Жабын және ара жабындар құрастырмалы темірбетонды қуысты плитадан


ТҰЖЫРЫМДА
Тақырыбы: «Жамбыл облысы, Сарысу ауданындағы, Шағалалы ауылындағы
80 оқушылық орта мектеп»
Дипломдық жобада объектінің бас жоспарының шешімі көлемдік жоспарлау конструкциялық шешімдері негізделген және қоршаған конструкциялық элементтердің жылу техникалық есебі келтірілген.
Жабын элементтерінің көтергіш конструкциялары есептеліп жұмыс сызбалары дайындалған. Құрылысты жүргізуге арналған ЖӨЖ элементтері, сметалық құжаттары, ТЭК келтірілген. Еңбекті қорғау, қоршаған ортаны қорғау, және төтенше жағдайлардағы шаралары келтірілген.
Түсіндірме жазба - бет
Графикалық материалдар - 6
Кестелер - 18
Суреттер - 5.
АННОТАЦИЯ
Тема: «Средняя школа на 80 учащихся в с. Шагалалы, Сарысуского района»
В дипломном проекте приведены, обоснованы, решения, генплан, объемно планировочные и конструктивные решения, теплотехнические расчеты ограждающих конструкций проектируемого объекта.
Расчитаны и разработаны рабочие чертежи несущих элементов покрытия. Разработаны элементы ППР строительства с составлением сметных документации и подсчетом ТЭП. Разработаны мероприятий по охране труда, охрана окружающей среды и черезвычайных ситуациях.
Пояснителная записка - стр.
Графические материалы - 6 листов
Таблица - 18
Рисунки - 5
ANNOTATION
The: “Secondary school for 80 pupils in Shagalali village Sarisu region”.
The solution, general plan, volume planning and constructive solutions, heat-technical calculations of fencing constructions of designing object are given in diploma project.
The diploma paper.
The working of scheres objects are calculated and worked out. The elements of industrial designing work with compelling of an estimate of costs and calculations of technical economical exponents are wored out.
The mtasures for the job safety6 protecting of natural envirobmend and extreme situations fre developed.
Explonatory report - pages.
Graphical materials -6.
Table - 18.
Drawings - 5.
МАЗМҰНЫ:
КІРІСПЕ
- Архитектуралық құрылыс бөліміЖалпы мәліметтер. 1. 1. Объектінің функционалдық міндеті1. 2. Бас жоспар шешімі1. 3. Көлемдік жоспарлау шешімдері1. 4. Конструкциялық шешімдері1. 5. Сыртқы және ішкі әрлеу1. 6. Қорғағыш конструкциялардың жылу техникалық есебі. 1. 7- 16 Инженерлік шаралар2. Конструкциялық есептеу бөлімі2. 1. Жабын плитасын есептеу және құрастыру. 2. 2. Баспалдақты есептеу. III. Технологиялық ұйымдастыру бөлімі3. 1. Жұмыс көлемін есептеу3. 2. Құрасытырмалы конструкциялар спецификациясы3. 3. Еңбек сыйымдылығы және кезек-қажеттілігі ведомості. 3. 4. Құрылыс монтаж жұмыстарын жүргізу тәртібі3. 5. Монтаждау кранын таңдап алу. 3. 6. Құрылыстың бас жоспар есебі
IV. Экономикалық бөлім
- 4. 1. Сметалық құжаттама туралы түсінік пен оның құрамы
4. 2. . Құрылыстың техника - экономикалық негіздеу сатысындағы есептік құнын анықтау
4. 3. Жерүсті бөлігінің конструкциялық элементтерін тұрғызуға арналған жергілікті смета
- 4. 4. Жоба бойынша жалпы ТЭК
5. . Еңбекті қорғау және өндірістік экология
6. Қортынды
Қолданылған әдебиеттер тізімі
КІРІСПЕ
Қазіргі заманғы құрылыс дегеніміз, бір-бірімен үйлесіп жатқан әртүрлі күрделі жұмыс комплексі. Уақытша үнемдеу шарттарын орындау үшін жұмысшы ғылыми түрде ұйымдастыру деңгейін көтеру қазіргі күн талабында тұрған мәселе.
