Арифметикалық прогрессия

 
    
7-лекция
Сандық тізбек және прогрнессиялар тақырыбыен оқып-үйрену
Жоспары:
1. Сан тізбегі.
2. Арифметикалық прогрессия
3. Геометриялық прогрессия.
Әдебиеттер:
1. Рахымбек Д. А рифметика, алгебра, анализ бастамаларын оқыту әдістемесі. /Оқулық/ - Шымкент: М. Әуезов атындағы ОҚМУ баспа орталығы 2016. - 432 б
2. Елубаев С. Математиканы оқыту әдістемесі. - Алматы; Эверо, 2016
3. Мектеп оқулықтары
4. Мұғалімге арналған оқу-әдістемелік құралдар
1. Сан тізбегі тізбектің берілу тәсілдері. Рекуренттік формула .
Орта мектепте прогрессиялар - тiзбек ұғымына байланысты оқытылады.
Анықтама. Белгiлi бiр заңмен немесе ережемен бiрiнен соң бiрi келiп отыратын сандардың жиынын сан тiзбегi деп атайды.
Мысалы:
1, 2, 3, . . . , n , . . . (натурал сандар тiзбегi) ;
2, 4, 6, . . . , 2 n , . . . (жұп сандар тiзбегi) ;
1, 3, 5, . . . , 2 n +1, . . . (тақ сандар тiзбегi) ;
2, 3, 5, 7, 11, 13, . . . (жай сандар тiзбегi) .
Тiзбектi құратын әрбiр санды оның мүшелерi делінеді. Сан тiзбегi математикада жалпы түрде былайша жазылады:
а 1 , а 2 , . . . , а n , . . . (1)
а n -дi (1) тiзбектiң жалпы мүшесi деп атайды.
Бұдан кейiн өспелi және кемiмелi тiзбектер және тiзбектiң берiлу тәсiлдерi қарастырылады.
Тiзбек көбiнесе тiзбектiң n -шi мүшесiнiң формуласы арқылы берiледi. Мысалы, жұп оң сандардың тiзбегi а п =2n.
Тiзбек кейде рекурренттiк тәсiлмен берiлуi мүмкiн.
Тiзбектiң қандай да бiр мүшесiнен бастап, кез келген мүшесiн алдыңғы мүшелерi арқылы өрнектейтiн формуланы рекурренттiк формула деп атайды (латынның recurro - қайта оралу деген сөзiнен шыққан) .
Мысалы: а 1 =3, а п +1 = а п 2 .
Бұл тiзбектiң мүшелерiн былайша жазып көрсетуге болады:
3, 9, 81, . . . , . . .
Бұдан кейiнгi сабақта арифметикалық прогрессияның анықтамасы берiледi.
6. 1. 1 Арифметикалық прогрессия
Анықтама. Екiншi мүшесiнен бастап әрбiр мүшесi өзiнiң алдындағы мүшеге бiрдей санды қосқанға тең болатын тiзбек арифметикалық тiзбек деп аталады.
Басқаша айтқанда кез келген натурал п сан үшiн а n+1 =а п +d (мұндағы d - қандай да бiр сан) шарты орындалса, онда ( а п ) тiзбегi арифметикалық прогрессия болады.
d=а п+1 -а п -ны арифметикалық прогрессияның айырмасы деп атайды. d >0 болғанда арифметикалық прогрессияны өспелi, ал d< 0 болғанда арифметикалық прогрессияны кемiмелi деп атайды. Арифметикалық прогрессияны былайша белгiлейдi:
а 1 , а 2 , . . . , а n , . . . немесе а n+1 =а п +d.
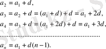
Арифметикалық прогрессияның анықтамасы бойынша
 
Демек, арифметикалық прогрессияның n-шi мүшесiнiң формуласы мынаған тең:
a n =а 1 +d(п-1)
Бұл формуланың дұрыстығы математикалық индукция әдiсiмен дәлелденiледi.
 Арифметикалық прогрессияның
 
