмыста анықталған интегралды шешудің сандық әдістері қарасатырылған.
Дипломдық жұмыстың екінші тарауында анықталған интегралды сандық шешудің әдістеріне зертханалық тапсырмалар және оларды шешу мысалдары қарастырылған. Мысалдар бойынша алынған нәтижелер мен программаны орындау барысында алынған тестілік (тексеруші) нәтижелер арасында салыстырулар жүргізілген.
1. ИНТЕГРАЛДЫ ЕСЕПТЕУДІҢ ТЕОРИЯЛЫҚ НЕГІЗДЕРІ
1. 1 Анықталмаған интеграл
1. Тікелей интегралдау. Айнымалыларды алмастыру және
бөлшектеп интегралдау.
Егер
немесе
болса, онда
функциясы
функциясы үшін алғашқы функция деп аталады.
Егер
функциясы
функциясының алғашқы функциясы болса, онда шексіз көп алғашқы функциялары болады. Сонымен бірге, барлық алғашқы функциялар
(
- тұрақты сан) өрнегіне кіреді.
Анықтама.
Барлық алғашқы функциялардың жиынтығы
функциясынан (немесе
өрнегінен) алынған
анықталмаған интеграл
деп аталады. Ол былай белгіленеді:
.
Мұндағы
- интеграл белгісі,
- интеграл астындағы функция,
- интеграл астындағы өрнек,
-интегралдау айнымалысы.
Анықталмаған интегалды іздеу процесі функцияны интералдау деп аталады.
Анықталмаған интералдың қасиеттері (интегралдау ережелері) .
1)
.
2)
.
3)
.
4)
, мұнда
-тұрақты сан.
5)
.
6) Егер
және
болса, онда
болады.
Негізгі интегралдардың кестесі
1.
. 9.
.
2.
. 10.
3.
. 11.
.
4.
. 12.
.
5.
13.
.
6.
. 14.
.
7.
. 15.
8.
.
Анықталмаған интегралда айнымалыларды алмастыру
Анықталмаған интегралда айнымалыларды алмастыру екі түрлі болады:
1)
, мұнда
-
айнымалысына тәуелді монотонды, үзіліссіз дифференциалданатын жаңа функция. Бұл жағдайда айнымалыларды алмастыру формуласы мынадай болады:
;
2)
, мұнда
- жаңа айнымалы. Бұл жағдайда айнымалыларды алмастыру формуласы мынадай болады:
.
Негізгі интегралдардың кестесін келесі формулалармен
толықтырайық:
16.
.
17.
.
18.
.
19.
.
20.
.
21.
.
22.
.
23.
.
24.
. 25.
.
Бөлшектеп интегралдау .
Функцияны бөлшектеп интегралдау келесі формула арқылы жүргізіледі:
,
мұнда
,
-үзіліссіз интегралданатн
-тен тәуелді функциялар. Бұл формуланың көмегімен
интегралын табу басқа бір
интегралды іздеуге әкеліп соғады.
Мұнда
ретінде дифференциалдау кезінде жеңілдейтін функция алынады, ал
ретінде интеграл астындағы өрнектің интегралы белгілі немесе оңай табылатын бөлігі алынады.
Мысалы,
,
,
, мұнда
-көпмүшелік түрінде берілген интегралдар үшін
ретінде
-ті,
ретінде сәйкесінше
,
,
өрнектерін алған дұрыс болады.
,
,
түріндегі интегралдар үшін
ретінде сәйкесінше
,
,
функцияларын, ал
ретінде
өрнегін алған ыңғайлы болады.
2. Рационал бөлшектерді интегралдау.
Анықтама.
, мұнда
,
-көпмүшеліктер, түріндегі бөлшек
рационал бөлшек
деп аталады.
Егер
көпмүшелігінің дәрежесі
көпмүшелігінің дәрежесінен төмен болса, онда рационал бөлшек дұрыс деп аталады, ал кері жағдайда бұрыс бөлшек деп аталады.
Ең қарапайым (элементар) бөлшектер деп келесі түрдегі дұрыс бөлшектер айтылады:
1.
;
2.
, мұнда
- 1-ден үлкен бүтін сан.
3.
, мұнда
, яғни
квадрат үшмүшелігінің нақты түбірлері жоқ.
4.
, мұнда
- 1-ден үлкен бүтін сан және
квадрат үшмүшелігінің нақты түбірлері жоқ.