Қазіргі өтпелі кезеңде мемлекетіміздің экономикасын тоқыраудан шығару, оны өркендетудің бағдарламасын жедел іске асыру, материалдық өндірістің барлық саласының дамуы, халық шаруашылығының белгілі нәтижеге жетуі де күрделі құрылыстың қарқыны мен саласына байланысты.
Елімізде көптеген мемлекеттік кәсіпорындардың, ауыл шаруашылық ғимараттармен халқымыздың, елдің аманшылығын, ден-саулығын қамтамасыз ететін емханалардың салынуына құрылысшылардың үлесі зор. Аталмыш құрылыстарға жұмсалған қаржыларды ұтымды пайдалану үшін негізгі қорлардың салалық құрылымын одан әрі жақсарту және өндірістік қуаттармен басқа ғимараттарды қысқа мерзімде жедел іске қосып игеру қажет. Материалдар шығынын, құрылыс мерзімін қысқарту, оның құнын кеміту -құрылысшылар алдына қойылып отырған маңызды міндет. Бұл міндеттерді шешу үшін жұмсалатын қаржыларды, шикізат пен еңбек шығынын азайту, индустриаландыру дәрежесін арттыру құрылысты жоспарлау мен ұйымдастыруды жақсарту құрылыс өндірісі технологиясын жетілдіру қажет.
Жұмысты бұлай ұйымдастырудың негізгі, ережелері мен нормалардың біріңғай жүйесі, жұмысты ұйымдастыруда жобалау құрылысты жоспарлау және басқару болып табылады. Жұмыс көлемдерінің ұлғаюы, объектілердің күрделенуі, жұмысты тасқынды әдістемелік орындауды үнемі жетілдіруді талап етеді.
Ғылыми техникалық прогресстің үдеуі, халық шаруашылығының барлық салаларының дамуы, халықтың күнделікті тіршілігінің жақсара түсуі, күрделі құрылыстың техникалық деңгейінің жоғарылауына тікелей байланысты. Осыған сәйкес соғылатын немесе қайта жаңғыртылатын үйлердің жобаларын дайындағанда, ғылым мен техниканың соңғы жаңалықтарын негізге алу керек. Ал құрылыс монтаж жұмыстарын қысқа мерзімде жүргізіліп, іске қосылған өндірістік, тұрғын және қоғамдық үйлер мен ғимараттардың қазіргі күн талабына сәйкес болуына мүмкіндік беру керек.
Қазақстанның өтпелі нарықтық кезеңдегі халық шаруашылығында белгілі қиындықтарға қарамастан күрделі құрылыс саласының алатын орны ерекше. Ол сала кейбір салалар сияқты толық тоқырауға ұшыраған жоқ, оның себебі тау - кен қазба байлықтары, мұнай көздері игерілуде, оның үстіне еліміздің ауылшаруашылық өнімдеріне (бидай, мақта, т. с. с. ) сұранысы жылдан - жылға артуда .
Сондықтан азаматтық, өндірістік, ауылшаруашылық және т. б. үйлер мен ғимараттарды жобалау, тұрғызу - бүгінгі күннің және болашақтың да талабы.
Күрделі құрылыстың алдында тұрған маңызды міндеттердің қатарына құрылысты индустриализациялау дәрежесін көтеру, құрылысты келешекте жаңа оңтайлы, арзан конструкциялардан тұрғызу олардың жеңіл және үнемді болуын жатқызуға болады.
Оның үстіне қазіргі нарықтық өтпелі кезең жағдайында Қазақстан үшін үйлер мен ғимараттарды қайта конструкциялау, нығайту - бұрын тұрғызылған және пайдаланып келген құрылыстардың (үйлер мен ғимараттардың) функционалдық тағайындалуының, технологиялық тағайындалуының және т. с. с. заман талабына сәйкес өзгеруіне байланысты көлемдік-жоспарлау және конструкциялық шешімдерінің оңтайлы қабылдануы қажет. Бұл жағдайда, әсірісе көтергіш конструкциялардың беріктік деформациялық қабілеттері ерекше өзгереді, оның үстіне олардың ескіріп тозуы, зақымдануы да орын алуы мүмкін.
