Құрылыс алаңында тірек торын жобалау


ҚАЗАҚСТАН РЕСПУБЛИКАСЫНЫҢ
БІЛІМ ЖӘНЕ ҒЫЛЫМ МИНИСТРЛІГІ
Халықаралық білім корпорациясы
ҚАЗАҚ БАС СӘУЛЕТ-ҚҰРЫЛЫС АКАДЕМИЯСЫ
Сактаганов Кыдырхан Бокенбайулы
«Ақтау қаласы Маңғыстау облысының ауруханасын салу кезіндегі топографиялық-геодезиялық жұмыстар»
ДИПЛОМДЫҚ ЖОБА
5В071100 - «Геодезия және картография» мамандығы
Алматы 2021
ҚАЗАҚСТАН РЕСПУБЛИКАСЫНЫҢ
БІЛІМ ЖӘНЕ ҒЫЛЫМ МИНИСТРЛІГІ
Халықаралық білім корпорациясы
ҚАЗАҚ БАС СӘУЛЕТ-ҚҰРЫЛЫС АКАДЕМИЯСЫ
Құрылы технологиясы, инфраструктурасы мен менеджмент факультеті
МОК. КазГАСА. 5В071100. 41211139
Қорғауға жіберілді
ҚТИМФ деканы
Естемесова А. С.
«___» 2021 ж.
ДИПЛОМДЫҚ ЖОБА
тақырыбы :
«Ақтау қаласы Маңғыстау облысының ауруханасын салу кезіндегі топографиялық-геодезиялық жұмыстар»
5В071100 - «Геодезия және картография»
Жетекші: Рахимбаева Д. Ж.
Нормоконтролер:
Алматы 2021
Кіріспе
Құрылыс салынатын алаңды таңдау кезінде геодезиялық жұмыстарды пайдалана отырып, жобалау жұмыстарына керекті материалдарды жинау, сараптау және жалпылама материалдарды ретке келтіру қарастырылады. Құрылыс алаңында геодезиялық жұмыстар барысында өлшеу мен есептеулер жүргізу. Инженерлік-геодезиялық жобалау құрылыс жобасын өңдеу жұмыстарының кешеніне кіреді және
құрылысты бөлу немесе жобаны жер бетіне шығару деп жобаның
құрылыс жүргізілетін аудандарда геодезиялық жұмыстардың негізінде өлшеу және кез келген инженерлік-геодезиялық жұмыстарды орындау кезінде дәлдік есебі берілген.
Дипломдық жобаға түрткі болған обьекті «Ақтау қаласы Маңғыстау облысының ауруханасын салу кезіндегі топографиялық-геодезиялық жұмыстары болып табылады.
Дипломдық жобаның негізгі мақсаты - жобаланған аурухана құрылысын салу.
- Жер бедерін тегістеу планы
Топографиялық планда жазық алаңды жобалау керек. Бұл алаң сол жердің жер бедерін горизонталының бойымен қиып өтеді. Бұл горизонталды жүргізу үшін, план бетінде жіктеу арқылы бірнеше нүктелерді горизонталдар арасынан табу керек. Мұндай горизонталь нолдік жұмыс сызығына дәл келеді. Басқа қалған жерлерде үю немесе қазу жұмыстарын жүргізу керек.
Көлбеу алаңды жлбалау есептерін шығару бұдан күрделірек. Мұндай жазықтықтың горизонталдары бір-біріне бірдей қашықтықтағы параллель сызықтардан тұрады. Олар үшін қағазға және екі перпендикулярларын тұрғызады және нүктеден төрт рет сызық бойымен ұзындықтары бірдей, сызыққа пареллель сызықтар жүргізеді. Профиль үстіне осы сызықтарды горизонтальдар қимасы және метрлік сызықтар ретінде қабылдайды. Сызықтардың үстіндегі және нүктелердің биіктіктері арқылы оларға сәйкес және нүктелерді табады. Планнан арақашықтығын өлшеп алып, оны нүктеден сызыққа параллель жүргізеді де нүктесін табады. Берілеген нүктелерді түзу сызықпен қосып басқа нүктелерді табады. Тапқан нүктелерді планға ауыстырады. Осы нүктелер арқылы жобаланатын жазықтықтың горизонталы өту керек. Горизонталдардың бағытын анықтау үшін сызық үстінен нүктені табады, олардың биіктігі нүктенің биіктігімен бірдей болу керек.
