Зарядталған бөлшектер үдеткіштері


Қазақстан Республикасының білім жӘне ғылым министрлігі
М. Х. Дулати атындағы Тараз өңірлік университеті
Жаратылыстану ғылымдары жоғары мектебі
Физика және IT кафедрасы
КУРСТЫҚ Жұмыс
Электр және магнетизм пәні бойынша
Тақырыбы : Зарядталған бөлшектердің электр және магнит өрісіндегі қозғалысы
Білімгер: Билалова Жансая Тобы: ФИНФ-19-1
/қолы/
Жетекші : Ф. -м. ғ. к., доцент Егембердиева София
Қорғауға жіберілді «4» желтоқсан 2020ж.
/қолы/
Жұмыс қорғалды «»20__ж. бағасы
/жазбаша/
Комиссия мүшелері:
/аты-жөні/ /қолы/
/аты-жөні/ /қолы/
Тараз 2020
ҚАЗАҚСТАН РЕСПУБЛИКАСЫНЫҢ БІЛІМ ЖӘНЕ ҒЫЛЫМ МИНИСТРЛІГІМ. Х. Дулати атындағы Тараз өңірлік университеті
Физика және IT кафедрасы ФИНФ-19-1 тобының білімгеріне Билалова Жансая курстық жоба (жұмыс) ТАПСЫРМА Электр және магнетизм пәні бойынша1. Тақырыбы: Зарядталған бөлшектердің электр және магнит өрісіндегі қозғалысы
2. Тапсырманың арнайы нұсқауы
Кафедра мәжілісінде бекітілген «»20___ ж. хаттама №
Жетекшісі: Ф. -м. ғ. к., доцент Егембердиева София
Тапсырманы орындауға қабылдадым «»20___ж.
/білімгердің қолы/
Мазмұны
Кіріспе
1 Зарядталған бөлшектердің электр және магнит өрісіндегі қозғалысы 5
1. 1 Электр өрісіндегі зарядталған бөлшектің қозғалысы 5
1. 2 Магнит өрісінде зарядталған бөлшектің қозғалысы 7
2 Электромагниттік өрісте зарядталған бөлшектің қозғалысының қолданысы 9
2. 1 Лоренц күші. Магнит өрісіндегі зарядталған бөлшектердің
қозғалысы 9
2. 2 Ампер күші 11
2. 3 Магнит өріс үшін Гаусс теоремасы 14
2. 4 Тогы бар өткізгішті магнит өрісінде орын ауыстыру кезіндегі істелетін жұмыс 15
2. 5 Магнетиктер. Магниттік гестерезис. Кюри температурасы 17
2. 6 Заттағы магнит өрісі үшін толық ток заңы 18
2. 7 Электромагниттік өрісте зарядталған бөлшектің қозғалысының қолданысы 19
Қорытынды
Қолданылған әдебиеттер тізімі
Кіріспе
Курстық жұмыстың негізгі мақсаты электр және магнит өрістерінде зарядталған бөлшектің динамикасын зерттеу
Мен осы курстық жобамда зарядталған бөлшектердің электр және магнит өрісіндегі қозғалысын толық сипаттап, олардың мәнін түсіндіріп, формулаларды қорытамын. Сонымен қатар, электромагниттік өрісте зарядталған бөлшектің қозғалысының қолданысына тоқталып өтемін.
Электромагниттік өрістегі зарядталған бөлшектердің қозғалысын зерттеу. Ғылым мен техникада электронды сәулелерді қолдану: электронды және иондық оптика, электронды микроскоп. Зарядталған бөлшектер үдеткіштері.
Жалпы кеңістікте қозғалмайтын зарядтар әсерінен электростатикалық өріс пайда болады, сол сияқты тоғы және тұрақты магниті бар кеңістікте күш өріс пайда болады. Ол магнитті өріс деп аталады.
Біз металдардағы, шала өтқізгіштердегі, вакуум мен газдағы электр тогын туғызатын негізгі процесс электр қозғалыстағы электр зарядтары мен электр өрісінің өз ара әсері екенін көрдік. Енді зарядталған бөлшектердің (электронный, ионның) біртекті және өзгермейтін электр өрісіндегі қозғалысын қарастырайық. Егер epic біртекті болмаса және зарядталған бөлшектердің өз ара әсерін еске алсақ, онда мәселе тіпті қиындайды. Реалды приборларда өpic әрқашан да біртекті болмайды. Бірақ сол өрістің аса бір азғантай көлемін бөліп алсақ, оны біртекті деуге болады.