Барлық төрт жағдайда
- нақты сандар деп жорамалдаймыз.
Бұл қарапайым бөлшектердің алғашқы үш түрінен алынған интегралдарды қарастырайық:
1.
;
2.
;
3.
.
Шынында,
немесе
,
мұнда
,
, осыдан
.
Рационал бөлшектерді қарапайым бөлшектерге жіктеу арқылы
интегралдау.
рационал бөлшекті интнгралдамас бұрын келесі алгебралық түрлентірулер мен есептеулер жүргізу керек:
- Егер бұрыс рационал бөлшек берілсе, онда оның сол жағын бөліп алу керек, яғни келесі тгге келтіру керек:
,
мұнда
-көпмүшелік, ал
-дұрыс рационал бөлшек;
2) бөлшектің бөлімін сызықтық және квадраттық көпмүшеліктерге жіктеу керек:
мұнда
, яғни
үшмүшелігінің комплексті түйіндес түбірлері бар.
3) дұрыс рационал бөлшекті қарапайым бөлшектерге жіктеу керек:
4)
анықталмаған коэффициенттерін есептеу керек. Ол үшін соңғы теңдікті ортақ бөлімге келтіріп, алынған теңтіктің оң және сол жағындағы
-тің бірдей дәрежесінің алдындағы коэффициенттерді теңестіріп, одан кейін сызықтық теңдеулер системасын шешу керек.
,
мұнда
-рационал функция, түріндегі интеграл
.
алмастыруының көмегімен көрсетілген түрдегі интеграл рационал ыункциядан алынатын интегралға келтіріледі,
,
.
3. Қарапайым иррационал функцияларды интегралдау.
1)
,
-
рационал функция,
-бүтін сандар, түріндегі интегралдар.
,
мұнда
-
-
сандарының ең кіші ортақ бөлімі, алмастыруының көмегімен берілген интеграл рационал функциядан алынатын интегралға айналады.
2)
түріндегі интегралдар. Мұндай интегралдар квадрат үшмүшеліктен толық квадратты бөліп алу арқылы 20 немесе 21-ші кестелік интегралдарға келтіріледі.
3)
түріндегі интегралдар. Бұл интегралды табу үшін бөлшектің алымына бөлшектің бөлімінде түбір астында тұрған үшмүшеліктің туындысын есептеп жазамыз, одан кейін интегралды екі интегралдың қосындысына жіктейміз:
4)
түріндегі интегралдар.
алмастыуын жасағаннан кейін интеграл 9. 2 пункте қарастырылған интегралға келтірідеді.
5)
, мұндағы
-
-ші дәрежелі көпмүшелік, түріндегі интегралдар. түріндегі интегралдар. Мұндай интегралдар келесі теңдіктің көмегімен табылады:
,
мұнда
-коэффициенттері анықталмаған
-ші дәрежелі көпмүшелік,
-сан.
Көрсетілген теңдікті дифференциалдап, нәтижесін ортақ бөлімге келтіріп екі көпмүшеліктен тұратын теңдік аламыз. Одан
көпмүшелігінің коэффициенттері мен
санын анықтауға болады.
6) Дифференциалдық биномдардан алынған интеграл
, мұнда
-рационал сандар.
П. Л. Чебышев дәлелдегендей, дифференциалдық биномдардан алынатын интеграл тек қана келесі үш жағдайда ғана элементар функциялар арқылы өрнектеледі:
1)
-бүтін сан, онда берілген интеграл
алмастыруының көмегімен рационал функциядан алынатын интегралға келтіріледі,
-
мен
-нің ең кіші ортақ еселігі. .
2)
-бүтін сан, бұл жағдайда берілген интеграл
алмастыруының көмегімен рационал функциядан алынатын интегралға келтіріледі.
3)
-бүтін сан, бұл жағдайда берілген интеграл
, мұнда
-
бөлшегінің бөлімі, алмастыруының көмегімен рационал функциядан алынатын интегралға келтіріледі.
4. Тригонометриялық функцияларды интегралдау
1)
, мұнда
-рационал функция, түріндегі интегралдар. Бұл түрдегі интегралдар жан-жақты деп аталатын
тригонометриялық алмастыруының көмегімен рационал функциядан алынатын интегралға келтіріледі. Нәтижесінде алатынымыз:
;
;
;
.