3. 1 сурет - Нысанның қазу-көму жұмыстарының жобасы
3. 2 кесте
№
Жұмыс атауы
Саны
үйінді (+)
ойық (-)
1
Аумақты жоспарлау
1423
16
2
Көлбеу құрылғы
37
-
3
Құрылғыдан артық топырақ:
кіреберістер, алаңдар, жаяу жүргінші жолдары
-
722
суағар жүйесі
-
70
4
Үйінді көлемінен К=100% тығыздауды түзету
146
-
Барлығы:
1606
808
5
жетіспейтін топырақты қашықтыққа жеткізу, 1 км
-
798
Тепе-теңдік:
1606
1606
Аймақтан тыс
1
Аумақты жоспарлау
-
-
2
кірме жолдардың, алаңдардың құрылғысынан артық топырақ
-
225
Барлығы:
-
225
3
учаскені 100 м қашықтықта жылжыту
225
Тепе-теңдік:
225
225
Берілген нүктелерді қосып, жобаланатын жазықтықтың горизонталдарына параллель сызықтарды табады. Берілген нүктелр арқылы өтетін, оған параллель сызықтар, жобаланатын жазықтықтың горизонтальдары болып есептелінеді. Үстінгі жобалық сызықтардың горизонталдары өтетін нүктелерін табады. Әрі қарай жобалық жызықтың горизонталдарымен, жер бетінің сол горизонтальдарымен биіктіктері бірдей қиылысқан нүктелерін бір-бірімен қосып, нолдік жұмыс сызығын табамыз. Сызылан аудан «үю», ал басқа ашық жерлері «қазу» жұмыстарын атқаратын тұстарына жатады.
- Инженерлік құбырларды нақтылыққа шығару
Жобаны құру, содан соң оны жер бетіне шығару-түсіріс жүргізу мен план жасауға өлшеулерден кейн жер пайдаланудың, жер учаскесінің, алқаптардың шекараларын, жолдарды қағаз бетіне бейнелеу үшін орындалған болса, ал жобаны құруда ең алдымен қағазда жерге бөлу объектілерінің жобалық шекаралары бейнеленеді, содан соң, бұл объектілердің жергілікті жердегі орналасуы жобаны жер бетіне шығару өлшеулерін жургізу жолында анықталынады.
Аурухана салу кезінде инженерлік құбырларды нақтылыққа шығару жобасын құру үшін жер пайдаланушылар мен алқаптар бойынша алып қоюға жататын жер учасккелерінің экспликациялары берілген план, контурлар калькасы, топырықтық, геоботаникалық және басқа да зерттеу материалдары пайдаланылады.
3. 2 сурет - Инженерлік құбырдың жобалық сызбасы
Аурухана салу кезінде инженерлік құбырдың бөлігін нақтылыққа шығару жобасы ауылшаруашылық емес кәсіпорының болашақ даму жоспарының негізгі көрсеткіштері кіретін жобаға тапсырмаға сайкес, экономиакалық және табиғи жағдайларды есепке ала отырып құрастырылады.
Жоғарыда аталған материалдар және жер пайдаланушылардың тілектерінің негізінде планда немесе картада тереторияны ұйымдастырудың құрамдық бөліктерін және элементтерін орналастырудың графикалық жобасын құрады.
Нақтылыққа шығару жобаларында кейде территорияны ұйымдастырудың күрделі кешенді шаруашылықтық сұрақтары шешіледі.
Көптеген жағдайларда олардың дұрыс жобалық шешімі бірнеше вариантты құру мен экономикалық талдаудың натижесінде немесе сызықтық программалау әдісін қолдану арқылы табылады.
