Суреттерді өңдеудің әмбебап әдісі - әмбебап стерео көмегімен рельеф моделін бірнеше суретке түсіру


ҚАЗАҚСТАН РЕСПУБЛИКАСЫНЫҢ БІЛІМ ЖӘНЕ ҒЫЛЫМ МИНИСТРЛІГІ
СӘТБАЕВ УНИВЕРСИТЕТІ
институты
кафедрасы
СӨЖ
Тақырыбы:Аэрофотограмметрия. Бір суретті талдау: аэрофотограмметрияда қолданылатын координаттар жүйесі; бір суретті бағдарлау элементтері; суретте нүктелер мен түзулердің бейнелерін құру.
Орындалған
%
Оқытушы: Алпысбаева М.
Студент: Бекбай Б.
Бертіс М.
Бергенгалиев А.
Алматы 2020
Глоссарий
Аэрофотограмметрия жер үсті пункттерінен немесе түсіру жүйелерінің тасымалдаушыларынан алынған фотограмметриялық суреттерді өңдеуге жататын фотограмметрия бөлімі.
Аэрофототүсірілім - жергілікті жерді ұшу аппаратынан суретке түсіру (оптикалық спектрдің барлық диапазондарында) . Аэрофототүсірілім материалдары геодезиялық, геологиялық зерттеулерде, инженерлік ізденістерде және т. б. қолданылады.
Жер бедері - (географияда) литосфераның сыртқы бетінің пішіні (кескіні) ; құрылымы, мөлшері, шығу тегі, жасы және даму тарихы бойынша әр түрлі құрлық, мұхит түбінің және теңіздердің кедір-бұдырларының жиынтығы. Рельеф оң (дөңес) және теріс (вогнуты) формалардан тұрады.
Рельеф негізінен эндогендік және экзогендік процестердің Жер бетіне ұзақ уақыт әсер етуі нәтижесінде пайда болады. Фототүсірілім - фототүсірілім объектісі шығаратын немесе көрсететін жарықтың әсерінен фотоматериалдың жарық сезгіш қабатында осы объектінің жасырын бейнесі пайда болатын фотоаппараттың көмегімен орындалатын фотографиялық процестің бастапқы кезеңі.
Фототрансформатор - фотоаппарат объективінің оптикалық осінің алынатын учаскенің жазықтығына және жер бетінің қисықтығына қарай еңкеюіне байланысты аэрофототүсірілім кезінде туындайтын жергілікті жердің фотобейнесіндегі бұрмалануларды жоюға арналған оптикалық-механикалық құрылғы.
Кіріспе
Аэрофотограмметриялық түсірілім әуе тасымалдағышында орнатылған аэрофотоаппараттың көмегімен жергілікті жерді ауадан суретке түсіруді және алынған нәтижелерді кейіннен өңдеуді көздейді.
Аэрофототопографиялық түсірудің нәтижелерін өңдеудің қолданылатын әдістеріне байланысты аэрофототопографиялық түсірудің екі әдісі бөлінеді: аралас және стереотопографиялық.
Стереотопографиялық түсірілімді қолданған жағдайда топографиялық жоспарлар мен карталарды жасау қабаттасатын суреттердің жұбы немесе оларды стереопарлар деп атайды. Бұл ретте карталар мен жоспарлардың жоспарлы және биіктік бөлігін жасау стереопараны қарау кезінде жергілікті жердің кеңістіктік (стереоскопиялық) моделін көруге және қажетті өлшеулерді жоғары дәлдікпен жүргізуге мүмкіндік беретін арнайы аспаптарды пайдалана отырып, камералдық жағдайларда орындалады.
Стереотопографиялық түсіру кезінде аэросуреттерді өңдеудің сараланған және әмбебап әдістері қолданылады.
Сараланған әдіспен аэротүсірілімдерді өңдеу бірқатар аспаптардың көмегімен жүргізілетін жеке процестерге бөлінген. Олардың бір бөлігі (фототрансформатор) контурлық фотоплан дайындау үшін, ал екінші бөлігі (стереометр) - рельефті (көлденең) төсеу үшін қолданылады. Горизонттарды аэрофотосуреттерден фотопландарға беру қажеттілігіне байланысты рельефтің дәлдігі әмбебап әдіске қарағанда әлдеқайда төмен.