Күрделі құрылыс саласында қайта конструкциялау қазіргі негізгі бағыттардың біріне айналады, оның көлемі бірте-бюірте ұлғаюда. Өзінің ерекшеліктері жағынан қайтй конструкциялауды жобалаудың, оны жүзеге амырудың үйлер мен ғимараттарды жаңадан тұрғызуға қарағанда көп айырмашылығы бар.
Еліміз тәуелсіздік алған кезден бастап, барлық проблемалаларды басқаша қарап, өз мүддесін ойлау қажет болды.
Республиканың экономикалық саяси әлеуметтік жағдайының дұрыс бағыты даму үшін елбасы Қазақстан халқына «2030» атты бағдарламасын жолдады. Ендігі кезде республикадағы барлық өзгерістер дамуы «2030» бағдарламасына тікелей байланысты жүргізіледі.
Ел экономикасына ішкі инвесторлар таратуды қолға алғалы жатыр. Елбасының бас назарына орта және кіші бизнесті дамытуға ауып отыр. Оларға заңды көмек көрсетіп, елімізді шеткі экспортты импортқа қарағанда көбірек шығартып, дамыған елдер қатарына қосылуға қолға алынды. Саяси тұрақтылық пен көптеген шаралар арасында мемлекетіміз экономикасы дамыған елдер қатарына қосылуға даярланып келеді.
Кейбір ел өз экономикасын дамыту үшін керекті зауыт, фабрикалар, құрылымдармен қоғамдық ғимараттар тұрғызуы қажет.
Салынып және жаңғыртылып жатқан құрылыс жобалары мен техниканың ең жаңа жетістіктері негізінде тұрғызылуы қажет ол өндірістік кәсіпорындар пайдалануға берілгенге дейін салынатын тұрғын үй, қоғамдық және басқа да үйлер мен ғимараттар техникалық жағынан озық және қазіргі заман талаптарына сай болуы керек. Барлық құрылысты құрастыру жұмыстары сапалы әрі қысқа мерзімде жүзеге асырылуы тиіс.
І. Сәулеттік құрылыс бөлім
Жалпы мәліметтер
Дипломдық жоба қазіргі уақытта қолданылып жүрген ережелер мен нормаларға сәйкес дайындалған.
Құрылыс орына -Жамбыл облысы, Сарысу ауданы, Шағалалы ауылы
аумақтың климаты - IV ;
- сыртқы ауаның орташа есептік температурасы ең суық бес күндік t H 5 - 27. 1 0 С.
- қар жүгінің нормативті мәні - 70 кг/м 2 ;
- жел екпіннің нормативті мәні - 73 кг/м 2 ; .
Рельефі тегіс.
Алаңдағы қима бойынша топырақ классификациясы бір инженерлі-геологиялық элемент - қоңыр - сұр түсті топырақ, майда, ылғалдығы төмен, 4. 8 м. төмен. Үсті құнарлы қабат.
Жер асты сулары ізденіс жұмыстары кезінде 4. 5 м. тереңдікте табылды. Қату тереңдігі норматив бойынша ҚНжЕ ҚР 5. 01-01-2002 құм үшін -150 см. Аумақтың сейсмикасы, ҚНжЕ ҚР 2. 03. 30-2006 бойынша келісілген, 6 баллға бағаланады, топырақтың сейсмика жағынан ІІ категория.
Өртке қарсылық дәрежесі-ІІ
Қызмет ету дәрежесі-ІІ
Құрылыс орнының рельефі -тегістеу, бір жағына кішкене еңістігі бар.
Су жабдықтау -орталық желіден.
Ыстық сумен және жылуына жабдықтау объекті территориясында орналасқан.
