ТЕҢСІЗДІКТЕРДІ СТАНДАРТ ЕМЕС ТӘСІЛДЕРМЕН ДӘЛЕЛДЕУ


КІРІСПЕ
Елбасының Н. Ә. Назарбаевтың «Қазақстан экономикалық, әлеуметтік жолдауында - "XXI ғасырда білімін дамыта алмаған елдің тағырыққа тірелері анық. Біздің болашақтың жоғары технологиялық ғылыми қамтылды. өндірістер мен мекемелер үшін мамандар қорын жасақтыруымыз керек. Қазақстан жоғарғы оқу орындары элемдік стандарттар деңгейінде білі беру қажет. Және жетекші оқу орындарының дипломдары күллі әлемге танылуға тиіс. Олар мұны істеуге міндетті. Бәрі де мектептен басталады "-деген.
Мектеп - бұл оқушы тұлғасы мен санасының дамуы қуатты жүретін ерекше құнды, қайталанбайтын кезеңі, себебі келешек елеміздің сауатты да, салауатты азаматының түрлі қасиеттері осы мектепте қаланады.
Сондықтан балалардың математикалық білімін дамытудың бір жолы-ол есеп шығару. Есеп шығару оқушылардың логикалық ойлауын, теориялық практикамен, оқытуды өмірмен байланыстыруға мүмкіндік береді және математикалық ұғымдар қалыптасады, яғни есеп шығару арқылы балалар танымдық және тәрбиелік тұрғыдан алғанда маңызды факторлармен танысады.
Зерттеудің мақсаты: - математика сабағында теңсіздіктерді стандарт және стандарт емес тәсілдермен дәлелдеу арқылы оқушылардың ой-өрісін дамыту жолдарын ғылыми тұрғыда негіздеп, әдістемесін жасау.
Зерттеудің өзектілігі: - егер теңсіздіктерді стандарт және стандарт емес тәсілдермен дәлелдеу арқылы оқушылардың ой-өрісі дамытылатын болса, онда олардың математикадан білім деңгейі жоғарылайды, өйткені пәнге деген қызығушылығы қалыптасады .
Зерттеудің ғылыми жаңалығы: - математика сабағында теңсіздіктерді стандарт және стандарт емес тәсілдермен дәлелдеу арқылы оқушылардың ой-өрісін дамыту жолдары мен әдістерін ғылыми тұрғыда негіздеу.
Зерттеудің объектісі - оқушыларға математиканы оқыту үдерісі.
Зерттеу пәні - математика сабағында теңсіздіктерді стандарт және стандарт емес тәсілдермен дәлелдеу арқылы оқушылардың ой-өрісін дамыту жолдары мен әдістері.
Зерттеудің міндеттері -
1. Зерттеу тақырыбына байланысты әдебиеттермен танысып, оларға ғылыми-әдістемелік тұрғыдан шолу жасау;
2. Математика сабағында теңсіздіктерді стандарт және стандарт емес тәсілдермен дәлелдеу арқылы оқушылардың ой-өрісін дамыту мүмкіндіктерін дамыту;
3. Математика сабағында теңсіздіктерді стандарт және стандарт емес тәсілдермен дәлелдеу арқылы оқушылардың ой-өрісін дамыту әдістемесін және тиімділігін тексеру.
Зерттеудің практикалық құндылығы: - Математиканы оқытуда; пәндерді байланыстыра оқыту әдістемесін жетілдіруде; математика мамандығы студенттерінің математиканы оқыту әдістемесі пәніне арнайы курстарда, студенттердің педагогикалық іс-тәжірибесінде көмекші құрал ретінде пайдалануға болады.
Диплом жұмысының құрылымы : Кіріспеден, үш негізгі бөлімнен, қорытындыдан және пайдаланылған әдебиеттер тізімінен тұрады
1 ТЕҢСІЗДІКТЕР ЖӘНЕ ОЛАРДЫ СТАНДАРТ ТӘСІЛДЕРІ
- Теңсіздіктер және олардың қасиеттері
Өзара құрамында мына белгілердің
(үлкен),
(үлкен не тең; кіші емес),
(кіші),
(кіші не тең; артық емес),
0 (тең емес) біреуі бар екі өрнекті (санды)
теңсіздіктер
деп атайды.
Екі жағы да бірдей алгебралық өрнектер болып келетін теңсіздіктерді алгебралық теңсіздіктер деп атайды.