жан-жақты алмастыруы көп жағдайларда күрделі есептеулерге әкеліп соғады, себебі оны қолданғанда
пен
арқылы
кіретін рационал бөлшектер түрінде өрнектеледі. Кейбір дербес жағдайларда
түріндегі иншгралдарды есептеу жеңілдетіледі.
1. Егер
-
-ке қатысты тақ функция болса, яғни
болса, онда
алмастыруын жасау арқылы берілген интеграл рационал функциядан алынатын интегралға келтіріледі.
2. Егер
-
-ке қатысты тақ функция болса, яғни
болса, онда
алмастыруын жасау арқылы берілген интеграл рационал функциядан алынатын интегралға келтіріледі.
3. Егер
-
және
-ке қатысты жұпфункция болса, яғни
болса, онда
алмастыруын жасау арқылы берілген интеграл рационал функциядан алынатын интегралға келтіріледі.
2)
түріндегі интегралдар. Мұнда маңызды болып саналатын екі жағдайды қарастырамыз.
1-жағдай.
және
көрсеткіштерінің ең болмағанда біреуі оң тақ сан. Егер
- оң тақ сан болса, онда
алмастыруы қолданылады, ал егер
оң тақ сан болса, онда
алмастыруы қолданылады.
2-жағдай
.
және
көрсеткіштерінің екеуі де оң жұп сандар болса, онда интеграл астындағы функцияны келесі формулалардың көмегімен түрлендіру керек:
,
,
.
3)
және
түріндегі интегралдар,
-оң бүтін сан. Мұндай мнтегралдарды іздеген кезде
(немесе
) формулалары қолданылады. Оның көмегімен тангенс пен котангенстің дәрежелері біртіндеп төмендетіледі.
4)
және
түріндегі интегралдар,
-оң жұпсан. Мұндай интегралдар 3 пункте көрсетілген интегралдар сияқты
(немесе
) формулаларынң көмегімен есептеледі.
5)
және
түріндегі интегралдар. Мұнда келесі рекурентті формулаларды пайдалану керек:
1.
,
2.
.
6)
,
,
түріндегі интегралдар.
,
,
тригонометриялық формулалары тригонометриялық функциялардың көбейтіндісін қосынды түрінде өрнектеуге мүмкіндік береді.
7) Тригонометриялық алмастырулар.
,
,
түріндегі интегралдар тиісті тригонометриялық алмастырулардың көмегімен
және
функцияларына қатысты рационал функциядан алынатын интегралға келтіріледі: бірінші интеграл үшін
(немесе
), екінші интеграл үшін
(немесе
) және үшінші интеграл үшін
(немесе
) .
1. 2 Анықталған интеграл
1. Интегралдық қосындылар және анықталған интеграл
Айталық,
функциясы
сегментінде
анықталған болсын.
сегментін
нүктелерімен еркінше
дербес сегменттерге бөлшектеуді
немесе
символымен белгілейік.
болсын. Әрбір
сегментінде
қалауымызша таңдап алып келесі қосындыны құрайық:
(1)
Анықтама.
саны
функциясының
бөлшектеуіне және
сегменттерінен
қалауымызша таңдапалуға сәйкес
Риман интегралдық қосындысы
деп аталады.
белгілеуін енгізейік, бұл бөлшектеудің ұсаұтығы деп аталады.
Анықтама.
Егер
үшін барлық
бөлшектеуіндегі
болатындай
саны табылып
аралығында қалауымызша алынған кез келген
нүктесі үшін
теңсіздігі орындалса, онда
ұмтылғанда
интегралдық қосындының шегі деп аталады, яғни
болады.
Анықтама.
Егер
табылса, онда
функциясы
сегментінде Риман бойынша интегралданады дейді және де
саны
функциясының
сегменті бойынша Риман (анықталған) интегралы деп аталады және ол былай белгіленеді:
(2)
және
сандары интегралдаудың сйкесінше төменгі және жоғарғы шектері деп аталады.
Геометриялық тұрғыдан алғанда, егер
кесіндісінде
болса, онда
интегралы
,
,
,
қисықтарымен шектелген фигура - қисық сызықты трапецияның ауданын анықтайды.
2. Жоғарғы және төменгі Дарбу қосындылары
функциясы
сегментінде анықталған және шенелген болсын. Еркінше
бөлшектеу
үшін
,
белгілеулерін енгізейік
және келесі қосындыларды қарастырайық:
,
,
.
және
сандары берілген
бөлшектеуіне сәйкес
функциясының төменгі және жоғарғы Дарбу қосындылары деп аталады.