Суреттерді өңдеудің әмбебап әдісі - әмбебап стерео көмегімен рельеф моделін бірнеше суретке түсіру. Бұл модельді өлшеу кезінде жоспарланған координаттар мен нүктелердің биіктігі бір уақытта анықталады. Бұл әдіс жазық және таулы жерлерде де нәтижелердің жоғары дәлдігін қамтамасыз етеді.
Аэрофотограмметрия ұшу аппараттарынан алынған, олардың фотографиялық бейнелерін өлшеу бойынша әр түрлі объектілер мен жер учаскелерінің пішінін, мөлшерін және жағдайын анықтау әдістерін әзірлеумен айналысатын фотограмметрия бөлімі. Жалпы фотограмметрияның бір бөлігі ұшақтың фотографиялық суреттерінен (аэротүсірілімдерден) жердің жоспары мен картасын қалай жасау керектігін зерттейді және көрсетеді. Жалпы алғанда, жоспардың (немесе картаның) әрбір нүктесінің орнын дұрыс анықтау үшін ұшақтың екі позициясынан кемінде екі аэротүсірілім болуы қажет. Суретке түсіру кезінде әуе кемесінің екі жағдайын координаттар мен анықтау мүмкін еместігіне байланысты, бұл позициялар белгілі үш тірек нүктесі бойынша кері серифпен анықталуы мүмкін. Ұшақтың екі позициясы анықталған кезде, әуе суреттері ұшақтың екі белгілі бір позициясынан сериф әдісімен өңделуі мүмкін; Нәтижесінде әуе суретте көрінетін жернүктелері тұрғысынан позицияланады. Аэротүсірілімдердің мұндай геометриялық (графикалық) өңдеуі баяу; наст. уақыт, тиісті аппараттардың (стереопланиграфтар және т. б. ) Құрылыс арқасында аэротүсірілімдерді графикалық баяу өңдеу стереоскопиялық көруге негізделген арнайы аппараттарда жылдам өңдеумен ауыстырылады. Бұл аппараттарда бір жердегі екі аэротүсірілім стереоскоптағыдай окулярлар арқылы бір уақытта оң және сол көзбен қаралады. Құрылғыда арнайы белгі бар - көзілдірік алдында фокустық жазықтықта орналасқан көрсеткіш. Егер микрометриялық бұрандалардың көмегімен ауа суреттері осылайша орнатылса, көзілдіріктің визуалды сәулелері әр суреттегі рельефтің бірдей нүктелерінен өтуі үшін, меңзер белгісі рельефтің осы нүктесімен біріктіріледі және байланыстырушы механизмнің көмегімен бұл нүкте құрылғыдағы планшетте белгіленеді. Сабақтастыра т. о. Көрсеткіш белгісі екі суретте де бар. Жердің басқа нүктелері мен қатар, біз планшетте рельеф жоспарының нүктелері болып табылатын басқа нүктелердің позицияларын автоматты түрде аламыз. Мұндай құрылғылардың көмегімен сіз планшеттен автоматты түрде горизонталь деп аталатын қисық сызықтарды ала аласыз, олар белгілі бір тұрақты жазықтықтан бір биіктікте (амплитудада) орналасқан нүктелерді байланыстырады. Қазіргі уақытта осы типтегі ең жетілдірілген құрылғы - бұл Цейсс стереопланиметрі.
1-сурет. Цейсс стереопланиметрі
Бедерсіз контурлы аэротүсірілім кезінде жазық жерлерде жалғыз аэротүсірілімдерді пайдалану жеткілікті. Аэротүсірілімдердің дұрыс еместігі (бұрмалануы) бұл жағдайда ұшу биіктігінің өзгеруіне және аэроплан қанаттарының еңкеюіне (қисаюына) байланысты болады, бұл суреттер ауқымының өзгеруін, сондай-ақ суретке түсіру (экспозиция) кезінде пластинканың (фильмдердің) бейімділігін, аэротүсірілімнің перспективасын береді. Мұндай аэротүсірілімдер трансформаторлар деп аталатын аппараттардың көмегімен жоспарға келтіріледі. 2-суретте "Люфтбильд" трансформаторы көрсетілген; Өте практикалық трансформаторлар қатарына франциялық "Руссиль" - ды және КСРО-да қолданылатын, орыс инженері П. П. Соколовтың системаларын да жатқызуға болады.