Мынадай теңсіздіктер жұбы
және
және
және
және
бірдей мағыналы теңсіздіктер
деп аталады.
Ал мынадай теңсіздіктер жұбы
және
және
және
және
қарама-қарсы мағыналы теңсіздіктер деп аталады.
Мысалы, 8
4 және 9
6 - бірдей мағыналы теңсіздіктер, ал
және
- қарама-қарсы мағыналы теңсіздіктер.
Мұнда
және
белгілерін қатаң, ал
және
белгілерін қатаң емес теңсіздіктер деп атайды.
Нақты сандар өрісінің тәртіптілік қасиеті бар: кез келген екі нақты санның бірі екіншісінен не үлкен, не тең, не кіші болады. Бұл қатыстарды
таңбаларымен белгілейді. Сонда
нақты сандар болса, онда олар арасында мына қатыстың
тек бірі орындалады.
қатыстарын теңсіздіктер дейді.
ол теңсіздіктің мүшелері делінеді.
деген,
мен
-ның айырымы оң сан,
деген
мен
-ның айырымы теріс сан деген сөз.
мен
теңсіздіктерін бір мағыналы, ал
мен
теңсіздіктерін қарама-қарсы мағыналы теңсіздіктер дейді. Олар қатаң теңсіздіктер болады.
Олармен қатар, қатаң емес
теңсіздіктер қарастыры-лады.
теңсіздігі
болғанда да,
болғанда да дұрыс, ал
болғанда дұрыс емес.
,
екі теңсіздіктің орнына
немесе
қос теңсіздігін пайдалануға болады. Сандық теңсіздіктердің мынадай қасиеттері бар:
- Егерболса, ондаболады. Бұл теңсіздіктің қайтымсыздық қасиеті.
- Егерболса, онда кез келгенүшінболады.
- Егерболса, ондаболады. (Бұл теңсіздіктің транзитивтік қасиеті) .
- Егерболса, ондаболады.
- Егерболса, ондаболады.
Егер
болса, онда
болады.
- Егерболса, онда кез .
- Егерболса, ондаболады.
- Егерболса, ондаболады.
- Егерболса, онда кез келген натурал санүшінболады. , ондаболады.
- Егерболса, онда кез келген натурал санүшінболады.
- Егерболса, онда кез келген натурал санүшінболады.
- Егерболса, онда кез келген натурал санүшінболады.
Сан модуліне арналған кейбір теңсіздіктерді дәлелдейік.
- Кез келгенсаны үшінболады.
Шешуі:
болса, онда
ал
болса, онда
болатындықтан
қатаң теңсіздігі орындалады. Сонымен
болған екі жағдай үшін
болады.
- Кез келгенжәнесандары үшінболады.
Шешуі: 13 бойынша
болады, оларды қоссақ 5
қасиет бойынша:
болып шығады. Ал,
болғандықтан, қоссақ
.
Сонда
мен
-ден
болады. Мұндағы
теңдік
болғанда орын алады.
15. Кез келген
және
сандары үшін
болады.
Шешуі:
болады. Бұған 14 пайдалансақ:
, бұдан
.
Екі нақты санды өзара салыстыру үшін түрлі әдістер қолданылады.
- Егер екі бүтін сан берілсе, онда олардың қайсысының екіншісінен үлкен не кіші екенін ажырату тікелей анықталады.
- Екі бөлшек сандарды салыстыру үшін, олардың не алымдарын, не бөлімдерін бірдей күйге келтіру керек.
және
бөлшектерін ортақ бөлімге
келтірсек және
болса, онда
болар еді де, қысқартқаннан соң
болып шығады.
1-мысал.
және
бөлшектерін салыстыру үшін, ортақ бөлімге
келтіреміз
және
.
болғандықтан
, бұдан
болады.
3. Түбірлерді (радикалдарды) салыстыру үшін, түбірлердің дәрежелерін теңестіріп, түбір астындағы санды салыстыру керек.
Мәселен,
болса, мына
және
күйге келтіріп
болса, онда
болады да,
болып шығады.
2-мысал.
түбірлерін салыстыру үшін, түбір дәрежелерін,
тең күйге келтіреміз. Сонда
болып
болғандықтан
, бұдан
болып
шығады.
- Логарифмді салыстырғанда мыналарды ескеру керек:
а)
болғанда, егер
болса,
болады.
