Екі вектордың векторлық көбейтіндісі


Әл-Фараби атындағы Қазақ Ұлттық Университеті
Факультеті: «Физика-техникалық»
Кафедрасы: «Физика»
РЕФЕРАТ
Тақырыбы: Векторлар және оларға қолданылатын операциялар: қосу, алу, көбейту, проекцияларын табу. Векторлардың туындысы.
Орындаған: Зиябек Нұршат
Тексерген: Турмухамбетов А. Ж.
Алматы 2020
Жоспар:
- Вектор ұғымы және шығу тегі
- Векторлар туралы жалпылама түсінік және оларға сызықтық амалдар қолдану
- Векторлық әдісті есептерді шығаруға қолдану
- Пайдаланылған әдебиеттер
Вектор ұғымы және шығу тегі
Векторлар техника ғылымдарының қауырт дамуына байланысты XVIII ғасырда бастау алып, XIX ғасырдың жартысында есептеудің талапқа сай жаңа түрін іздестіру барысында дүниеге келді. Векторлық есептеулердің жасы «жас» болғанымен бастау көзі сонау ерте заман данышпаны Аристотельдің «Механикалық проблемалар» атты еңбегінде кездеседі. Аристотель бұл еңбегінде бір нүктеге түсірілген және өзара бұрыш жасай бағытталған екі күштің әсерінен жүрген жолын табуды екінші мәселе етіп қойды.
XVIII ғасырда Аристотельдің «қозғалыстар параллелограмы» қайтадан жандана түсті. Галилео Галилей күш және оның денені қозғайтын құраушысының арасындағы метрикалық байланысты зерттеді. Оның еңбектеріне қарап, Галилейдің тең әсерлі күш, қорытқы жылдамдық ұғымдарына өте жақын, қапталдас келгенін көруге болады.
Ағылшын математигі, әрі физигі Исаак Ньютон қозғалыстарды жасауға алғаш рет «параллелограмм ережесін» пайдаланады. Неміс математигі Готфрид Вильгельм Лейбниц геометриялық есептеудің идеясын берді, бірақ дамытпады.
Механикадағы векторлық алгебраның негізін қалаушы Джон Валлис механикадағы геометриялық аппарат жасауға жаңа қадам жасады. Ол екі үш күштің әсерлі және қорытқы жылдамдығын анықтауға колданылатын «параллелограмм ережесін» берді. Күштерді, жылдамдықтарды қосу, жіктеу, векторларды санға көбейту амалдарын алғаш рет берген де осы адам. Сонымен векторлық алгебраның негізін қалаған оқымысты - Джон Валлис. Дәл осы бағытта аса табысты еңбек еткен Л. Карно. Ол «қозғалыстың геометриялық теориясын» жасау мәселесін көтеру және қазір пайдаланып отырған векторлық есептеудің символдық аппаратын жасап шықты.
Монж-Понселле мектебінің көрнекті өкілі Бара де Сен-Венан серпімділік теориясындағы, гидродинамикадағы, термодинамикада, жалпы механикадағы тамаша еңбектерімен физиктер мен механиктер арасындағы аса танымал тұлға еді. Сен-Венан векторлық есептеулер саласына қомақты үлес қосты, механикада қолданылатын векторлық аппаратты жетілдіруде жемісті еңбек етті.
Д. Валлис, Л. Карно, Сен-Венан - бұлар векторлық алгебра және векторлық анализдің ұғымдарын ғылымға енгізді. Олар механикаға қажетті геометриялық аппарат жасау жолында жемісті еңбек етті. Бірақ векторлық есептеулердің негізін салушылар Ирландия математигі, астрономы Уильям Гамильтон және неміс физигі, математигі Герман Грассман деп айтылып жүр.
1844 жылы У. Гамильтон векторлық есептеулерге арналған алғашқы мақалалары және Г. Грассманның «Учение о претяженности» атты көлемді еңбегі жарияланды. 1853 жылы Гамильтонның «Лекции о кватерлонах» атты еңбегі жарық көрді. Бұлардың әрқайсысы есептеудің жаңа әрі әмбебап түрін жасады, векторлық есептеулерге көп еңбек сіңірді. «Вектор» ұғымын 1846 жылы ғылымға енгізген Гамильтон болды.
