Гамма сәулеленудің заттармен әрекеттесуі


Қазақстан Республикасының Білім және Ғылым министрлігі
Академик Е. А. Бөкетов атындағы Қарағанды университеті
Реферат
Тақырыбы: Гамма сәулеленудің заттармен әрекеттесуі.
Тексерген: Смагулов Жанайдар Кайдарович
Орындаған: БЖДК (дот) - 306 с/п
тобының студенті
Жұмабеков Ерасыл Е.
Қарағанды 2021
Гамма-сәулеленудің өзара әрекеттесуінің негізгі процестерінің қысқаша сипаттамасы
Гамма-сәулелер (ү-сәулелер) - табиғи және жасанды радиоактивті элементтер ядросынан ұшқындайтын қысқа толқынды электрмагнитті сәулелер. Альфа- немесе бета-сәулелер мен салыстырғанда Гамма сәулелердің ұшқыңдауы кезінде ядроның заряд көрсеткіші, атомдық нөмірі және масса саны өзгермейді.
Гамма-сәулелерінің ерекшеліктері:- толқын ұзындығы ең қысқа
- қозған атом ядроларында және радиоактивті ыдырау құбылысы кезінде шығарылады
- гамма-сәуле шығарудың өте көп бөлігі Жер атмосферасының озон қабатында жұтылады
- оның корпускулалық қасиеттер басым
Қысқаша айтқанда, біз гамма сәулелерінің негізгі сипаттамаларын келтіреміз:
- Олар жарық жылдамдығымен қозғалғаннан бері тыныштық қалмайтын бөлшектер.
- Олардың электр заряды жоқ, өйткені олар электр және магнит өрістерінен ауытқымайды.
- Олардың иондану қабілеті өте аз, бірақ олар өте жақсы енеді. Радонның гамма-сәулелеріолар болаттан 15 см-ге дейін өте алады.
- Олар жарық сияқты толқындар, бірақ рентгенге қарағанда әлдеқайда жігерлі.
- Безге сіңетін және гамма-сәулеленуден аулақ болатын радиоактивті қосылыс аталған безді оны жағажайда алу арқылы зерттеуге мүмкіндік береді.
Олар өте жоғары жиілікті сәулеленуге ие және барлық иондағыш сәулелер сияқты адамдар үшін ең қауіпті сәулеленудің бірі болып табылады. Қауіп олардың молекулаларға қайтымсыз зақым келтіруі мүмкін жоғары энергиялы толқындар екендігінде. генетикалық мутацияны және тіпті өлімді тудыратын жасушаларды құрайды. Жерде біз гамма сәулелерінің радионуклидтердің ыдырауындағы табиғи көздерін және ғарыштық сәулелердің атмосферамен өзара әрекеттесуін байқай аламыз; сәулелердің өте аз мөлшері де сәулеленуді тудырады.
Гамма сәулесінің қасиеттері
Әдетте бұл сәулеленудің жиілігі 1020 Гц-тен көп, сондықтан оның энергиясы 100 кэВ-тан жоғары және толқын ұзындығы 3 × 10 -13 м-ден аз, атомның диаметрінен әлдеқайда аз. TeV-ден PeV-ге дейін энергияның гамма-сәулелері қатысатын өзара әрекеттесулер де зерттелген.
Радиоактивті ыдыраудың басқа түрлерімен немесе альфа-ыдырау мен бета-ыдырауымен туындаған радиацияға қарағанда гамма сәулелері заттармен әрекеттесудің аз тенденциясына байланысты енеді. Гамма-сәулелену фотондардан тұрады. Бұл гелий ядроларынан тұратын альфа-сәулеленуден және электрондардан тұратын бета-сәулеленуден айтарлықтай айырмашылық.
Фотондар, массаға ие емес, олар аз иондайды. Осы жиіліктерде электромагниттік өріс пен материя арасындағы өзара әрекеттесу құбылыстарының сипаттамасы кванттық механиканы ескермеуі мүмкін емес. Гамма сәулелері рентген сәулелерінен шығу тегі бойынша ажыратылады. Олар кез-келген жағдайда ядролық немесе субатомдық ауысулармен, ал рентген сәулелері энергияның ауысуы арқылы пайда болады, себебі электрондар сыртқы квантталған энергия деңгейлерінен ішкі бос энергия деңгейіне енеді.