Бірінші жобалық шешім болжамды түрде мумкіндігінше қарапайым техникалық құралдар мен тасілдер арқылы жобалаушылардың ойын графикалық тез көрсету ушін жасайды, ал кейн түбегейлі түде жақсартылады.
Сондықтан нақтылыққа шығару жұмысын жасаудың ережесі бойынша екіге бөліп, екі кезенде жасайды.
- Алдынғы немесе эскизді жобаны құру;
- Соңғы немесе техникалық жобаны құру.
Эскиздік жоба, онда нақты орналасу экономикалық негізделген, тереторияны ұймдастырудың негізгі элеметтері арқылы кейбір объектілерді соңғы жобалау әдістері мен тасілдері туралы сұрақтарды шешуге болады.
Сондықтан, эскиздік шешім негізінде соңғы яғни техникалық жоба жасалады, онда жобаланатын объектілердің орналасу дәлдігі және олардың аудандарының дәлдігі қамтамасыз етіледі.
Жоба құрылып және оған тиесілі заңдылық рәсімделгеннен кейн жобаны жер бетіне шығарудың дайындық жұмыстарын, содан соң жобаланған объектілердің барлық нүктелерін, бұрыштарын, сызықтарын, аудандарын жер бетіне шығарудың нақты өзін орындайды.
Жобаны жер бетіне шығарған соң немесе шығару барысында салынған немес салынып жатқан объектілерге жобалаушы ойының жүзеге асуының дұрыстығын және жобаны жузеге асыру кезінде жіберген қателіктерді геодезиялық бақылау мақсатында орындаушылық түсіріс жургізіледі.
Тікелей бұрыштық засечка әдісі. Тікелей резекциясы көпірлер мен гидротехникалық құрылыстар үшін пайдаланылады.
Блгілі болғандай, орташа квадраттық қате шын мәнінде тікелей болып табылады:
(3. 4)
(3. 5)
(3. 6)
(3. 7)
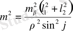
Координата осьтерінің қателіктері мына формуламен есептеледі:
![]()
(3. 8)
болмаса
(3. 9)
Орташа шаршы қателігі әсерінен барынша жоғары нүктесі өзгерістер есептеу ұсынды тікелей резекцией арқылы нүктеден жүзеге үлесін дәлдігін бағалау үшін оның формулаларын салу бұрыштары:
(3. 10)
ең жоғары орташа квадраттық
(3. 11)
Орташа шаршы засечки шамасы табылуы мүмкін
(3. 12)
3. 4 Бас ғимараттың негізгі өлшемдерін нақтылыққа шығару
Негізгі бөлу жұмыстары деп көбінесе бас және негзгі остерді жер бетіне қадалауды айтады. Себебі осы жұмыстар ғимараттар мен құрылымдардың жер бетіне орналасу жағдайын анықтайды. Сонымен бірге бұл түсінікке аралық остердің бас және негізгі остермен қиылысу нүктелерін қадалау кіреді.
3. 3 сурет - Аурухана құрылысының шекаралары
Салынатын аурухана құрылысының түріне және жұмыс ретіне байланысты емес бас және негізгі осьтерді қадалаудың жалпы ортақ қағидалары бар. Ең алдымен бала-бақша құрылысы салынатын алаңда қадалаудың бастапқы берілім жүйесі болу керек. Қадалау жүйесінің негіздері; құрылыс салу ауданының бекітілген шекара сызықтары (аралық жол осьтері, кварталдардың шекаралары және тағы басқа) ; орнықты ғимараттар мен құрылымдардың бұрыштары, кейбір жағдайда алаңның нақтылы жер бетіндегі сұлбасы. есептеліп салынған жобада немесе сызбадарда салынатын осьтерді қадалаудың бастапқы берілім нүктелеріне байланыстыру әдістері көрсетілуі керек. Қадалау элементтерінің мәндерін есептеу үшін, бастапқы берілім нүктелерінің нақтылы координаталары және қадаланбақшы жобалық нүктелерінің координаталары бір жүйеде анықтаулары керек. Егер олар әртүрлі жүйеде берілген болса, онда оларды бір жүйеге келтіру үшін төмендегі формуламен қайта есептейді:
x / i = (x i - x 0 ) cosα - (y i - y 0 ) sinα
y / i = (x i - x 0 ) cosα - (y i - y 0 ) cosα (3. 13)
мұндағы х і және x / i нүктесінің әртүрлі жазық тік бұрышты координаталар жүйесіндегі координаталары; x 0 және y 0 және x және y осьтерімен берілген бұрынғы жүйедегі x / , y / осьтері бар жаңа жүйенің координаталар басы; α - бір жүйенің қарағандағы бұрылу бұрышы.