2-сурет. «Люфтбильд» трансформаторы
Аэрофотограмметрия әдістерін екі негізгі топқа бөлуге болады. Бірінші топқа проективтік геометрия және соңғы ережелеріне негізделген арнайы оптикалық және механикалық құрылғылар (фототрансформаторлар, пантограф-трансформаторлар) суреттердегі камералық жұмыстардың негізгі негізі болып табылатын әдістер кіреді.
Екінші топқа әдісті жатқызуға болады, онда кеңістіктің әр түрлі нүктелерінен алынған және стереоскопиялық көру әсеріне негізделген арнайы оптикалық-механикалық құрылғыларда өңделген рельефтің екі суреті қолданылады (стереопланиграф, автокартограф және т. б. ) . Бірінші әдіс, проективтік, контурлы аэротүсірілім кезінде (рельефті қолданбай) қолданылады.
Экспозиция кезінде ұшақтан фотопластинка қатаң көлденең болса (фотокамераның оптикалық осі-тік), онда жазық жердегі аэротүсірілім m = f / H сандық масштабтағы жердің фотопланын ұсынады, мұндағы:
f-фотокамераның фокустық қашықтығы және Н - ұшу биіктігі.
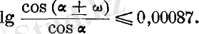
Іс жүзінде, ұшақтың ауытқуына байланысты фотокамераның оптикалық осі Б. немесе М. вертикальдан ауытқиды, ал W бұрышының мәні 3-4°құрайды. Осындай ауытқудың нәтижесінде әуе суреттерінің көпшілігі планның қасиетін жоғалтады; мұндай суреттің әртүрлі нүктелеріндегі масштаб әр түрлі болады және рельефтің контурлары мен суреттері де бұзылады. Егер біз 0, 4% масштабтағы айырмашылықтың шегін мойындасақ, онда келесі шарт бар, оны орындау кезінде суретті жоспар ретінде қабылдауға болады:
Мұнда w-оптикалық осьтің тігінен ауытқуының рұқсат етілген бұрышы, 2α-камераның көру бұрышы (Фиг. 2) .
Бұл формула α және w арасындағы қатынасты береді. Көлбеу кескінге байланысты, бұрмаланған планды алу үшін экспозиция кезінде жер бетіне қатысты негативтің нақты орнын анықтайтын "сыртқы бағдарлау элементтерін" білу керек (Фиг. 3) .
Мынадай үш элемент бар: 1) түсіру биіктігі, 2) көлденең жазықтыққа қатысты пластинка жазықтығының w еңіс бұрышы және 3) пластинкада соңғы х осі мен көлденең жазықтықтың қима сызығы арасындағы бұрышпен сипатталатын фотокамераның β қисаю бұрышы (Фиг. 4) .
Бұл элементтерді білу орталық перспектива теориясында талданған әдістермен қажетті масштабта кескін контурларының графикалық түзетілген бейнесін алуға мүмкіндік береді, яғни рельеф планы. Әрбір сурет үшін оның сыртқы бағдарлау элементтерін тіркейтін жеткілікті дәл аспаптар әлі жоқ болғандықтан, олар кері жолды пайдаланады, атап айтқанда, бұл элементтер суретте көрінетін 3 немесе 4 пункт (тірек) үшін геодезиялық мәліметтер бойынша анықталады. Бұл тапсырма геодезиядағы белгілі кері серифтік тапсырмаға ұқсас. Ол аналитикалық, графикалық немесе соңында оптикалық-механикалық әдістермен шешіледі.
Проективті геометрия әдістерін қолдану сыртқы бағдарлау элементтерін анықтамай-ақ, тікелей 4 тірек нүктелері бойынша план құру мәселесін шешуге мүмкіндік береді. Бұл анықтама жұмыс барысында алынып тасталады. Графикалық әдіс фигуралардың коллинеациясы (сәйкестігі) теоремаларына негізделген. Суреттегі (перспектива) және жоспардағы суреттер арасындағы сәйкестік төрт жұп нүктемен толығымен орнатылады. М және N болсын (фиг. 5) 4 сәйкес "тірек" нүктелері (а, А), (b, В), (с, С) және (d, D) берілген сурет пен планды бейнелейді.