Магнит өрісінің ерекшеліктеріне келер болсақ,
• Магнит өрісі қозғалыстағы зарядтарға ғана әсер етеді;
• Қозғалыстағы зарядтар магнит өрісін тудырады.
• Магнит өрісі тыныштықта тұрған зарядтарға әсер етпейді.
1. 1 Электр өрісіндегі зарядталған бөлшектің қозғалысы.
Біз металдардағы, шала өтқізгіштердегі, вакуум мен газдағы электр тогын туғызатын негізгі процесс электр қозғалыстағы электр зарядтары мен электр өрісінің өз ара әсері екенін көрдік. Енді зарядталған бөлшектердің (электронный, ионның) біртекті және өзгермейтін электр өрісіндегі қозғалысын қарастырайық. Егер epic біртекті болмаса және зарядталған бөлшектердің өз ара әсерін еске алсақ, онда мәселе тіпті қиындайды. Реалды приборларда өpic әрқашан да біртекті болмайды. Бірақ сол өрістің аса бір азғантай көлемін бөліп алсақ, оны біртекті деуге болады.
Массасы m және заряды e бөлшек жазықтық конденсатордың электр өрісіне v жылдамдықпен ұшсын. Конденсатордың ұзындығы х, өрістің кернеулігі E. Электр өрісінде жоғары қарай қозғалғанда электрон конденсатор арқылы қисық траектория бойымен ұшып өтіп, одан бастапқы бағыттан y-ге ауытқиды. Өріс кернеулігінің әсерінен F = eE = ma, бөлшек тік бойымен үдеумен қозғалады. Демек, бөлшектің осі бойымен тұрақты жылдамдықпен қозғалатын уақытына байланысты. Сонымен зарядталған бөлшек электр өрісінде парабола бойымен қозғалады.
Сонымен бірге, көп жағдайда қозғалыстағы зарядталған бөлшектер бір-бірінен соншалықты қашық келеді, сондықтан тіпті олардың зарядтарының өз ара әсерін ескермеуге де болады. Егер зарядталған бөлшектер өрістің бағытымен орын ауыстырса (бөлшектердің жылдамдық векторы
электр өрісінің кернеулігінің векторымен сәйкес келеді), онда оған кернеулік векторының бойымен бағытталған:
F = qE (1. 1)
күш эсер етеді. Кинетикалық энергияныц өзгеруі туралы теорема бойынша бұл күштің жолдағы жұмысы: A=Fl=mv/2-mv/2=qEt=qU
болады. Мұндағы U - өрістің екі нүктесі арасындағы жол участогын шектейтін потенциалдар айырымы. Екіншіден, Ньютонның екінші заңы бойынша F күш бөлшекке
a=F/m (1. 2)
үдеу береді. Демек, зарядталған бөлшектің электр өрісіндегі қозғалысы үдемелі және бөлшектіқ кинетикалық энергиясы барған сайын артады.
Егер бастапқы жылдамдық нольге тең болса, онда кинетикалық энергия формуласы былай болады:
mv/2=qU (1. 3)
Бұл өрнек үдетуші потенциалдар айырымын (U) жүріп өткен бөлшектің ақырғы жылдамдығын анық-тауға мүмкіндік береді. Ол: V=2q/mU (1. 4)
Электрон үшін: q=e.
Электр өрісінің кернеулігі векторының бағытымен оң зарядқа эсер ететін күштің бағыты сәйкес келеді дедік. Ал электрондар теріс зарядты болғандықтан, электр ерісіндегі оған әсер ететін күш өріске қарсы
бағытталады, демек, осы параграфтағы оірінші фор-муланың оң жақ бөлігіне «минус» таңбасын қою керек. Енді бөлшектің жылдамдық векторы кернеулік векторына бұрыш жасай бағытталсын делік (42-сурет) . Мұнда жылдамдық векторын суретте көрсетілгендей етіп екі құраушыға жіктейміз. Сонда жылдамдықтың бір құраушысы (1. 5)
өрістің бойымен бағытталады. Бұл бағытта Ғ күштің әсерінен бөлшек үдей қозғалады. Ал енді (1. 6)
құраушы жылдамдығының бойымен белшекке күш әсер етпейді, бұл бағытта бөлшек бір қалыпты және түзу сызықты қозғалады. Механикадан белгілі, бұл қарастырылып отырған жағдайда бөлшек парабола бойымен қозғалады.