Белгілі бір бөлшектеу
және осы бөлшектеудегі кез келген аралық нүктелер үшін
.
Дарбу қосындыларының қасиеттері
1) Кез келген белгілі бір бөлшектеу үшін
нүктелерінің барлық жиындары бойынша
,
.
2) Егер
бөлшектеуі
бөлшектеуінен бірнеше нүктелерді қосу арқылы алынса (яғни
-ді ұсақтау арқылы алынса), онда
бөлшектеуінің
төменгі қосындысы
бөлшектеуінің
төменгі қосындысынан кем емес, ал
бөлшектеуінің
жоғарғы қосындысы
бөлшектеуінің
жоғарғы қосындысынан артық емес:
,
.
3) Еркінше бөлшектеудің төменгі қосындысы кез келген басқа бөлшектеудің жоғарғы қосындысынан аспайды.
4)
және
- кез келген бөлшектеу
үшін барлық төменгі және жоғарғы қосындылардың жиыны болсын, онда барлық бөлшектеулер бойынша
,
сандары сәйкес жоғарғы және төменгі Дарбу интегралдары деп аталады. Төменгі Дарбу интегралы жоғарғы Дарбу интегралынан аспайды.
5) Дарбу леммасы.
,
.
Теорема.
сегментінде шенелген
функциясы осы сегментте интегралданатын болуы үшін
болуы қажет және жеткілікті.
3. Анықталған интегралдардың қасиеттері
1) Анықтама бойынша
2) Анықтама бойынша
3)
Интегралдың сызықтығы.
Егер
және
функциялары
кесіндісінде интегралданатын болса,
және
кез келген нақты сандар болса, онда
функциясы да
кесіндісінде интегралданадыжәне де төмендегідей анықталады:
.
4) Егер
функциясы
кесіндісінде интегралданса, онда
функциясы да
кесіндісінде интегралданады және де
.
5) Егер
және
функциялары
кесіндісінде интегралданса, онда
функциясы да
кесіндісінде интегралданады.
6) Егер
функциясы
кесіндісінде интегралданса, онда ол кез келген
кесіндісінде интегралданады.
7)
Интегралдың аддитивтігі.
Егер
функциясы
кесіндісінде интегралданатын болса және
болса, онда
.
8) Егер
функциясы
кесіндісінде интегралданатын болса және
болса, онда
.
9) Егер
үшін
және
функциялары
кесіндісінде интегралданатын болса және
болса, он да
.
10) Егер
функциясы
сегментінде үзіліссіз болса,
және ос ы
сегментінде
болса, онда
теңсіздігін қанағаттандыратын
саны табылады.
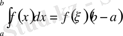
4. Орта мән туралы теорема.
1-теорема.
Айталық, Егер
және
функциялары
кесіндісінде интегралданатын болсын,
үшін
,
,
болсын, онда
(3)
теңдеуін қанағаттандыратын
саны табылады.
1-салдар
. Егер (3) формулада
десек, онда
, мұнда
.
саны
функциясының
сегментіндегі орта мәні деп аталады, яғни
болса, онда
сегментінде
орындалады.
2-салдар.
Егер 1-теореманың шарттары орындалса және
функциясы үзіліссіз болса, онда
теңдігін қанағаттандыратын
саны табылады.
3-салдар.
Егер
функциясы
сегментінде үзіліссіз болса, онда
теңдігін қанағаттандыратын
саны табылады.
5. Жоғарғы шегі айнымалы анықталған интеграл
функциясы
сегментінде интегралданатын болсын,
функциясы жоғарғы шегі айнымалы интеграл деп аталады.
Теорема.
сегментінде үзіліссіз
функциясының осы сегментте алғашқы функциясы болады. Ол алғашқы функциялардың бірі:
(4)
Ескерту.
Жоғарғы шегі айнымалы интеграл кез келген
сегментінде интегралданатын
функциясы үшін анықталады, бірақ (4) түрде
функциясы
функциясының алғашқы функциясы болу үшін,
функциясы үзіліссіз болу керек.
Енді интегралданатын функцияның алғашқы функциясы болмайтынын көрсететін мысал келтірейік:
Бұл функция
сегментінде интегралданады, бірақ оның алғашқы функциясы болмайды.
Анықтама.