- Объектінің функционалдық міндеті
Жобаланып отырған обьект Жамбыл облысы, Сарысу ауданы, Шағалалы ауылында орналасқан. Негізгі функционалдық міндетті 1-11 сыныптар аралығындағы оқушыларға толық орта білім беру болып табылады.
Жобаланып отырған обьект бірнеше блоктардан тұрады және олар өзара бірнеше блоктардан тұрады. Оқушылардың толық білім алуына мекепте қосымша көмекші ғимараттар мен құрылымдар жобаланған. Оларға: қазандықтар орны, ағын суларды қабылдайтын резервуар, сұйық отынды сақтауға арналған резервуар жатады.
Жобаланып отырған обьекті төмендегідей бөлмелер қарастырылған: кіре-беріс, дәліздер, 1-4 сыныптарға арналған киім шешу орындары, 1-4 сыныптарға арналған рекреация; 5-7 сыныбтарға арналғанн киім шешу инструктор бөлмесі; спортзал; аға тәрбиеші бөлмесі; кітапхана; физика және астрономия зертханасы; биология, химия зертханасы; әскери дайындық кабинеті; қару-жарақ сақтауға арналаған бөлме; директор кабинеті; информатика және есептеу техникасы кабинеті; кеңсе бөлмесі және т. б.
- Бас жоспар шешімі
Жобаланатын мектеп Сарысу ауданнында, Шағалалы ауылында бұрынғы мектеп территориясында, мектеппен шектесетін екі тұрғын үйдің территориясын кесіп орналасқан.
Алаң салынған ғимараттардан босатылған. Алаңның ауданы 1, 54 га.
Алаңның аумағында жасыл шөптер, коммуникация құрылысқа кедергі тудыратын қойма ғимараттары және т. б. алынып тасталынған.
Мектептің бас жоспары ҚНжЕ ҚР 3. 01-01-2002 «Градоқұрылыс. Қала және село поселкілеріне жаппай құрылыс салу және жобалау», және ҚНжЕ ҚР 2. 08. 02-89 «Қоғамдық ғимараттар және үймереттер» талаптары бойынша жасалды. Бас жоспар шешімі аумақты оптимальді қоршауға негізделген.
Ғимарат пен үймереттерге көмекші комплекстер: әжетхана, қазандық, өрт өшіру үшін резервуар, трансформатор станциялы, балалар ойнайтын алаң кіреді.
Бағдарламаға сәйкес оқушыларға жалпы білім мектебіне инженерлі жүйелер және аумақты жақсы жабдықтау, спорт зал үшін ашық ойын алаңы, денешынықтыруға арналған жабдықтармен жабдықталған.
Ғимараттар мен үймереттерге арналған жол селоның көшесінен кіре алады.
Мектеп айналысында өрт көлігіне арналған асфальтті бір қабатты жабын орналасқан.
Алаңдар, жолдар асфальтобетоннан, тротаурлар цементті-құмды плитадан. Мектептің аумағандағы дуал - металлді торлы, биіктігі 1, 6 м.
Жер бетіндегі суларды газон және жол арқылы босатылады.
Құрылыстан кейінгі барлық бос қалған аумақтар бұталармен, жеміс ағаштармен және сәндік өсімдіктермен, көгал алаңмен және гүлдермен көкалдандырылады.
Көкалдандырылған аумақта бастырма және демалуға арналған орындықтар қарастырылған.
Тұрған ескі мектеп, тұрғын үйлердің құрылымы, жерүсті және жерасты инженерлік коммуникациялар, ескі қоршаулар, асфальтті беттер қайта жөндеуге жатады.
Мектеп алаңының жер бедерінің еңістігі солтүстік батысқа қарай біртегіс емес.