Егер тоғы бар өткізгішті біртекті магнит өрісіне орналастырсақ, онда оған
Ғ = ВLІsin (1. 7)
күш әсер етеді. Мұндағы В - өрістің магнит индукциясы;
L - өткізгіштің ұзындығы;
I- өткізгіштегі ток күші;
- токтың бағыты мен магнит индукциясы векторының арасындағы бұрыш.
Заряды q бөлшек өріске v жылдамдықпен ұшып кірді және соншалықты аз t уақыт ішінде S жол жүрді дейік. Зарядтың қозғалысы ұзындығы L өткізгіштегі І - ток сияқты. Сондықтан
F =BL q/t sin = qBL/t sin = qBv sin (1. 8)
Магнит өрісінің зарядталған бөлшекке әсер ететін бұл күшін Лоренц күші деп атайды.
Ол: = qBv sin (1. 9)
Ең алдымен бөлшектің жылдамдық векторы индукция векторына перпендикуляр жағдайды (sin = 1) қарастырайық. Лоренц күшінің бағытын анықтау үшін сол қол ережесін пайдаланамыз: ол үшін сол қолдың төрт саусағын жаза ұстап, оларды оң зарядталған бөлшектің жылдамдық векторының бағытымен бағыттап, ал магнит индукциясы векторы алақанға енетіндей етіп орналастырсақ, сонда керіп ұстаған бас бармақ бөлшекке әсер ететін күштің бағытын көрсетеді. Егер зарядталған бөлшек электрон болса, онда қолдың төрт саусағын бөлшек жылдамдығының векторына қарсы бағыттау керек, өйткені токтың бағыты электрондардың орын ауыстыру бағытына қарсы болады.
Бұл айтылғандар күштің өpic индукциясының векторына да, сондай-ақ жылдамдық векторына да перпендикуляр екендігін көрсетеді (43 а-сурет) . Ал егер күш жылдамдық векторына перпендикуляр болса, онда жұмыс нольге тең де, кинетикалык энергия өзгермейді, демек, жылдамдық нольге тең. Сонымен бірге, егер денеге жылдамдық векторына перпендикуляр бір, тек бір ғана күш әсер етсе, онда ол центрге тартқыш күш болатыны бізге механикадан белгілі. Ол мынаған тең:
F=mv/R (1. 10)
1. 2 Магнит өрісінде зарядталған бөлшектің қозғалысы.
Магнит өрісі. Электр зарядтары қоршаған ортада электр өрісі пайда болатыны сияқты токтар мен тұрақты магниттермен қоршаған ортада күш өрісі - магнит өрісі пайда болады.
Айналдырушы күш моменті. M=PB . Бұл B- магнит индукциясы векторы магнит өрісінің сандық мәнін көрсетеді, P - тоғы бар рамканың магнит моменті. P m =ISnp бағыты оң нормальдың бағытымен сәйкес келеді. Сонымен
(2. 1)
1-сурет - магнит өрісінің сипаттамасы және магнит индукция векторы.
Француз оқымыстылары Ж. Био, Ф. Савар тұрақты ток магнит өрістерін зерттей алған ғылыми нәтижелерін математика тұрғысынан тұжырымдап заң түріне келтірген француз математигі мен физигі Лаплас болды.
(2. 2)
Мұнда
r
-
-бөлігінен өрістің А нүктесіне жүргізілген радиус-вектор.
- өткізгіштің кішкене бөлігі.
(2. 3)
(2. 4)
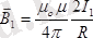
Түзу токтың магнит өрісі. Ұзындығы шексіз жіңішке түзу өткізгіштен ток өтіп жатсын.
Өткізгіш өсінен
R
қашықтықтағы
А
нүктесіндегі
токтың барлық бөліктерінен бағыты бірдей болады және чертеждың жазықтығына перпендикуляр болып (бізге қарап) бағытталады.
қосуды осы себептен олардың модульдерін қосумен алмастыруға болады.
-бұрышы -
,
екенін аламыз. (3-сурет) .