Егер 1)
функциясы
сегментінде үзіліссіз, 2)
функциясының үзіліссіздік нүктелерінде
болса, онда
функциясы
функциясының
сегментіндегі алғашқы функциясы деп аталады.
6. Анықталған интегралды есептеу ережелері
1) Ньютон-Лейбниц формуласы:
, мұнда
-
функциясының алғашқы функциясы, яғни
.
2) Айнымалыларды алмастырып интегралдау.
а)
функциясы
сегментінде анықталған және үзіліссіз болсын;
б)
функциясы
сегментінде өзінің туындысымен бірге анықталған және үзіліссіз болсын, мұнда
және
болсын. Сонда
.
3) Бөліктеп интегралдау.
Егер
және
функцияларының
сегментінде үзіліссіз туындылары бар болса, онда
.
4) Егер
тақ функция, яғни
болса, онда
. Егер
жұп функция, яғни
болса, онда
.
1. 3 Анықталған интегралдың қолданулары
1. Доғаның ұзындығын есептеу
Егер
кесіндісінде берілген
қисығы жатық болса (яғни
туындысы үзіліссіз), онда осы қисықтың сәйкес доғасының ұзындығы келесі формула бойынша есептеледі:
.
Егер қисық параметрлі түрде берілсе, яғни
(
-үзіліссіз дифференциалданатын функциялар), онда доғаның
параметрінің
-ден
-ге дейін монотонды өзгеруіне сәйкес келетін ұзындығы мына формула бойынша есептеледі:
.
Егер
жатық(тегіс) қисық полярлық координаталар арқылы берілсе, онда доғаның ұзындығы
болады.
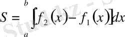
2. Жазық фигураның ауданын есептеу
қисығымен,
және
түзулерімен және
осінің
кесіндісімен шектелген қисық сызықты трапецияның ауданы келесі формула бойынша есептеледі:
және
қисықтарымен және
және
түзулерімен шектелген фигураның ауданы келесі формула бойынша есептеледі:
.
Егер қисық
және
параметрлік теңдеулерімен берілсе, онда
,
түзулерімен және
осінің
кесіндісімен шектелген қисық сызықты трапецияның ауданы келесі формуламен өрнектеледі:
мұнда
және
,
теңдеулерімен анықталады,
.
Полярлық координаталар арқылы берілген
теңдеуімен және
екі полярлық радиустармен берілген қисық сызықты сектордың ауданы келесі формула бойынша есептеледі:
3. Қисықтың айналуынан пайда болған беттердің ауданын есептеу.
Егер
тегіс қисығының доғасы
осінен айналса, онда айналудан пайда болған беттің ауданы келесі формуламен есептеледі:
.
Егер қисық
және
параметрік теңдеулерімен берілсе, онда
.
4. Денелердің көлемін табу
а) Көлденең қимасының ауданы бойынша дененің көлемін есептеу
Егер дененің
осіне перпендикуляр жазықтықпен қиғандағы көлденең қимасының ауданын
-ке байланысты функция ретінде өрнектеуге болса, яғни
, онда
және
осіне перпендикуляр екі жазықтықтың арасында жатқан дене бөлігінің көлемі төмендегі формула арқылы табылады:
.
б) Айналу денесінің көлемін есептеу
Егер
қисығымен және
,
,
түзулерімен шектелген трапеция
осінен айналса, онда айналу денесінің көлемі келесі формуламен есептеледі:
. ер
және
қисықтарымен және
,
түзулерімен шектелген фигура
осінен айналса, онда айналу денесінің көлемі төмендегідей болады:
.
5. Физикалық және механикалық есептер
а) Жазық доғалар мен фигуралардың статикалақ моменттері
және инерциялық моменті.
Айталық,
жазықтығында массалары
болатын
,
, . . . ,
материялық нүктелер жүйесі берілсін. Осы жүйенің
осіне қатысты статикалық моменті
деп осы нүктелердің массаларының олардың ординаталарына көбейтінділерінің қосындысын айтады:
.
Осылайша жүйенің
осіне қатысты статикалық моменті
анықталады:
.
Жүйенің
және
осьтеріне қатысты
және
инерциялық моменттері деп нүктелердің массаларының олардың сәйкес осьтен қашықтықтарының квадратына көбейтінділерінің қосындыларын айтады. Сонымен,
,
.
тегіс қисығының доғасының статикалық моменті мен инерция моменті келесі формулалар бойынша есептеледі:
,
,
,
.
мұнда
- қисық доғасының дифференциалы.