Кейбір электронды өтулер кейбір ядролық ауысулардың энергиясынан асып түсуі мүмкін болғандықтан, жоғары энергетикалық рентген сәулелерінің жиілігі төменгі энергиялық гамма сәулелерінің жиілігінен жоғары болуы мүмкін. Бірақ, шын мәнінде, олардың барлығы радио толқындар мен жарық сияқты электромагниттік толқындар.
Гамма сәулелерінің арқасында жасалған материалдар
Гамма сәулелерін қорғауға қажетті материал альфа және бета бөлшектерін қорғауға қарағанда әлдеқайда қалың. Бұл материалдарды қарапайым қағаз парағымен (α) немесе жұқа металл табақшамен (β) блоктауға болады. Атом саны жоғары және тығыздығы жоғары материалдар гамма сәулелерін жақсы сіңіре алады. Шындығында, егер 1 см қорғасынды азайту қажет болса гамма сәулелерінің интенсивтілігі 50%, дәл осындай әсер 6 см цементте және 9 см престелген жерде болады.
Қорғаныс материалдары, әдетте, сәулелену қарқындылығын екі есеге азайту үшін қажет қалыңдығымен өлшенеді. Фотонның энергиясы неғұрлым көп болса, қажетті қалқанның қалыңдығы соғұрлым көп болатыны анық.
Сондықтан адамды қорғау үшін қалың экрандар қажет, өйткені гамма және рентген сәулелері күйік, қатерлі ісік және генетикалық мутация тудыруы мүмкін. Мысалға, атом электр станцияларында болат пен цементті түйіршіктердің қоршауында, ал су отынды жинау кезінде немесе реактордың өзегін тасымалдау кезінде радиацияның алдын алады.
Пайдаланады
Иондаушы сәулелендіру - бұл материалдарды зарарсыздандыруға қол жеткізу үшін қолданылатын физикалық әдіс медициналық-санитарлық, тамақ өнімдерін, шикізат пен өнеркәсіптік өнімдерді зарарсыздандыру және оларды басқа салаларда қолдану , Кейінірек көреміз.
Бұл процесс соңғы оралған немесе сусымалы өнімді немесе затты иондаушы энергияға ұшыратудан тұрады. Бұл әр нақты жағдайға және белгілі бір уақыт аралығында сәулелену бөлмесі деп аталатын арнайы бөлмеде жасалады. Бұл толқындар ашық қабаттарға, соның ішінде көп қабатты өнімдерге толығымен енеді.
Кобальт 60-ты ісік ауруларын емдеу үшін қолдану - бұл қазіргі кезде тиімділігі мен ішкі қауіпсіздігіне байланысты менің елімде және әлемде кең таралған әдіс. Ол кобальт терапиясы немесе кобальт терапиясы және деп аталады ісік тінін гамма-сәулеге ұшыратуды қамтиды.
Ол үшін кобальтты емдеу құралы деп аталады, ол 60 кобальтпен жабдықталған брондалған басымен жабдықталған және ауруды адекватты емдеу үшін әр нақты жағдайда қажет болатын экспозицияны дәл басқаратын құрылғымен жабдықталған.
Иондану энергиясының алғашқы коммерциялық қолданылуы 1960 жылдардың басынан басталады. әлемде шамамен 160 сәулелендіру қондырғысы жұмыс істейді , 30-дан астам елде таралған, барған сайын көптеген салаларға қызметтердің кең спектрін ұсынатын.
Көріп отырғаныңыздай, олар қаншалықты қауіпті болса да, адам гамма сәулелерін көптеген салаларда қолдана алады. Осы ақпарат арқылы сіз гамма сәулелері және олардың сипаттамалары туралы көбірек біле аласыз деп үміттенемін.
Зат арқылы өткен кезде фотондардың берілген затты құрастыратын, атомдардың электрондық және ядролармен өзара әрекеттесуі нәтижесінде гамма-кванттардың қарқындылығы әлсірейді.
Фотоэлектрлік жұтылу (фотоәсер) гамма-кванттың атоммен жұтылу процесін білдіреді, оның нәтижесінде квант өзінің энергиясын атомның электронына толығымен береді (атомның K -электрондарындағы фотоәсер аса ықтимал) . Атомдағы элетрондар байланысының энергиясы әр түрлі және электрон орналасқан қабықтың иондау мүмкіндігімен анықталады. Гамма-квант энергиясы E 0 электрон байланысының энергиясынан артық болған жағдайда ғана фотоәсер болады. K -электрондар байланысының энергиялары 1-кестеде берілген.