Жобаланаған обьектінің территориясында жоба бойынша келесідей ғимараттар мен құрылымдар жобаланған:
- 80 оқушыға арналаған мектеп;
- Шаруашылық алаң
- Жылыжай
- Сұйық отынды сақтауға арналған резервуар;
- Комплектілі трансформаторлы стнация;
- Ағын суларды қабылдауға арналған сыйымдылығы 15, 0м3резервуар;
- Ағын суларды қабылдауға арналған сыйымдылығы 5, 0м3резервуар;
- Бастауыш сыныптарға араналаған бөлім;
- Плиталы алаң
- Трансформатор
- Гүлдерге, сәнді өсімдіктерге арналаған бөлім;
- Өсімдіктерді жүйелі жинақтау бөлімі;
- Метеорология және географияға арналаған алаң;
- Гимнастикаға араналаған бөлім;
- Спорттық ойындараға араналаған алаң: баскебол, волейбол;
- Жүгіртпе жол;
- Жүгіртпе жол;
- Спорттық ойындарға арналаған аралас алаң: гандбол, доп лақтыру;
- Май ұстағыш.
Бас жоспар ҚНжЕ ҚР 3. 01. 01-2002 «Қала құрылысы. Елді мекендерді ұйымдастыру» талаптарына сай орындалган.
Жолдар мен алаңдар асфальтты бетоннан, алаңдар мен жүргін жолдарына майда даналы плиталар төселген. Спорт алаңдары арнайы жабынмен және спортты газонмен, спортивті снарядтармен жабдықталаған.
Жасыл аумақтарда демалуға арналаған орындықтар, көлеңкелік шатырлар, урналар қарастырылыған. Барлық отырызылған жасыл желектер осы климаттық ауданға байланысты таңдалған.
Мектеп алаңы темірбетон бағаналарға торкөзді металл панельді қоршаулармен қоршалған.
Үлкен көше жағынан мектеп алаңына екі кіру жолдары қарастырылған.
Өндірістік аумаққа: газбен жанатын, комплектілі трансформаторлы станцияға, ағын суларын қабылдайтын сыйымдылығы 15, 0м 3 резервуарға, ағын суларын қабылдайтын сыйымдылығы 5, 0м 3 резервуарға жеке кіру жолдары бар.
Құрылысты бастаудың алдында, алаңдағы өсімдікті қабаттың топырағы қаралып алынады, ал оның негізгі бөлігі кейін көгалдандыру жұмыстарына пайдаланылады. Бас жоспар бойынша жапы технико-экономикалық көрсеткіштер:
Алаңның ауданы -17089, 41 м 2
Құрылыс ауданы -1337, 23 м 2
Көгалдар ауданы -9195, 57 м 2
Жабындар ауданы -5421, 50 м 2
Құрылыс тығыздығы -7, 9 %
Жабындар тығыздығы -31, 86%
Көгалдар тығыздығы -54, 58%
1. 3 Архитектуралық-жоспарлық шешімдер
Жобаланып жатқан 80 оқушыға арналған орта мектеп 1 блоктан тұрады, Әр сыныптың биіктігі -3, 0м, спортзалдың биіктігі - 7, 0 м.
Блоктардың конструктивтік сұлбасы - қатты монолитті темірбетонды рамадан, кірпішпен толтырылған, блоктар арасының тігісі 10 см.
Іргетасы - ленталы монолитті темірбетоннан. Қабырғалар және қалқа кірпіштен М-75 ерітіндісі 25.
Жабын және ара жабындар құрастырмалы темірбетонды қуысты плитадан. Шатыр металлочерепицадан көк түсті, жылытқыш- минераломақтадан Г=220мм, цоколь- көк түсті плитадан. Спортзал жабыны - металл фермадан.
Мектептің сыртқы сылағы - ақ түсті сайдингтен, ашық-сары, көк түсті. Ішкі сылақ, суэмульсиямен боялған, декорпанельмен немесе глазурді плиткалармен әсемделген. Терезелер, есіктер - металлопластиктен. Үйдің төбесі - әкпен боялған.
Ағаш бұйымдары майлы бояумен бояланады. Едендер - линолеумнен, керамикалық плиткадан, ағаштардан.
Көтергіш қабырғалардың арақашықтығы жабын плиталарының өлшемдеріне сай 6, 0м және 3, 0м-ден қабылданды.
Жобаланған обьекттінің сыртқы және ішкі қабырғаларының қалыңдығы 510 және 380мм, ал ішкі бөлетін қабырғалардың қалыңдығы 120мм.