қисығымен
осімен және
,
түзулерімен шектелген қисық сызықты трапецияның статикалық моменті мен инерция моменті келесі формулалар бойынша есептеледі:
,
,
,
.
Бұл формулалардағы
- қисық сызықты трапецияның ауданының дифференциалы.
б) Ауырлық центрінің координаталарын табу
жазық қисығының біртекті доғасының ауырлық центрінің координаталары келесі формулалар бойынша өрнектеледі:
,
,
Мұнда
, ал
-доғаның ұзындығы.
Қисық сызықты трапецияның ауырлық центрінің координаталары келесі формулалар бойынша есептеледі:
,
,
мұнда
, ал
-фигураның ауданы.
МЕНШІКСІЗ ИНТЕГРАЛДАР
1. Негізгі ұғымдар
Меншіксіз интегралдар деп 1) шектері шексіз интегралдарды 2) шексіз функциялардан алынған интегралдарды айтады.
функциясының
-дан
-ке дейінгі меншіксіз интеграл
формуласы бойынша есептелінеді.
Егер бұл шек анықталса және ақырлы болса, онда меншіксіз интеграл жинақталады дейді, ал егер шек табылмаса немесе шексіздікке тең болса, онда жинақталмайды дейді. Сол сиқты
;
.
Егер
функциясы
кесіндісінің
нүктесінде шексіз үзілісті болса және
және
болғанда үзіліссіз болса, онда анықтама бойынша
.
Егер теңдіктің оң жағындағы екі шек те табылса, онда
(мұнда
) меншіксіз интегралы жинақталады дейді, ал егер бұл шектердің ең болмағанда біреуі табылмаса, онда жинақталмайды дейді.
2. Салыстыру белгілері
Меншіксіз интегралдардың жинақтылығын зерттеген кезде келесі салыстыру белгілерінің біреуін пайдаланады:
1. Егер барлық
үшін
және
функциялары анықталса және
кесіндісінде интегралданса, мұнда
және барлық
үшін
болса, онда
интегралының жинақтылығынан
интегралының жинақтылығы шығады және де
.
2. (а) Егер
кезде
функциясы
-пен салыстырғанда
ретті шексіз аз шама болса, онда
интегралы
болғанда жинақталады және
болғанда жинақталмайды.
(б) Егер
функциясы
аралығында анықталған және үзіліссіз болса және
кезде
-пен салыстырғанда
ретті шексіз үлкен шама болса, онда
интегралы
болған кезде жинақталады, ал
болған кезде жинақталмайды.
Мысалы, 1)
- есептеңіз.
Шешуі:
, яғни меншіксіз интеграл жинақталады.
2)
- есептеңіз
Шешуі: Интеграл астындағы функция жұп, сондықтан
. Сонда
.
Олай болса,
, яғни меншіксіз интеграл жинақталады.
3)
- есептеңіз.
Интеграл астындағы функция
нүктесінде шексіз. Сондықтан,
. Демек, меншіксіз интеграл жинақтамайды.
Еселі интегралдардың қолданулары.
Қисық сызықты интегралдар.
1. Тікбұрышты координаталармен берілген екі еселі интеграл
Айталық,
функциясы
жазықтығының
шенелген облысында анықталсын.
облысын аудандары
және диаметрлері
(лблыстың диаметрі деп осы облыстың шекарасының ең қашақ екі нүктесінің арасының ұзындығын айтады) болатын "
" облыстарға бөлшектейік. Әрбір элементар облыста кез келген
нүктесін таңдап алайық және функцияның
нүктесіндегі мәнін осы облыстың ауданына көбейтейік.
функциясы үшін
облысы бойынша
интегралдық қосынды
деп келесі қосындыны айтады:
(1)
Егер
ұмтылғанда интегралдық қосындының
облысын элементар бөлшектерге бөлу әдісінен және осы облыста
нүктелерін таңдап алудан тәуелсі анықталған ақырлы шегі болса, яғни
(2)
онда бұл шек
облысындағы
функциясының
екі еселі интегралы
деп аталады және былай белгіленеді:
(3)
Ескерту. Егер
облысында
болса, онда
екі еселі интеграл - жоғарыдан
бетімен, бүйірінен құраушылары
осімен параллель болатвн цилиндрлік бетпен және төменнен
жазақтығының
облысымен шектелген цилиндрлік дененің көлеміне тең болады.