Нақтылыққа шығару әдісі құрылым түрінен және оны тұрғызу шарттарынан, нақтылыққа шығару әдісін құрудан, атқарушының қолында бар, керекті дәлдікті қамтамасыз ететін аспаптардың барлығына байланысты болады.
Ең алдымен жергілікті жерде бастапқы бағыттары белгіленеді. Олардың біреуінде А және В нүктелері (сурет 1) алынып, содан кейін олардың координаттары графикалық тәсілмен анықталады. Ол үшін құрылыс аумағындағы жобалық негіздің координаттарын қолданады да, S 1 мен S 2 , ß 1 мен ß 2 полярлы координаттары кері геодезиялық есепті шығару бойынша анықталады. Өрескел қателіктердің пайда болмауы үшін жергілікті жерге S 3, ß 3 элементтері бойнша көшіріледі. А, В және с нүктелері бекітілгеннен кейін жергілікті жерде ВАС бұрышы өлшенеді. Кейін істелінген жұмыстың жасалу дәлдігін бұл бұрыштың 90°-тан бастап ауытқуы бойынша білуге болады.
А, В, С нүктелерінің кординаттары басты жоспар бойынша графикалық тәсілмен анықталғандықтан, олардың жоспарға көшірілу дәлдігі 0, 2 - 0, 3 мм- ді құрайды.
Алайда, бұл тәсілмен құрылыс торын салынып жатқан мекемені реконструкциялау немесе үлкейту кезінде көшіруге болмайды. Мұндай жағдайда жаңа құрылыс торы жасалынып қойған тордың жалғасы етіп алған жөн. Егер де ескі тордың белгілері сақталынбаса, жергілікті жерде орналасқан және жаңадан жасалынеып жатқан ғимаратпен техникалық байланыстағы цехтер мен қондырғылардың негізгі остерін қалпына келтіріп, содан соң олар бойынша жаңа құрылыстық торды бөлу қажет.
Жергілікті жерге салынып бекітілген бастарпқы бағыттан құрылыс тордың бөлшектеп бөлінуін белдік және жеңілдету (редуциялау) тәсілдермен жасайды.
Белдік (остік) бөлу тәсілінде құрылыстық торы қолма-қол жергілікті жерде есептік дәлдікпен жобалық элементтерді нақты бөліп шығару арқылы салынады. Ол үшін бекітілген бастапқы бағыттарға сүйене отырып, екі өзара перпендикуляр және шамамен алаң ортасында қиылысатын АВ және АС бағыттарын шығаруға тырысады (сурет2) . Бастапқы бағыттар жергілікті жерде орташа дәлдікпен шығарылғандықтан, ВАС бұрышы тік бұрыштан едәуір айырықшалануы мүмкін. ß бұрышын екі немесе үш әдіспен 2Т2 теодолитімен өлшенеді де, оның Δß = 90°-ß тік бұрышынан ауытқу мөлшерін есептейді. Сонымен қатар, В мен С нүктелерінің орналасуын Δ Sb және Δ Sc сызықтық бағыттары дәлме-дәл перпендикуляр болуы үшін жасайды. Түзетулерді келесі формула бойынша есептейді;
ΔS B = AB 1 * Δß/2ρ;
ΔS c = AC 1 * Δß/2ρ; (3. 14)
Мұның өзінде AB 1 және AC 1 ұзындықтары басты жобада 1 м дәлдікпен алынады.