1 - кесте - K -жұтылу шеті энергиясының мәндері
Өзара әрекеттесуінің мұндай немесе басқа процесінің ықтималдығы қимамен сипатталады. Микроскоптық қима
ф
бір (атоммен электронмен) өзара әрекеттесу ықтималдығын сипаттайды. Фотоәсер қимасы энергиясы 0, 5 МэВ-тен кем - кванттар үшін
Z
4
/
E
3, 5
қатынасына пропорционал. Фотоәсер кезінде атом элементтің атомдық нөміріне қатаң тәуелді болатын,
E
х
энергиясымен ренгендік флуоресценттік (сипаттамалық) сәулеленуді шығарады
Комптондық сейілу кезінде квант, элекронмен соқтығыса отырып, өз қозғалысының бағытын өзгертеді (сейіледі) . Бұл кезде энергияның бір бөлігі жоғалады. Сейілген E s және алғашқы E 0 квант энергиясы арасындағы байланыс Комптон формуласымен анықталады:
, (1)
мұнда cosθ - сейілу бұрышы;
511 - электрон тыныштығы энергиясы, кэВ.
Комптондық сейілу ядромен әлсіз байланысқан, атомның сыртқы электрондарында болады және кванттардың салыстырмалы энергиялары кезінде елеулі роль атқарады.
Микроскоптық қимадан басқа өзара әрекеттесудің сызықтық және көпшілік коэффициенттері пайдаланылады.
Сызықтық коэффициент (см -1 ) өзара әрекеттесудің жол бірлігінде, ал көпшілік коэффициент (см 2 /г) массасы 1 грамм затта ықтималдықты сипаттайды. Олардың арасындағы байланыс - тығыздық арқылы.
Энергиясы 100 кэВ-тан кем гамма-сәулелену үшін әлсіреу негізінде фотоәсер мен комптондық сейілу есебінен болады. Бұл процестердің өту ықтималдылығы энергиясы мен элементтің атомдық нөміріне байланысты болады. 2-кестеде әр түрлі элементтер үшін әр түрлі энергиялар сәулеленуінің өзара әрекеттесуінің көпшілік коэффициенттерінің мәндері («ф» - индексі - фотоәсерге, «к» - индексі - комптондық сейілуге жатады), ал 3-кестеде кейбір элементтер мен материалдардың тығыздығы берілген.
2 - кесте - Әлсіреудің көпшілік коэффициенттерінің мәндері, см 2 /г
Е , кэВ
Элемент
3 - кесте - Элементтер мен материалдардың тығыздығы
2. Гамма-сәулеленудің әлсіреу заңы
Гамма-кванттар ағыны зат арқылы өткен кезде мына заң бойынша әлсірейді:
, (2)
мұнда N - қалыңдығы қабатты өткеннен кейінгі кванттар ағыны;
N o - алғашқы кванттар ағыны;
- кванттардың затта әлсіреуінің тиімді көпшілік коэффициенті;
ρ - заттың тығыздығы.
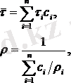
Күрделі ортаның тиімді коэффициенті және тығыздығы ρ мына формулалар бойынша есептеледі:
(3)
мұнда τ і - гамма-кванттардың ортаның і -ші элементімен әлсіреуінің көпшілік коэффициенті;
ρ і - ортаның і -ші элементінің тығыздығы;
c і - ортадағы і -ші элементтің бірлік үлестеріңде шоғырлануы
3. Кванттардың бос жүрісінің ұзындығы
Гамма-кванттардың бос жүрісінің ұзындығы өзара әрекеттесусіз өтетін ара қашықтығын сипаттайды. Ол мына формула бойынша есептеледі
(4)
Өзара әрекеттесудің әр түрлі процестеріне қатынасы бойынша бос жүрістің ұзындығын ажыратады: мысалы l f =1/m f (см) - гамма-кванттардың фотоәсерге қатынасы бойынша бос жүрісінің ұзындығы, яғни кванттың фотоэлектрлік жұтылусыз ортада өтетін ара қашықтығы.
1 - тапсырма
а) қалыңдығы 1мм, 5мм темірден жасалған жалпақ тілік; б) қалыңдығы 1мм, 10мм әк тас қабаты; в) қалыңдығы 1 мм, 10 мм құм қабаты арқылы өткен гамма-кванттар үлесін есептеу керек.
Кванттардың E o энергиясы 20 және 200 кэВ.
2 - тапсырма
E o =60 және 200 кэВ кванттар үшін, кванттарды қалындығы 1 см темір сияқты әлсірететін, алюминийдің қалыңдығын табу керек.