Екі еселі интегралдың негізгі қасиеттері
.
.
, мұнда
- тұрақты сан.
. Егер
интегралдау облысы
және
облыстарына бөлінсе, онда
.
Екі еселі интегралды бағалау.
Егер
болса, онда
, мұнда
-
облысының ауданы, ал
және
-
функциясының
облысындағы сәйкес ең кіші және ең үлкен мәндері.
Екі еселі интегралдарды есептеу ережелері
Интегралдау облысының негізгі екі түрі болады.
1.
интегралдау облысы сол жақтан және оң жақтан
,
түзулерімен, ал төменнен және жоғарыдан әрқайсысы вертикаль түзумен тек бір нүктеде қиылысатын
және
үзіліссіз қисықтармен шектелген.
Мұндай облыс үшін екі еселі интеграл келесі формула бойынша есептеледі:
және де алдымен ішкі интеграл
,
-ті тұрақты деп алып есептеледі.
2.
интегралдау облысы төменнен және жоғарыдан
және
түзулерімен, ал сол жақтан және оң жақтан әрқайсысы горизонталь түзумен тек бір нүктеде қиылысатын үзіліссіз
және
қисықтарымен шектелген.
Мұндай облыс үшін екі еселі интеграл келесі формула бойынша есептеледі:
және де алдымен ішкі интеграл
,
-ті тұрақты деп алып есептеледі.
Көрсетілген формулалардың оң жақтары қайталанбалы интегралдар деп аталады. Жалпы жағдайда интегралдау облысы бөлшектеу жолымен жоғарыдағы негізгі интегралдарға келтіріледі
2. Екі еселі интегралда айнымалыларды ауыстыру
Полярлық координаталардағы екі еселі интеграл.
тікбұрышты координаталарымен берілген екі еселі интегралды тікбұрышты координаталармен
өрнектері арқылы байланысатын
полярлық координаталарға көшіру келесі формула бойынша іске асырылады:
.
Егер
интегралдау облысы полюстен басталатын
сәулелерімен және
қисықтарымен (мұнда
және
-
және
болғанда бірмәнді функциялар) шектелсе, онда екі еселі интеграл келесі формула бойынша есептеледі:
мұнда
және де алдымен ішкі интеграл
,
-ны тұрақты деп алып есептеледі.
Қисық сызықты координаталардағы екі еселі интеграл.
Айталық екі еселі интеграл
тікбұрышты координаталардан, осы тікбұрышты координаталармен
өрнектері арқылы байланысатын
қисық сызықты координаталарға ауыстырылсын, мұнда
және
функцияларының
жазықтығының
облысында үзіліссіз дербес туындылары бар және түрлендірудің якобиан деп аталатын анықтауышы
облысында нөлге тең емес:
- Іс жүргізу
- Автоматтандыру, Техника
- Алғашқы әскери дайындық
- Астрономия
- Ауыл шаруашылығы
- Банк ісі
- Бизнесті бағалау
- Биология
- Бухгалтерлік іс
- Валеология
- Ветеринария
- География
- Геология, Геофизика, Геодезия
- Дін
- Ет, сүт, шарап өнімдері
- Жалпы тарих
- Жер кадастрі, Жылжымайтын мүлік
- Журналистика
- Информатика
- Кеден ісі
- Маркетинг
- Математика, Геометрия
- Медицина
- Мемлекеттік басқару
- Менеджмент
- Мұнай, Газ
- Мұрағат ісі
- Мәдениеттану
- ОБЖ (Основы безопасности жизнедеятельности)
- Педагогика
- Полиграфия
- Психология
- Салық
- Саясаттану
- Сақтандыру
- Сертификаттау, стандарттау
- Социология, Демография
- Спорт
- Статистика
- Тілтану, Филология
- Тарихи тұлғалар
- Тау-кен ісі
- Транспорт
- Туризм
- Физика
- Философия
- Халықаралық қатынастар
- Химия
- Экология, Қоршаған ортаны қорғау
- Экономика
- Экономикалық география
- Электротехника
- Қазақстан тарихы
- Қаржы
- Құрылыс
- Құқық, Криминалистика
- Әдебиет
- Өнер, музыка
- Өнеркәсіп, Өндіріс
Қазақ тілінде жазылған рефераттар, курстық жұмыстар, дипломдық жұмыстар бойынша біздің қор #1 болып табылады.

Ақпарат
Қосымша
Email: info@stud.kz