В және С нүктелерінің түзетілген орындары жергілікті жерде бекітіліп бұл осьтер бойымен жармаларда (створы) теодолит кескіндері бойынша ұзындықтары бірдей тор жақтары салынып қалдырылады. Өлшеулер рулеткамен ленталармен температураны, ылдиды, компорирлеуді ескере отырып жасалынады.
Көлденең салу барлық түзетулерді ескере отырып электрондық тахеометрді қолданған жөн. F, R, D, E ақырғы пункттерде бөлшектеуді жасап біткеннен соң, олардың үстінде тік бұрыштарды салады да, тор перимеирі бойынша бөлшектеуді жалғастырады. Осыдан кейін уақытша белгілерді тұрақты белгілерге ауыстырады да, екі жақты жарықшалар арасында сәйкес пункттер негізгі төрт полигон арасында бөлініп осы торларды толтыратын пункттерге бекітіледі.
Егер құрылыс алаңы кішкентай болып, тор шыңдарының бөлшектенуі үлкен дәлдікпен жасалынған болса, онда тор шыңдары алынған координаттарының жобалық мәндерден сәл ғана ауытқиды. Алайда үлкен торларды бөлшектеу кезінде көптеген қиыншылықтар пайда болады. Есептеу қорытындысы жоба мәнінен мүлдем бөлек болып шығуы мүмкін. Сондықтан белдік тәсілді анағұрлым кішкентай алаңдарда дәлдігі және тор пунктерінің координаттық ауытқулары жобалық мәндерден 3-5 см аралығында болатын алаңдарда жүргізген жөн.
Бөліктеу жұмыстарын жобалау кезінде координаталық пунктері жобалық мәндерден анағұрлым аз ауытқитын торды қолданған тиімді. Мұндай торды жеңілдету (редуциялау) тәсілімен алуға болады.
Жеңілдету тәсілі кезінде торларды ең алдымен жобаға сәйкес 1:1000 - 1:2000 дәлдікпен құрып оны уақытша белгілермен бекітеді. Содан - соң алаңда жобалық торларды жасап, олардың барлық бекітілген тор пункттерінің координаттарын анықтайды.
Үлкен алаңдарда жоспарлық торларды құру бірнеше кезеңдерден тұрады. Басты негіз ретінде триангуляциялық, трилатерациялық торлар мен жарық қашықтықты өлшеуіш полигонометрия немесе бұрыштық - сызықтық торлар алынуы мүмкін. Басты негізді алаңның шеттеріне орналастыруға тырысады; олардың арасында периметр бойынша бірінші реттік жүрістер орналасады, ал бұл жүрістердің өзінде екінші реттік жүрістер орналастырылады.
Бірінші реттік құрылыстық тордың пункттерінің координаттарын анықтаудың ең тиімді тәсілі болып - жарық қашықтық өлшеуішті полигонометрия есептеледі.
Ал екінші реттік торларды жасау кезінде төртбұрыштар тәсілі ең тиімді болып табылады.
Құрылыстық торды алдын ала бөлшектеу 1:1000 - 1:2000 дәлдікпен жасалғандықтан, тор пункттерінің координаттарын теңдестіруден кейін оның мәнднері жобалық мәндерден ауытқуы мүмкін. Жергілікті жерде жобалық пункттердің орналасуын анықтау үшін, жеңілдету жасалады.
Жобалық координаттар бойынша кері геодезиялық есепті шешу арқылы бұрыштық ß және сызықтық l жеңілдету элементі анықталып, оларды уақытша белгілерден алып, тұрақты белгілерге салады. Редуциялау үшін бөліктеу сызбасын құрады да, оған барлық бағыттағы диррекциондық бұрыштар мен жеңілдету элементтері жазылады.
Жеңілдету (редуциялау) келесідей орындалады. Уақытша белгінің үстіне, жұмыс қалпына келтіріліп теодолит орнатылады, мысалы А´. А´В´ бағытынан жеңілдетудің (редуцияның) ß А бұрыштық элементі салынады да, А´А бағыты бекітіледі. Осы бағыттың бойымен рулетканың көмегімен редуцияның l А сызықтық элементі салынады. Осылайша, координаттары жобалық мәндеріне сәйкес А нүктесінің жергілікті жерде орналасуын білеміз. Құрылыстық тордың барлық пункттерін да осылайша жеңілдетеді (редуциялайды) .