3 - тапсырма
E o =100; 300; 600 кэВ; x = 1; 5; 10 см жағдайлары үшін, қалыңдығы әр түрлі бетон қабаты арқылы өткен, гамма-кванттар ағынын есептеу керек. Есептеулердің нәтижелері бойынша әр түрлі энергиялар үшін тәуелдіктерін салу керек.
4 - тапсырма
Энергияға байланысты су мен әк тас үшін гамма-кванттардың бос жүрісінің ұзындығын есептеу және, E o =20, 60, 200 кэВ, тәуелдіктерін салу керек.
5 - тапсырма
Гамма-сәулелену келесі сипаттамалары бар екі құрамды ортаны білдіретін, қорғау экранымен әлсірейді:
а) Алғашқы гамма-сәулеленудің қарқындылығы тура 1000 есе әлсіреу үшін, экранның қалыңдығы қандай болу керек?
б) Гамма-кванттың бос жүрісінің ұзындығы берілген аптада неге тең?
в) Егер экранның қалыңдығы 15мм болса, алғашқы гамма-сәулелену неше есе әлсірейді?
4. Күрделі ортаның тиімді атомдық нөмірі
Кванттардың көп құрамды заттармен өзара әрекеттесуін сипаттау үшін тиімді атомдық нөмір түсінігін енгізеді. Тиімді атомдық нөмір -ті анықтау көп құрамды ортаны қарастырылатын шамашарты көп құрамды орта үшін осындаймен сәйкес келетін, шартты элементпен ауыстырылуына негізделген. Басқаша айтқанда, күрделі ортаның -і берілген энергияның кванттары үшін әлсіреу коэффициенті күрделі орта үшін осындайға тең болатын, шартты элементтің атомдық нөміріне сандық түрде тең. Осыдан, Z мәнінің ортаның құрамымен ғана емес, сонымен бірге түсетін сәулеленудің энергиясымен анықталатыны шығады.
E o < 300 кэВ, бірақ элемент жұтылуының K- шетінің энергиясынан кем емес болғанда, мына формула бойынша есептеледі:
, (5)
мұнда
c
і
-
і-
ші элементтің күрделі ортада шоғырлануы;
Z
і
-
і-
ші элементтің атомдық нөмірі.
Ортада жұтылудың K -шетінің энергиясы алғашқы сәулелену энергиясынан артық болатын, ең болмағанда бір элемент бар болған кезде, (5) -өрнек -ті есептеу үшін жарамсыз, өйткені мұндай элементтің фотожұтылу коэффициенті, энергияның электрондық қабықтың иондану мүмкіндігі арқылы өтуі кезінде бір қалыпты емес өзгеріске ұшырайды. Сондықтан мұндай элемент ионданудың K -мүмкіндігінен төменірек энергиямен кванттарға қатысы бойынша өзін атомдық нөмірі аз элемент ретінде ұстайды.
... жалғасы- Іс жүргізу
- Автоматтандыру, Техника
- Алғашқы әскери дайындық
- Астрономия
- Ауыл шаруашылығы
- Банк ісі
- Бизнесті бағалау
- Биология
- Бухгалтерлік іс
- Валеология
- Ветеринария
- География
- Геология, Геофизика, Геодезия
- Дін
- Ет, сүт, шарап өнімдері
- Жалпы тарих
- Жер кадастрі, Жылжымайтын мүлік
- Журналистика
- Информатика
- Кеден ісі
- Маркетинг
- Математика, Геометрия
- Медицина
- Мемлекеттік басқару
- Менеджмент
- Мұнай, Газ
- Мұрағат ісі
- Мәдениеттану
- ОБЖ (Основы безопасности жизнедеятельности)
- Педагогика
- Полиграфия
- Психология
- Салық
- Саясаттану
- Сақтандыру
- Сертификаттау, стандарттау
- Социология, Демография
- Спорт
- Статистика
- Тілтану, Филология
- Тарихи тұлғалар
- Тау-кен ісі
- Транспорт
- Туризм
- Физика
- Философия
- Халықаралық қатынастар
- Химия
- Экология, Қоршаған ортаны қорғау
- Экономика
- Экономикалық география
- Электротехника
- Қазақстан тарихы
- Қаржы
- Құрылыс
- Құқық, Криминалистика
- Әдебиет
- Өнер, музыка
- Өнеркәсіп, Өндіріс
Қазақ тілінде жазылған рефераттар, курстық жұмыстар, дипломдық жұмыстар бойынша біздің қор #1 болып табылады.

Ақпарат
Қосымша
Email: info@stud.kz