(2. 5)
Тогы бар дөңгелек өткізгіштің центріндегі магнит өрісі .
(2. 6)
Лоренц күші. Магнит өрісіндегі зарядталған бөлшектердің қозғалысы.
Лоренц күші бөлшек жылдамдығының модулі мен өріс индукциясына байланысты. Бұл күш жылдамдыққа перпендикуляр болғандықтан, бөлшектің центрге тартқыш үдеуін анықтайды. Ньютонның екінші заңын пайдаланып бөлшектің шеңбер бойымен қозғалысын қарастырып, оның радиусын анықтауға болады.
Лоренц күші - векторлық шама. Лоренц күші индукция векторлары мен бөлшектің жылдамдығының бағыты перпендикуляр болған кезде өзінің ең үлкен мәнін алады ( α = 90 0 ) .
Лоренц күшінің бағыты сол қол ережесімен анықталады:
Егер магниттік индукция векторы сол қолдың алақанына енсе және төрт саусақ токтың қозғалыс векторының бағыты бойынша созылса, онда үлкен жағына бүгілген бас бармақ Лоренц күшінің бағытын көрсетеді.
Біртекті магнит өрісінде бөлшек шеңбер бойымен қозғалады, ал Лоренц күші центрге тартқыш күш болады. Жұмыс жасалмайды.
Тәжірибеден магнит өрісі қозғалыстағы жеке зарядтарға да әсер етеді екен. Магнит өрісінде
жылдамдықпен қозғалып келе жатқан
q
электр зарядына әсер ететін күш Лоренц формуласымен беріледі.
F=qƲB sinα
(2. 7)
Лоренц күшінің бағыты сол қол ережесімен анықталынады.
F=qE+qƲB
Лоренц күшінің бағыты және осы күштің арқасында зарядталған бөлшектердің магнит өрісіндегі ауытқу бағыты бөлшектердің q зарядының таңбасына тәуелді болады.
Зарядталған бөлшек магнит өрісінде қозғалғанда, Лоренц күші жұмыс істемейді. Сондықтан бөлшек қозғалғанда жылдамдық векторының модулі өзгермейді.
Егер зарядталған бөлшек Лоренц күшінің әсерінен біркелкі магнит өрісінде қозғалса және оның жылдамдығы векторға перпендикуляр жазықтықта жатса, онда бөлшек радиус шеңбері бойымен қозғалады.
Зарядталған бөлшек магнит өрісінде қозғалғанда, Лоренц күші жұмыс істемейді. Сондықтан бөлшек қозғалғанда жылдамдық векторының модулі өзгермейді.
Егер зарядталған бөлшек Лоренц күшінің әсерінен біркелкі магнит өрісінде қозғалса және оның жылдамдығы векторға перпендикуляр жазықтықта жатса, онда бөлшек радиус шеңбері бойымен қозғалады.
qƲB=
,
r=
(2. 8)
Лоренц күші бұл жағдайда центрге тартқыш күш рөлін атқарады
Біртекті магнит өрісіндегі зарядталған бөлшектің айналмалы қозғалысы
Біртекті магнит өрісіндегі бөлшектің айналу кезеңі мынада
(2. 9)
Бұл өрнек берілген m массаның зарядталған бөлшектері үшін орбиталық период υ жылдамдығына және траектория радиусына тәуелді емес екенін көрсетеді.
Зарядталған бөлшектің айналма жол бойындағы бұрыштық жылдамдығы
циклотронды жиілік деп аталады. Циклотрон жиілігі бөлшектің жылдамдығына (демек, кинетикалық энергияға) байланысты емес. Бұл жағдай циклотрондарда - ауыр бөлшектердің үдеткіштерінде (протондар, иондар) қолданылады. Циклотронның принципиалды сызбасы:
Циклотронның вакуумдық камерасындағы зарядталған бөлшектердің қозғалысы
Вакуумдық камера қуатты металл жартылай цилиндрлер тәрізді екі электрод болатын күшті электромагниттің полюстері арасына орналастырылған. Тікендерге айнымалы электр кернеуі қолданылады, олардың жиілігі циклотрондық жиілікке тең. Зарядталған бөлшектер вакуумдық камераның ортасына енгізіледі. Бөлшектер мүйіздер арасындағы электр өрісі арқылы үдетіледі. Еліктердің ішінде бөлшектер Лоренц күшінің әсерінен жарты шеңбер бойымен қозғалады, олардың радиусы бөлшектердің энергиясы өскен сайын өседі. Әрбір бөлік бөлшектердің арасындағы саңылау арқылы ұшқан сайын, оны электр өрісі жылдамдатады. Сонымен, циклотронда, барлық басқа үдеткіштердегідей, зарядталған бөлшек электр өрісі арқылы үдетіліп, траекторияда магнит өрісі арқылы ұсталады. Циклотрондар протондарды 20 МэВ энергияға дейін үдетуге мүмкіндік береді.