Тордың жеңілдетілген (редуцияланған) пункттерін тұрақты белгілермен бекітеді. Бұл белгілер - темір - бетон монолиттері немесе бетондалған рельс кескіндері, металл құбырлары және т. с. с. болып табылады. Олардың үстіне өлшемдері 200 ×200 мм-ден тұратын ма ркалар немесе металл пластиналар бекітіліп пісіріледі. Тұрақты белгіні орнату кезінде редуцияланған пункттың қалпын жоғалтпас үшін келесідей әрекеттер жасалады. Белгіні орнатпас бұрын, пункттың орналасуын (1 және 2) қазықшаларға ілінген екі жақты жармалармен (створами) бекітіледі. Белгіні орнатқаннан кейін, қазықшалардың үстіңгі шеттеріндегі таңбалары бойынша шектер (леска) тартылып, белгідегі тор шыңының орналасуын қалпына келтіреміз.
Торды тұрақты белгілермен бекіткеннен кейін, шешуші (ақырғы) өлшеулер орындалады. Сызықтық өлшеулерді таңдау тәсілі арқылы орындайды. Әдетте тордың неғұрлым әлсіз жерлеріндегі бөлек жақтарының ұзындықтарын тексереді (екінші реттік жүрістер арасында) . Шешуші бұрыштық өлшеулерді шахматтық ретте орналасқан пункттерде орындайды. Бұл тордың барлық жақтарын қамту үшін жасалады.
Өлшеулердегі болмай қалмайтын қателердің әсерінен шешуші өлшеу қателігі теориялық өлшеулерден ауытқиды. Бұл ауытқулар жақтардың ұзындықтарында 20 мм-ден, ал тік бұрыштарда 40''-тан аспауы шарт.
Егер шешуші өлшеулердің нәтижесінде ауытқулар байқалмаса, онда келесіде, құрылыстарды бөлшектеу кезінде жобалық мәндерге сәйкес тор пункттерінің координаттарын қабылдайды. Ал жақтары арасындағы бұрыштарын тік қып алады.
Құрылыс торының пункттері бойынша III - IV классты нивелирлеу жүрістерін салады. Бұл жағдайда құрылыс торы биіктіктік негіз ретінде болады.
- Жолдар, соқпақтар мен алаңшаларды бөлшектеу
Құрылыс алаңында жолдарды, соқпақтар мен алаңшаларды бөлу жұмыстары геодезиялық жұмыстардың бірі болып саналады. Жобалық берілімдерді жер бетіне нақтылы түсірулер, геодезиялық жұмыстардың бастамастан бұрын жобалық берілімдерді алдын-ала дайындау жұмыстары атқарылады. Қадалау сызбалары жұмыс орнына шығар алдында әр жұмысқа бөлек жасалады. Бұл сызбалар белгілі бір құрылыс элементтерінің барлық мәліметтерін қамту керек. Бөлу жұмыстарын жеңілдету үшін әдетте қадалау остерін тіркейді және қадалау остерін анықтап бекітеді (сурет. ) .