Векторлар қолдануларға өте бай. Бірақ ең алдымен вектор дегеніміз не? Вектор дегеніміз - өлшемімен ғана емес, бағытымен де сипатталатын және геометриялық қосу ережесіне бағынатын шамаларды айтамыз. Вектор латын сөзінен шыққан «ілестіру», «сүйреу», «тарту» деген мағынаны білдіреді. Сызбада вектор стрелкамен кескінделеді. Стрелка басынан ұшына қараған бағытын анықтайды. АВ векторының ұзындығын АВ векторының модулі немесе абсолют шамасы деп атайды және оны │АВ│арқылы белгілейді.
Екі вектордың қосындысы вектор болады, ол қосындыны екі әдіспен табуға болады: бірі - үшбұрыш әдісі, екіншісі - параллелограмм әдісі.
Бұл біздің вектор туралы негізгі мәліметтеріміз. Ал қазір вектор жайлы көбірек айтуға және вектордың қолдануларына анағұрлым тереңірек мысалдарды, есептерді қарастырамыз[2] .
Анықтама: Вектор дегеніміз бағытталған және басы мен соңы көрсетілген кесінді.
Сонымен, вектор ұзындығы және бағытымен анықталатын геометриялық құрылым. Егер А вектордың бастапқы, В соңғы нүктесі (немесе ұшы) болса, оны
арқылы белгілейді. Вектордың бағыты басынан ұшына қарай алынады.
В
А
1-сурет. Бағытталған кесінді
Анықтама:
Вектордың модулі немесе ұзындығы деп, оның басы мен ұшының ара қашықтығын айтады.
векторының модулі
не жай ғана АВ арқылы белгіленеді.
Вектор үш түрге бөлінеді: байламды вектор, сырғымалы вектор, еркін вектор.
Байламды вектор деп бастапқы нүктесі белгілі бір нүктеге бекітілген, одан басқа нүктеге көшіруге болмайтын векторды айтады. Мысалы, күш белгілі бір нүктеге байланысты болса, онда оны басқа жерге көшіруге болмайды.
Сырғымалы вектор деп бір түзудің бойымен жылжитын векторды айтады. Мысалы, қатты затқа әсер ететін күш немесе жылдамдық сырғымалы вектор болып табылады. Мұндай вектор өзі орналасқан түзудің бойындағы кез келген нүктеге көшіріледі, ал одан басқа түзудің бойындағы нүктеге көшіруге болмайды.
Еркін вектор деп сол вектор жатқан түзудің бойымен жылжытуға болатын және өзіне өзі параллель көшірілетін векторды айтады, яғни вектордың бастапқы нүктесі кеңістіктегі кез келген бір нүктеге көшірілетін болса, ондай вектор деп аталады. Механикада, физикада векторлардың осы үш түрі де кездеседі, ал аналитикалық геометрияда әрқашанда еркін векторлар қолданылады.
Бастапқы нүктесі мен соңғы нүктесі беттесетін векторларды нөдік вектор дейді де,
арқылы белгілейді. Нөлдік вектордың белгілі бір бағыты болмайды, ал ұзындығы нөлге тең болады, яғни
Анықтама: Бір түзуде немесе параллель түзулерде жататын векторларды коллинеар векторлар деп аталады.
Коллинеар векторлар не бағыттас не қарама қарсы бағытта болады. Егер
мен
бағыттас векторлар болса
, қарама қарсы бағытта болса
арқылы, коллинеар болса
арқылы белгіленеді. Нөлдік вектор кез келген векторға бағыттас болады.
Анықтама: Нөлдік емес векторлардың бағыттары бірдей, ұзындықтары тең болса, онда олар тең векторлар делінеді. Барлық нөлдік векторлар тең деп саналады.
Сонымен
болса, онда біріншіден
, екіншіден
, үшіншіден
болуы керек.
мен
векторлар өзара тең болмайды, оларды бір біріне қарама қарсы векторлар дейді. Олар үшін
теңдігі дұрыс болады.