Ампер күші
Ампер күші - Ампер заңының негізгі компоненті - электр тоғының өзара әрекеттесу заңы. Онда электр тоғы бір бағытта өтетін параллель өткізгіштерде тартымды күш пайда болады дейді. Ал электр тоғы қарама-қарсы бағытта өтетін өткізгіштерде итергіш күш пайда болады. Сондай-ақ, Ампер заңы магнит өрісінің күшін анықтайтын заң деп аталады, ол ток өткізгіштің кішкене бөлігі емес. Бұл жағдайда ол өткізгіш арқылы өтетін ток тығыздығын өткізгіш орналасқан магнит өрісінің индукциясы бойынша көбейту нәтижесінде анықталады.
Ампер заңынан бастап, егер ток пен магниттік индукция сызығы арасында орналасқан бұрыштың мәні де нөлге тең болса, онда Ампер күші нөлге тең болады деген қорытындыға келеді. Басқаша айтқанда, нөлге жету үшін өткізгіш магнит индукциясы сызығының бойында орналасуы керек.
Бұл магнит өрісі өткізгіштің ток өтетін бөлігіне әсер ететін күш. Өткізгіштің өзі магнит өрісінде. Ампер күші магнит индукциясына көбейтілген өткізгіштегі ток күшіне және өткізгіш бөлігі ұзындығының векторлық көбейтіндігіне тікелей байланысты.
Магнит өрісінің тоғы бар әр түрлі өткізгіштерге әсерін зерттей отырып, Ампер: бойында тоғы бар ұзындығы dl өткізгіш элементіне магнит өрісінде әсер ететін күш ток күші I-ге, өткізгіштің ұзындығы dl элементінің магнит индукциясы
көбейтіндісіне тура пропорционал екендігін тапты
dF=I*[dl*B] (2. 10)
dF=I*B*dl*sinα (2. 11)
- Ампер күшінің өрнегі.
Бұл ереже Ампер күшінің бағытын есте сақтауға көмектеседі. Ереженің өзі осылай естіледі: егер қол сыртқы өрістің магниттік индукциясының сызықтары алақанға енетін күйде болса, ал саусақтар кішкентай саусақтан индекс нүктесіне дейін өткізгіштегі ағым ағынының бағытын көрсетеді, онда 90 градус бұрышпен жұлынған бас бармақ онда өткізгіш элементіне әсер етіп, Ампер күші бағытталған. Бұл ережені қолдануда біраз қиындықтар болуы мүмкін, бірақ егер ток пен өрістің индукциясы арасындағы бұрыш тым аз болса ғана. Осы ережені қолданудың қарапайымдылығы үшін алақан көбінесе вектор емес, магниттік индукциялық модуль (суретте көрсетілгендей) орналасатындай етіп орналастырылады.
Аралықта орналасқан екі шексіз өткізгішті елестетіп көріңіз. Олар арқылы ағымдар өтеді. Егер токтар бір бағытта жүрсе, онда өткізгіштер тартылады. Әйтпесе, олар біреуінен бас тартады. Параллель өткізгіштер құратын өрістер бір-біріне қарама-қарсы бағытталған. Неліктен олар осылай әрекет ететінін түсіну үшін магниттердің немесе сол аттас зарядтардың полюстері әрдайым тежелетінін есте ұстаған жөн. Өткізгіш тудыратын өрістің бағытталған жағын анықтау үшін бұранданың оң жақ ережесін пайдалану керек.