  п
 
 -шi мүшесiнiң
  формуласын басқаша
 формуласын басқаша
  түрiнде жазуға болады. Бұдан кез келген арифметикалық прогрессияны
 түрiнде жазуға болады. Бұдан кез келген арифметикалық прогрессияны
  (мұндағы
 
  k
 
 мен
 
  b
 
 -қандай да бiр сандар) түрiндегi формуламен беруге болады.
 (мұндағы
 
  k
 
 мен
 
  b
 
 -қандай да бiр сандар) түрiндегi формуламен беруге болады.
 Керiсiнше де тура болады:
  түрiндегi формуламен берiлген (
 
  а
  
   п
  
 ) тiзбегi арифметикалық прогрессия болып табылады (мұндағы
 
  k
 
 мен
 
  b
 
 -қандай да бiр сандар) .
 түрiндегi формуламен берiлген (
 
  а
  
   п
  
 ) тiзбегi арифметикалық прогрессия болып табылады (мұндағы
 
  k
 
 мен
 
  b
 
 -қандай да бiр сандар) .
Сондықтан да арифметикалық прогрессияны натурал сандар жиынында анықталган функция деп қарастыруға болады.
Арифметикалық прогрессияға ғана тән қасиет былайша дәлелденiледi:
Арифметикалық прогрессияның анықтамасы бойынша
 
бұдан
 .
 .
 Сонымен, арифметикалық прогрессияның екiншi мүшесiнен бастап әрбiр мүшесi оның екi көршiлес тұрған мүшелерiнiң
 
  арифметикалық ортасы
 
 болып табылады. Егер арифметикалық прогрессияның бiрiншi мүшесi мен айырымы
 
  а
  
   1
  
 және
 
  d
 
 белгiлi болса, онда оның қалған мүшелерiн
  рекурренттiк формуласы арқылы шығарып алуға болады.
 рекурренттiк формуласы арқылы шығарып алуға болады.
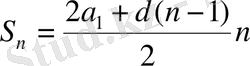
Арифметикалық прогрессияның алғашқы n мүшесiнiң қосындысы мына формуламен анықталады:
 (1)
 (1)
Бұл формуланы арифметикалық прогрессияның n-шi мүшесiнiң формуласы дейдi. а п =а 1 +d(п-1) болатындықтан, (1) формуланы мына түрде жазуға болады:
 (2)
 (2)
6. 1. 2 Геометриялық прогрессияны оқыту
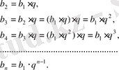
Анықтама. Екiншiсiнен бастап әрбiр мүшесi өзiнiң алдындағы көршiлес мүшенi бiрдей санға көбейткенде шыққан нөлден өзгеше сандардың тiзбегi геометриялық прогрессия деп аталады.
 Басқаша айтқанда, кез келген натурал
 
  n
 
 үшiн
  және
 және
  (мұндағы
 
  q
 
 -қандай да бiр сан) шарттары орындалса, (
 
  b
  
   n
  
 ) тiзбегi
 
  геометриялық прогрессия
 
 болады.
 (мұндағы
 
  q
 
 -қандай да бiр сан) шарттары орындалса, (
 
  b
  
   n
  
 ) тiзбегi
 
  геометриялық прогрессия
 
 болады.
 санын
 
  геометриялық прогрессияның еселiгi
 
 деп атайды.
 санын
 
  геометриялық прогрессияның еселiгi
 
 деп атайды.
Индукция әдiсiмен геометриялық прогрессияның n-шi мүшесiнiң мына формуламен анықталатындығы көрсетiледi.
 
Бұл формуланың дұрыстығы математикалық индукция әдiсiмен дәлелденедi.
 болғанда геометриялық прогрессияны
 
  өспелi
 
 , ал
 болғанда геометриялық прогрессияны
 
  өспелi
 
 , ал
  болғанда геометриялық прогрессияны
 
  кемiмелi
 
 деп атайды.
 болғанда геометриялық прогрессияны
 
  кемiмелi
 
 деп атайды.
 Геометриялық прогрессияға ғана тән қасиет былайша дәлелденiледi: геометриялық прогрессияның анықтамасы бойынша
  , бұдан
 , бұдан
  .
 .
 Егер геометриялық прогрессияның мүшелерi оң болса, онда
  екiншi мүшесiнен бастап геометриялық прогрессияның әрбiр мүшесi көршiлес екi мүшесiнiң
 
  геометриялық ортасына
 
 тең болады.
 екiншi мүшесiнен бастап геометриялық прогрессияның әрбiр мүшесi көршiлес екi мүшесiнiң
 