3. 4 сурет - Ғимарат остерін көше нүктелеріне байланыстыру
Құрылысты бөлу жұмыстары үш кезеңде жүргiзiледi. Бiрiншi кезеңде негiзгi бөлу жұмыстары жүзеге асады. Геодезиялық негiз пунктерiнен байланыстыру мәлiметтерiне сәйкес жергiлiктi жерде басты бөлу осьтерiнiң орнын табады және оларды белгiлермен бекiтедi. Басты осьтерге негiзделiп бөлу жұмыстарын жүргiзедi және құрылыстың негiзгi осьтерiн белгiлейдi. Дегенмен iрi құрылыстарды салу үшiн локальдi бөлу торларын құру қажеттiлiгi туындауы мүмкiн. Екiншi кезеңде ғимаратты бөлшектi құрылыстық бөлу жұмыстары жасалады. Басты және негiзгi осьтердiң бекiтiлген нүктелерiнен жобалық биiктiк деңгейiне нүктелер мен жазықтықтарды орнатумен бiрге, көлденең және бойлық осьтердi жүргiзедi. Құрылыс элементтерiнiң өзара орналасуын анықтайтын бөлшектiк бөлу құрылыстың тек жалпы жағдайы мен бағдарын ғана анықтайтын негiзгi осьтерiн бөлуге қарағанда дәлiрек жасалады. Егер жергiлiкте жерде негiзгi осьтер 3-5 см қателiкпен анықталса, негiзгi және бөлшектiк осьтерi 2-3 мм дәлдiкпен жүргiзiледi Үшiншi этап технологиялық осьтердi бөлу болып табылады. iргетас құрылысын бiткеннен кейiн құрылым мен технологиялық құрылғыны жобалық орынға орнату үшiн монтаждық (технологиялық) осьтерiн жүргiзедi және бекiтедi. Бұл этап геодезиялық өлшеулердiң ең жоғарғы дәлдiгiн талап етедi (1-0, 1 мм) [1] . Құрылыс осьтерiн монтаждық горизонттарға шығару екi дәстүрлi әдiспен орындалады. Олар көлбеу және тiк проекциялау әдiстерi. Бiрiншi әдiс тығыз құрылыстануға байланысты тек төменгi қабат құрылысында ғана қолдануға болады. Осы себепке байланысты екiншi әдiстi де қолдану қиын. Бастапқы нүктенiң бұндай жағдайында төменгi қабаттан жоғарыға тiктеуiшпен немесе зенит-аспаппен сәуле түсiрiледi. Сондықтан соңғы уақытта құрылыс объектiлерiн салуды геодезиялық бақылау үшiн электрондық тахеометрлер көп қолданылады. Бөлу жұмыстарына біз Швейцария (Leica) өндiрген тахеометр қолданылады. Электронды тахеометр көмегiмен геодезиялық жұмыстардың келесi түрлерi орындалады:
- Горизонталь бұрыштарды және ара қашықтықтарды өлшеу;
- Топографиялық түсiрiс;
- Бөлу жұмыстары;
- Керi засечка;
- Іс жүргізу
- Автоматтандыру, Техника
- Алғашқы әскери дайындық
- Астрономия
- Ауыл шаруашылығы
- Банк ісі
- Бизнесті бағалау
- Биология
- Бухгалтерлік іс
- Валеология
- Ветеринария
- География
- Геология, Геофизика, Геодезия
- Дін
- Ет, сүт, шарап өнімдері
- Жалпы тарих
- Жер кадастрі, Жылжымайтын мүлік
- Журналистика
- Информатика
- Кеден ісі
- Маркетинг
- Математика, Геометрия
- Медицина
- Мемлекеттік басқару
- Менеджмент
- Мұнай, Газ
- Мұрағат ісі
- Мәдениеттану
- ОБЖ (Основы безопасности жизнедеятельности)
- Педагогика
- Полиграфия
- Психология
- Салық
- Саясаттану
- Сақтандыру
- Сертификаттау, стандарттау
- Социология, Демография
- Спорт
- Статистика
- Тілтану, Филология
- Тарихи тұлғалар
- Тау-кен ісі
- Транспорт
- Туризм
- Физика
- Философия
- Халықаралық қатынастар
- Химия
- Экология, Қоршаған ортаны қорғау
- Экономика
- Экономикалық география
- Электротехника
- Қазақстан тарихы
- Қаржы
- Құрылыс
- Құқық, Криминалистика
- Әдебиет
- Өнер, музыка
- Өнеркәсіп, Өндіріс
Қазақ тілінде жазылған рефераттар, курстық жұмыстар, дипломдық жұмыстар бойынша біздің қор #1 болып табылады.

Ақпарат
Қосымша
Email: info@stud.kz