Жобаланған мектеп ғимараты келесідей бөлмелерден тұрады: кіре-беріс, дәліздер, 1-4 сыныптарға арналған киім шешу орындары, 1-4 сыныптарға арналған рекреация; баспалдақтар алаңдары, 5-7 сыныбтарға арналғанн киім шешу орындары; техникалық қызметкерлерге арналған бөлме; орыс сыныбына арналған георграфия және математика кабинеті; қоғамдық жұмыстарды ұйымдастыру кабинеті; қазақ тілі және әдебиет кабинеті; шет тілі және әдебиеті кабинеті; орыс сыныбына арналған сурет, бейнелеу өнері және сызу кабинеті; электрқорғауыш; 5-11 сыныптарға арналаған рекреация; жылу пунктері, су өлшеуіш түйін; инвентарлы құралдарды сақтауға арналған қойма; шикізат және дайын бұйымдар қоймасы; ағаш және металл материалдарды өңдейтін шеберхана; мата өңдейтін және тағам әзірлеу шеберханасы; қызметкерлерге арналған жуыну бөлмелері; инструктор бөлмесі; спортзал; аға тәрбиеші бөлмесі; кітапхана; физика және астрономия зертханасы; биология, химия зертханасы; әскери дайындық кабинеті; директор кабинеті; информатика және есептеу техникасы кабинеті; кеңсе бөлмесі.
1. 4. Конструкциялық шешімдері
80 оқушыға арналған мектеп екі қабатты, жобада тікбұрышты, осьтері 15. 8×56. 48м. үйдің төбесінен еденге дейін бөлмелердің биіктігі 3. 00м. ғимараттың конструктивті сұлбасы - қатты, қабырғалары бойлық, кірпіштен. Қабырға астындағы іргетастар - ленталы монолитті бетоннан классы В 7. 5, рама асты - бағаналы монолит темірбетонды көпқуысты плитадан.
Мектеп ғимараттының қабырғасы және қадақ кірпіштен КР50/1800/15 ГОСТ ҚР 530-2002 бойынша цементті - құм ерітіндісі М25 қоспалармен. Рамалар - монолитті темірбетоннан, бетон классы В 25.
Баспалдақтар - құрастырмалы темірбетоннан.
Шатыр - чердакты.
Еден - мозайкалы, линолеумнан, ағаштан, керамикалық плитадан.
Мектеп ғимараты 1 блоктан тұпады: №1блок, ю2 блок, №3 блок.
Блоктың контсруктивті сұлбасы - қатты кірпіштен бойлық қабырғадан.
Қабырға астындағы іргетас - ленталы монолитті темірбетоннан, бетон классы В7, 5, рама асты - монолитті бағана, бетоннан В15. Бірінші және екінші қабаттың жабыны құрастырмалы темірбетонды қуысты плитадан, жертөлесіз, жобада үлгісі тікбұрышты.
Қабырғалардың ұстындармен және өзара түйіскен жерлерінде қаланаған кірпіштерге ұзындығы 1, 5м арматура торлары қойылды. Торлар әрбір 675мм биіктіктен кейін төселеді.
Бөлмеаралық жұқа қабырғалар /перегордки/ кәдімгі кірпіштен, қалыңдығы жарты кірпіш. қабатаралық жамылғы -құрастырмалы көп қуысты темірбетон плиталарынан өлшемдері 6, 0 х1, 0; 6, 0 х1, 2 және 3, 0 х 1, 0м. маңдайшалық қарлар - құймалы темірбетоннан жасалады. Олардың өлшемдері терезе ойығына байланысты қабылданады.
Баспалдақ алаңдарыныда орналасқан терезелер мен есіктердің ойындылары ҚНжЕ 2. 03-04-2006 «Сейсмикалық аудандардағы құрылыс» талаптарына сай темірбетон өзектермен бекітілген.
Шатыры стропилалық ағаштарға ылдимен жатқызылатын толқынды асбестоцементті табақшалармен жабылады.