(2. 12)
(2. 13)
Ампер күшінің әрекетін өз көзіңізбен көру үшін сіз үйде шағын тәжірибе жасай аласыз. Алдымен сіз таяқ арасына дирижер орналастыратын така магнитін алуыңыз керек. Суреттегідей бәрін көбейту керек. Егер сіз кілтті жауып тастасаңыз, онда өткізгіштің бастапқы тепе-теңдік нүктесінен қозғала бастайтынын көруге болады. Сіз ток ағынының бағыттарымен тәжірибе жасап, қозғалыс бағытына байланысты өткізгіштің ауытқу бағыты өзгеретінін көре аласыз. Тәжірибенің өзінен жоғарыда айтылғандарды растайтын бірнеше бақылаулар жүргізуге болады: Магнит өрісі тек ток өткізгішке әсер етеді.
Магнит өрісіндегі тогы бар өткізгішке олардың өзара әрекеттесуінің салдары болып табылатын күш әсер етеді. Дәл осы күштің әсерінен магнит өрісінің шекарасында өткізгіш кеңістікте қозғалады. Өзара әрекеттесу сипаты электр тогының кернеуіне және магнит өрісінің күш сызықтарына тікелей байланысты. Өріс ток өткізгішке әсер етпейді, егер өткізгіштегі ток өріс сызықтарының бағытына параллель ағып жатса.
Магнит өріс үшін Гаусс теоремасы.
Электродинамикада магнит өрісі үшін келесі теорема дәлелденді.
Магниттік индукция векторының ерікті тұйық бет арқылы ағымы нөлге тең. Бұл теорема -магниттік зарядтардың болмауының математикалық салдары (магниттік индукция сызықтары басталып, аяқталуы мүмкін) .
Мысалы, Дирак магниттік зарядтар табиғатта болуы керек деген болжамды білдірсе де (Дирак монополиялары) ; әзірге бұл болжамға эксперименттік дәлел жоқ.
Векторлық анализде қолданылатын терминологияға сәйкес Остроградский-Гаусс теоремасы магнит өрісі соленоидты өріс деп аталатындығын көрсетеді.
I тогы бар шексіз ұзын түзу сызықты өткізгіштің магнит өрісін қарастырайық, S тұйықталған бет ретінде базалық радиусы r, цилиндрдің биіктігі һ, ал цилиндр осі өткізгіштің осімен сәйкес келетін түзу дөңгелек цилиндрдің бетін аламыз.
Бұрын айтылғандай, тұрақты токтың магнит өрісінің индукция сызықтары центрлері өткізгіштің осінде жататын концентрлі шеңберлер болып табылады, ал осы шеңберлер жатқан жазықтықтар өткізгішке перпендикуляр болады.
Сондықтан индукция сызықтары цилиндрдің бүйір бетімен де, оның негіздерімен де қиылыспайды.
... жалғасы- Іс жүргізу
- Автоматтандыру, Техника
- Алғашқы әскери дайындық
- Астрономия
- Ауыл шаруашылығы
- Банк ісі
- Бизнесті бағалау
- Биология
- Бухгалтерлік іс
- Валеология
- Ветеринария
- География
- Геология, Геофизика, Геодезия
- Дін
- Ет, сүт, шарап өнімдері
- Жалпы тарих
- Жер кадастрі, Жылжымайтын мүлік
- Журналистика
- Информатика
- Кеден ісі
- Маркетинг
- Математика, Геометрия
- Медицина
- Мемлекеттік басқару
- Менеджмент
- Мұнай, Газ
- Мұрағат ісі
- Мәдениеттану
- ОБЖ (Основы безопасности жизнедеятельности)
- Педагогика
- Полиграфия
- Психология
- Салық
- Саясаттану
- Сақтандыру
- Сертификаттау, стандарттау
- Социология, Демография
- Спорт
- Статистика
- Тілтану, Филология
- Тарихи тұлғалар
- Тау-кен ісі
- Транспорт
- Туризм
- Физика
- Философия
- Халықаралық қатынастар
- Химия
- Экология, Қоршаған ортаны қорғау
- Экономика
- Экономикалық география
- Электротехника
- Қазақстан тарихы
- Қаржы
- Құрылыс
- Құқық, Криминалистика
- Әдебиет
- Өнер, музыка
- Өнеркәсіп, Өндіріс
Қазақ тілінде жазылған рефераттар, курстық жұмыстар, дипломдық жұмыстар бойынша біздің қор #1 болып табылады.

Ақпарат
Қосымша
Email: info@stud.kz