  геометриялық ортасына
 
 тең болады.
Геометриялық прогрессияны былайша белгiлейдi:
 .
 .
( b п ) геометриялық прогрессия берiлген болсын. Оның алғашқы п мүшесiнiң қосындысын S п арқылы өрнектеймiз:
S п =b 1 +b 2 +b 3 + . . . +b п-1 +b п (1)
Бұл теңдiктiң екi бөлiгiн де q -ге көбейтемiз:
S п ⋅q=b 1 ⋅q +b 2 ⋅q +b 3 ⋅q + . . . +b п-1 ⋅q +b п ⋅q
Егер
b 1 ⋅q= b 2 , b 2 ⋅q= b 3 , …, b п-1 ⋅q=b п
екенiн ескерсек:
S п ⋅q=b 2 +b 3 + . . . +b п +b п ⋅q (2)
(2) теңдiктен (1) теңдiктi мүшелеп шегерiп, ұқсас мүшелердi бiрiктiрейiк:
S п ⋅q-S п =(b 2 +b 3 + . . . +b п +b п ⋅q) -(b 1 +b 2 +b 3 + . . . +b п-1 +b п ) =b n ⋅q-b 1
 Ендi
  дейiк. Онда
 дейiк. Онда
 (3)
 (3)
формуласы келiп шығады.
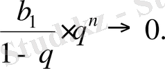
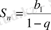
 болғанда шектеусiз геометриялық прогрессияның қосындысы былайша анықталады:
 болғанда шектеусiз геометриялық прогрессияның қосындысы былайша анықталады:
Прогрессияның алғашқы n мүшесiнiң қосындысының формуласын жазамыз:
 (4)
 (4)
 Егер
  болса, онда
 болса, онда
  да
 да
  , сондықтан
 , сондықтан
  да
 да
  (4) формуланың бiрiншi қосылғышы
 
  п-
 
 ге тәуелсiз. Демек,
 (4) формуланың бiрiншi қосылғышы
 
  п-
 
 ге тәуелсiз. Демек,
  да,
 да,
  -қа ұмтылады.
 -қа ұмтылады.
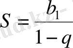
Сонымен, шексiз кемiмелi геометриялық прогрессияның қосындысы мына формуламен анықталады:
 (5)
 (5)
Шексiз кемiмелi геометриялық прогрессияның қосындысының формуласын ондық бөлшектердi жай бөлшектерге айналдыруда қолдануға болады.
0, (5) таза периодты ондық бөлшегiн мына түрде жазуға болатындығы белгiлi:
... жалғасы- Іс жүргізу
- Автоматтандыру, Техника
- Алғашқы әскери дайындық
- Астрономия
- Ауыл шаруашылығы
- Банк ісі
- Бизнесті бағалау
- Биология
- Бухгалтерлік іс
- Валеология
- Ветеринария
- География
- Геология, Геофизика, Геодезия
- Дін
- Ет, сүт, шарап өнімдері
- Жалпы тарих
- Жер кадастрі, Жылжымайтын мүлік
- Журналистика
- Информатика
- Кеден ісі
- Маркетинг
- Математика, Геометрия
- Медицина
- Мемлекеттік басқару
- Менеджмент
- Мұнай, Газ
- Мұрағат ісі
- Мәдениеттану
- ОБЖ (Основы безопасности жизнедеятельности)
- Педагогика
- Полиграфия
- Психология
- Салық
- Саясаттану
- Сақтандыру
- Сертификаттау, стандарттау
- Социология, Демография
- Спорт
- Статистика
- Тілтану, Филология
- Тарихи тұлғалар
- Тау-кен ісі
- Транспорт
- Туризм
- Физика
- Философия
- Халықаралық қатынастар
- Химия
- Экология, Қоршаған ортаны қорғау
- Экономика
- Экономикалық география
- Электротехника
- Қазақстан тарихы
- Қаржы
- Құрылыс
- Құқық, Криминалистика
- Әдебиет
- Өнер, музыка
- Өнеркәсіп, Өндіріс
Қазақ тілінде жазылған рефераттар, курстық жұмыстар, дипломдық жұмыстар бойынша біздің қор #1 болып табылады.
 
            
                Ақпарат
Қосымша
Email: info@stud.kz