Сызбада кескіні бар нүктені (x) жоспарға графикалық түрде қою үшін олар осылай жасайды. Кез - келген тірек нүктесінен (А, а) сәулелер басқа нүктелерге, ал суретте, сонымен қатар (x) нүктесінде - мен іздеймін. Сурет сәулелерінің сәулесі pq түзуімен қиылысады және оған қиылысу нүктелерін белгілейді. Содан кейін бұл сызықты план сәулелеріне өткізіп, берілген түзудің нүктелері сәйкес сәулелерде болатындай етіп, а полюсінен сызықты 4-ші Бос нүктеге (x') сызыңыз. Бұл сәуле жоспарда А нүктесінен қалаған нүктеге (X) бағыт береді.
Сол құрылысты басқа тірек нүктесінен (В) қайталай отырып, біз екінші бағытты аламыз. Қажетті нүкте (X) сериф әдісімен табылады. Күрделі контурлары бар әуе суреттерінің планына графикалық "сканерлеуді" жеңілдету үшін өзара перспективалы торлар қолданылады, олардың құрылысы тек көрсетілген принципке негізделген. Суреттерді жаппай өңдеу кезінде графикалық әдіс көп және оны өңдеумен алмастырады. фототрансформаторлар. Фототрансформатор проекциялық шамның арнайы дизайнынан және нақты проекциялық фонарьдан тұрады (Фиг. 6) .
Жалпы жағдайда, теріс, экран мен линза параллель осьтердің айналасында айнала алады. Суретті түрлендіру процесі келесідей. Экранда осы негативке сәйкес келетін төрт (немесе үш) тірек нүктелері бар планшет бекітіледі. Содан кейін негативті жарықтандырып, теріс, экран және линза жазықтықтарының өзара жағдайына қол жеткізіледі, онда экранда өткір кескін алынады және осы кескіннің 4 (немесе 3) тірек нүктелері планшетте қолданылатын тиісті нүктелермен сәйкес келеді. Осыдан кейін планшетті фотосезімтал қағазбен алмастырып, суретті көрсетіп, көрсетіңіз. Трансформацияланған іздерден монтаждар геодезиялық негізде жасалады және осылайша фотопландар алынады.
Егер рельеф қатты қиылысқан, төбелі болса, онда суреттерде рельефке байланысты нүктелердің ығысуы алынады. А биіктік нүктесі (Фиг. 9) А0 жоспары А0 орнына а нүктесіндегі суретте алынады
- Іс жүргізу
- Автоматтандыру, Техника
- Алғашқы әскери дайындық
- Астрономия
- Ауыл шаруашылығы
- Банк ісі
- Бизнесті бағалау
- Биология
- Бухгалтерлік іс
- Валеология
- Ветеринария
- География
- Геология, Геофизика, Геодезия
- Дін
- Ет, сүт, шарап өнімдері
- Жалпы тарих
- Жер кадастрі, Жылжымайтын мүлік
- Журналистика
- Информатика
- Кеден ісі
- Маркетинг
- Математика, Геометрия
- Медицина
- Мемлекеттік басқару
- Менеджмент
- Мұнай, Газ
- Мұрағат ісі
- Мәдениеттану
- ОБЖ (Основы безопасности жизнедеятельности)
- Педагогика
- Полиграфия
- Психология
- Салық
- Саясаттану
- Сақтандыру
- Сертификаттау, стандарттау
- Социология, Демография
- Спорт
- Статистика
- Тілтану, Филология
- Тарихи тұлғалар
- Тау-кен ісі
- Транспорт
- Туризм
- Физика
- Философия
- Халықаралық қатынастар
- Химия
- Экология, Қоршаған ортаны қорғау
- Экономика
- Экономикалық география
- Электротехника
- Қазақстан тарихы
- Қаржы
- Құрылыс
- Құқық, Криминалистика
- Әдебиет
- Өнер, музыка
- Өнеркәсіп, Өндіріс
Қазақ тілінде жазылған рефераттар, курстық жұмыстар, дипломдық жұмыстар бойынша біздің қор #1 болып табылады.

Ақпарат
Қосымша
Email: info@stud.kz