Векторлардың теңдігінің анықтамасынан мынадай тұжырымдар шығады:
- Векторларды кеңістіктің кез келген нүктесіне көшіруге болады. Сондықтан да аналитикалық геометрияда еркін вектолар қарастырылады;
- Коллинеар векторларды бір түзуге көшіруге болады;
- Кез келген екі векторды бір жазықтықта жататындай етіп көшіруге болады;
- векторы мен О нүктесі үшінболатын тек бір ғана М нүктесі болады. М нүктесін осылайша салувекторын О нүктеден өлшеп салу делінеді.
В
М
А
О
2-сурет. Параллелограм
Егер
вектор О нүктеден өлшеп салынған болса немесе
векторы
векторды параллель жылжытудан шыққан болса (2-сурет), онда
мен
әртүрлі векторлар болмайды, олар А мен О нүктеден бастап салынған бір ғана
векторын кескіндейді.
Анықтама:
Ұзындығы бірге тең болатын векторды бірлік вектор деп атайды. Егер
бірлік вектор болса, онда оны
деп белгілейді, яғни
болады.
Векторлар туралы жалпылама түсінік және оларға сызықтық амалдар қолдану
Анықтама.
Вектор деп бағытталған кесіндіні атайды да,
=
Equation. 3 символмен белгілейді.
ара қашықтығы
векторының ұзындығы деп аталады.
Анықтама.
,
, …,
векторларының сызыктык комбинациясы деп мына түрдегі
+
+
…+
кез келген векторды атайды, мұндағы
нақты сандарын сызықтық комбинацияның коэффициенттері деп атайды. Егер
+
+
…+
болса, онда
векторы
,
, …,
векторлары бойынша жіктелген дейді.
Анықтама.
Бағыттары бірдей немесе қарама - қарсы брғытталған нөлдік емес
және
векторлары коллинеар векторлар деп аталады да
арқылы белгілінеді. Жазықтықтағы базис деп белгілі бір ретпен алынған осы жазақтықтың кез келген коллинеар емес векторлар парын атайды.
Теорема.
Жазықтағы кез келген
векторын осы жазықтықтың коллинеар емес кез келген
және
векторлары бойынша жіктеуге болады және ол жіктеу жалғыз ғана болады, яғни
. К
1
, к
2
сандары
базісі бойынша алынған
векторының координаталары деп аталады да, алынған ретімен жақшаға алынып, былай
жазылады.
Анықтама.
Егер
векторлары бір жызыктыққа параллель болса, онда оларды компланар векторлар деп атайды.
Егер
компланар болса, онда
жіктелу орындалады.
Декарттық координаталар жүйесі. Векторларға сызықтық амалдар қолдану
Анықтама.
Егер базис векторлары
өзара перпендикуляр бірлік векторалар болса, онда кеңістіктегі о,
координаталар жүйесі декарттық тік бұрышты координаталар жүйесі деп аталады. Декарттық тікбұрышты координаталар жүйесінің базистік бірлік векторларын
Equation. 3 символдарымен белгілейді. Сонда кеңістіктегі
арқылы жазылады.
және
векторлары берілсін дейік.
Мына ережелер орындалады:
В С
A
D
3-сурет. Параллелограм әдісі
Мысал.
Берілген
және
. Табу керек
Екі вектордың скаляр көбейтіндісі
Анықтама. Екі вектордың скаляр көбейтіндісі деп сол векторлардың модульдерін олардың арасындағы бұрыштың косинусына көбейтіндісін айтады, оны былайша белгілейді:
(
Equation. 3 ) =
Equation. 3, мұндағы
Equation. 3
және
векторларының арасындағы бұрыш.
Егер
және
векторлары берілсін дейік, онда олардың скаляр көбейтіндісі мына формуламен есептеледі
(
Equation. 3 ) =
Equation. 3
Егер
болса, онда вектор ұзындығы сына формула бойынша анықталады
Егер
және
, онда
және
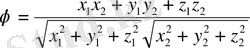
векторлары арасындағы бұрыш мына формула бойынша есептеледі:
cos
Equation. 3
векторының бағыттауыш косинустары
cos
Equation. 3, cos
Equation. 3, cos
Equation. 3
Екі вектордың векторлық көбейтіндісі
Анықтама.
және
векторларының векторлық көбейтіндісі деп с=
Equation. 3 символымен белгіленген мына шартты қанағаттындыратын
векторын атайды:
= S пар.