Ғимарат 60% -тен көп емес ылғалдылықа пайдаланылады. Барлық болат және қосылыстарда пайдаланылатын бөлшектерді Қнже 2. 03-11-85 «Құрылыс конструкцияларын тоттан қорғау» нұсқауларына сай орындау қажет.
Едендері-әр түрлі бөлмелердің функционалдық міндеттеріне сәйкес, мозайкалы бетоннан, керамикалық плиталардан, ағаш тақтайлардан, орама материалдардан /линолеум/ және таза бетоннан.
Есік терезелері-ағаштан- типтік өлшемдері
Есіктер -2, 1 х 0, 9 м; 2, 1 х 0, 7 м; 2, 1 х1, 0; 2, 4 х 1, 6 м;
Терезелер 1, 5 х 1, 8 м; 1, 8 м х 1, 2 м;
Ғимаратың периметрі бойынша жабын плиталарының деңгейінде жер сілікінісіне қарсы белдеулер көзделмеген.
- Сыртқы және ішкі әрлеу
Ғимараттың сыртқы қасбеті әрленген сылақпен сылап, сыртқа арналаған боз, көк, қоңыр, сұр түсті силикат бояумен боялады. Ал іргетас бөлігін әрленген сылақпен сылап, артынан сұр түсті силикат бояуымен сырланады.
Ғимараттың кіреберіс күнқағарына «Алюкобонд» әрлейтін плиталарымен сәнделген.
Бөлмелердің ішкі әрлеуі әрленген сылақтан кейін сулы эмульсия бояуымен 2 рет сырланады, әрленген сылақтан кейін 2 рет әкпен ақталып шығады. Бөлмелердің төбесі, плиталардың біріккен жерлерін әрлеп, артынан сулы эмульсия бояуымен 2 рет боялады.
Терезе, есік, шатырдың ағаш конструкциялары олифпен 2 рет майлап болған соң солғын түсті лакпен сырланады. Есіктер- ағаш. Витраждар - ақ металл әйнектен жасалған және сұр толтырғыштардан тұрады.
Спортзал терезелері ішінен металл тор көздер орнатылған. Мектептің спорт алаңдарына қарайтын терезелеріне металл тор көздер қойылады.
Ғимаратағы едендер бөлмелердің функционалдық міндеттеріне байланысты жуынатын бөлмелерде керамикалық плиткалар, жалпы бөлмелерде ағаш тақтайшалар және мозайкалық бетон едендер жобаланған.
- Қорғағыш конструкциялардың жылу-техникалық есебі
1. Алғы мәліметтер
-Құрылыс орыны -Жамбыл облысы, Сарысу ауданы
-Климаттық ауданы -СНиП 2. 01. -82
-ылғалдық аймағы /қосымша 1. СНиП-ІІ-3-74/ қалыпты
-пайдалану жағдайы /қосымша 2/-А 1 А 1
-ішкі ауаның температурасы -20 0 С
-сыртқы ауаның қыстық есептік температурасы СНиП 2. 01. 01-82 бойынша; t n c =-28 0 C, t c δ =-25 0 C
а) қабырға б) Жабын
Сурет 1. 1. Қоршаған конструкциялардың есептік сұлбалары
Материалдардың жылутехникалық сипаттамалары
Кесте 1. 2
қабырға
1.
2.
3.
Цемент-құм қабаты
Кәдімгі кірпіш
Цемент -құм қабаты
0, 02
t x
0, 015
1800
1800
1800
0, 76
0, 56
0, 76
9, 6
9, 2
9, 6
жабын
1.
2.
3.
4.
4 қабатты рубероид төсемі
Цемент -құм төсемі
Жылу сақтағыш қабат /керамзит/
Қуысты жабын плитасы
0, 006
0, 025
0, 03
600
1800
2500
0, 7
0, 76
1, 92
3, 6
9, 6
17, 86
Есептеу әдісі
Қоршағыш конструкциялардың жылу теруге қажетті мәнін анықтаймыз
м 2 с /Вт (1. 1. )
мұндағы: һ- конструкцияның сыртқы биіктігінің қалай орналасқанына байланысты алынатын коэффициент (СниП -ІІ-3-79**, 3 кесте)
t Н - сыртқы ауаның қыстық есептік температурасы
t і -ішкі ауаның температурасы
∆t-температураның ауытқуының нормативтік мәні
(СНиП ІІІ -3-79** 4 кесте)
Қоршағыш конструкциялардың жылу беруге қарсылығын R o оның қажетті мәніне R o қ теңестіріп қабырғаның немесе жылу сақтағыш қабаттың қалыңдығын анықтаймыз
R o = R o қ (1. 2)
мұндағы R o төмендегі формуламен анықталады
м 2 с/Вт (1. 3)
мұндағы сыртқы беттің жылу беру коэффициенті(СНиП III- 3-79**, 6 кесте)
(1. 4)
1. 2. теңдеуін қалыңдығы белгісіз қабатқа байланысты осы қабаттың қалыңдығының минималді мәнін анықтаймыз
(1. 5)
мұндағы S 1 ; S 2 ; S n -қабаттардың жылу қабылдау коэффициенті
а) Қабырға
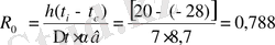
мұнда һ =1 α B =7, 8 t i =20 0 C, t C =-28 0 C, ∆t=7;
R o -нақты мәнін анықтаймыз
м
2
с/Вт
Яғни кірпіш қабырғаның қалыңдығын екі кірпішке (510мм) тең етіп қабылдаймыз
Жылу инерциясын анықтаймыз
=0, 08∙9, 6+0, 31∙9, 2+0, 15∙9, 6=8, 04 яғни жылу инерциясы D>7болса ең суық бес күндіктің температурасын аламыз
м;
Қабырғалық панельдің қалыңдығын 510 мм күйінде қалдырамыз
б) Жабын
∆t=5, 5 R 1 =0, 006/0, 17= 0, 035
R 2 = 0, 025/0, 76=0, 032
R 3 = t x /0, 2
R 4 = 0, 03/1, 92=0, 015
∑R i =0, 035+0, 032+0, 015+ t x /0, 2=0, 082+ t x /0, 2;
t x =(0, 940-0, 232) ∙0, 2=0, 141 м
Жылу сақтағыш қабаттың қалыңдығы t =150 мм етіп қабылдаймыз
1. 6. Сыртықы жүйе.
Жылыту жүйесі.
... жалғасы- Іс жүргізу
- Автоматтандыру, Техника
- Алғашқы әскери дайындық
- Астрономия
- Ауыл шаруашылығы
- Банк ісі
- Бизнесті бағалау
- Биология
- Бухгалтерлік іс
- Валеология
- Ветеринария
- География
- Геология, Геофизика, Геодезия
- Дін
- Ет, сүт, шарап өнімдері
- Жалпы тарих
- Жер кадастрі, Жылжымайтын мүлік
- Журналистика
- Информатика
- Кеден ісі
- Маркетинг
- Математика, Геометрия
- Медицина
- Мемлекеттік басқару
- Менеджмент
- Мұнай, Газ
- Мұрағат ісі
- Мәдениеттану
- ОБЖ (Основы безопасности жизнедеятельности)
- Педагогика
- Полиграфия
- Психология
- Салық
- Саясаттану
- Сақтандыру
- Сертификаттау, стандарттау
- Социология, Демография
- Спорт
- Статистика
- Тілтану, Филология
- Тарихи тұлғалар
- Тау-кен ісі
- Транспорт
- Туризм
- Физика
- Философия
- Халықаралық қатынастар
- Химия
- Экология, Қоршаған ортаны қорғау
- Экономика
- Экономикалық география
- Электротехника
- Қазақстан тарихы
- Қаржы
- Құрылыс
- Құқық, Криминалистика
- Әдебиет
- Өнер, музыка
- Өнеркәсіп, Өндіріс
Қазақ тілінде жазылған рефераттар, курстық жұмыстар, дипломдық жұмыстар бойынша біздің қор #1 болып табылады.

Ақпарат
Қосымша
Email: info@stud.kz