Equation. 3 және
Equation. 3
с=
Equation. 3 = (
Equation. 3 )
Векторларды аралас көбейтіндісі
Анықтама.
векторларының аралас көбейтіндісі деп
Equation. 3 вектормен
Equation. 3 векторының скалярлық көбейтіндісіне тең санды атайды, яғни (
Equation. 3 ) =(
Equation. 3 )
Equation. 3 .
1. Егер
,
,
, онда олардың аралас көбейтіндісі үшінші ретті анықтауышқа тең, яғни
(
Equation. 3 ) =
Equation. 3
2.
векторлары компланар векторлар болуы үшін, олардың аралас көбейтіндісі нөлге тең болуы жеткілікті, яғни (
Equation. 3 ) =0.
3. Компланар емес
векторларының аралас көбейтіндісі модуль бойынша сол үш векторларға салынған параллелепипедтің көлеміне тең болады, яғни V=
Equation. 3 .
Векторлардың перпендикулярлық және коллинеарлық шарттары
2.
және
векторлары перпендикуляр болуы үшін
теңдігі орындалады.
1
.
Егер
және
векторлары коллинеар болса, онда олардың сәйкес координаталары пропорционал болады.
Оқушылардың математикалық дайындығының басты көрсеткіштерінің бірі болып, олардың есептерді шығара білу біліктілігі алынады. Басқа жағынан алғанда есептерді стандарт емес тәсілдермен шығару оқушылардың математикалық ойлауын дамытатын құрла болып табылады. Сондықтан мектеп математикасын оқыту мәселесінде есептерді стандар тәсілдермен шығарумен қатар, стандарт және стандарт емес шешу тәсілдеріне оқушыларды баулу басты міндеттердің негізгісі болып саналады. Оқушыларды есептерді шығарудың стандарт емес тәсілдеріне үйрету олардың білім сапасын, дамуын жоғары деңгейге көтеріп қана қоймай, болашақта іс тәжірибеге дайындығының жақсаруына кепіл бола алады.
Векторлық әдісті есептерді шығаруға қолдану
Есеп
( мұндағы a, b және c нақты сандар) теңсіздігін дәлелдеңдер.
Алдымен, берілген теңсіздікті дәлелдеу мәселесіне тоқталайық.
1-жолы
Кез келген a, b және c нақты сандары үшін.
2-жолы
өрнегіндегі әріптердің біреуін ғана айнымалы деп қабылдап, ал қалғандарын тұрақтылар деп есептеп, мысалы, берілген өрнекті а айнымалысына тәуелді (онда b және c тұрақтылар болады) квадрат үшмүшелік деп қарастырамыз:
- Іс жүргізу
- Автоматтандыру, Техника
- Алғашқы әскери дайындық
- Астрономия
- Ауыл шаруашылығы
- Банк ісі
- Бизнесті бағалау
- Биология
- Бухгалтерлік іс
- Валеология
- Ветеринария
- География
- Геология, Геофизика, Геодезия
- Дін
- Ет, сүт, шарап өнімдері
- Жалпы тарих
- Жер кадастрі, Жылжымайтын мүлік
- Журналистика
- Информатика
- Кеден ісі
- Маркетинг
- Математика, Геометрия
- Медицина
- Мемлекеттік басқару
- Менеджмент
- Мұнай, Газ
- Мұрағат ісі
- Мәдениеттану
- ОБЖ (Основы безопасности жизнедеятельности)
- Педагогика
- Полиграфия
- Психология
- Салық
- Саясаттану
- Сақтандыру
- Сертификаттау, стандарттау
- Социология, Демография
- Спорт
- Статистика
- Тілтану, Филология
- Тарихи тұлғалар
- Тау-кен ісі
- Транспорт
- Туризм
- Физика
- Философия
- Халықаралық қатынастар
- Химия
- Экология, Қоршаған ортаны қорғау
- Экономика
- Экономикалық география
- Электротехника
- Қазақстан тарихы
- Қаржы
- Құрылыс
- Құқық, Криминалистика
- Әдебиет
- Өнер, музыка
- Өнеркәсіп, Өндіріс
Қазақ тілінде жазылған рефераттар, курстық жұмыстар, дипломдық жұмыстар бойынша біздің қор #1 болып табылады.

Ақпарат
Қосымша
Email: info@stud.kz