б)
болғанда, егер
болса
болады.
3-мысал.
Бірінші теңсіздікте
, екінші теңсіздікте
4-мысал.
. Егер
деп жорысақ, онда
болар еді. Түрлендірсек
болар еді.
Бұл теңсіздік дұрыс емес, сондықтан
Дәл осы есепті былайша да салыстыруға болады, әр түбірді жеке-жеке бағалаймыз:
Бұдан қай түбірлер қосындысының үлкен екендігі байқалмайды. Өйткені 6 мен 8-дің арасында жатқан сан 7 мен 9-дың арасында жатқан саннан кіші болады деуге болмайды. Мәселен, бірінші 7, 9 екіншісі 7, 5 болуы мүмкін. Сондықтан, енді ол қосылғыштарды 0, 1 дәлдікте бағалаймыз.
Бұдан екінші қосылғыштың көп екені көрінеді, оның аз мәнінің өзі бірінші қосылғыштың артығымен алынған мәнінен көп болып кетті:
Сонымен
5-мысал
.
және
сандарын салыстыру
керек:
Ал,
Сонымен
мен
аралықта жатыр екен.
аралықтың қақ ортасы
. Берілген сандар
немесе
аралықтың қайсысында жататынын анықтаймыз:
дейік, онда
Бұл дұрыс теңсіздік. Сондықтан
яғни
аралықта жатады екен.
Енді
дейік, онда
Бұл дұрыс емес теңсіздік. Сондықтан
Сонымен
болып шығады.
6-мысал
.
және
сандарын салыстырыңдар:
және
алгебралық өрнектердің мүмкін мәндері облысына кіретін
жиынынан алынған сандарға сай келетін
өрнегінің сан мәні сол сандарға сай келетін
өрнегінің сан мәнінен үлкен (кіші) болатын болса,
теңсіздігі
жиынында теңбе-тең теңсіздік делінеді.
Мысалы:
теңсіздігі нақты сандар жиынында теңбе-тең теңсіздік болады, өйткені
-тың кез келген нақты мәнінде бұл теңсіздік дұрыс теңсіздік.
Егер
жиыны берілмесе, онда теңбе-тең теңсіздік ол теңсіздікке кіретін өрнектердегі мүмкін мәндері жиынында қарастырылады.
Алгебралық өрнектерде де қатаң теңсіздіктермен
қатар, қатаң емес теңсіздіктер
қарастырылады. Қатаң емес
теңсіздікте бұл өрнектердің мүмкін мәндері облысына кіретін
жиынынан алынған сандарға сай келетін
өрнектерінің сан мәндері не тең, не
-ның сан мәні
-ның сан мәнінен үлкен деп түсіну керек.
Теңбе-тең теңсіздіктердің мынадай қасиеттері бар.
алгебралық өрнектерінің мүмкін мәндері облысынан алынған
жиынында:
- болса, ондаболады.
- болса, ондаболады.
- болса, ондаболады.
- болса, ондаболады.
- болса, ондаболады.
- болса, ондаболады.
- болса, ондаболады.
- болса, ондаболады.
- болса, ондаболады.
- болса, ондаболады. -натурал сан.
- болса, ондаболады. -натурал сан.
- болса, ондаболады. -натурал сан.
- болса, ондаболады. -натурал сан.
- болса, ондаболады. -натурал сан.
- болса, ондаболады. -натурал сан.
Бұл келтірілген қасиеттер
теңсіздіктері үшін де дұрыс. Көптеген жағдайда теңсіздіктердің берілген жиынында немесе ол теңсіздіктерге кіретін алгебралық өрнектердің мүмкін мәндері жиыны облысында теңсіздіктердің дұрыс, не қате екенін дәлелдеуге тура келеді.
Дәлелдеу түрлі жолмен іске асады. Ол жолдардың кейбіреулеріне мысалдар келтірейік.
1. 2 Теңсіздікті оның анықтамасына сүйеніп дәлелдеу.
Теңсіздіктің анықтамасы бойынша
болу ұшін
болуы жеткілікті. Сондықтан
және
алгебра-лық өрнектері үшін
екенін көрсету үшін
айнымалылар-дың қарастырылып отырған жиыннан алынатын кезкелген сан мәндері үшін
екенін дәлелдеу керек.
1-мысал.
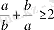
Таңбалас кез келген екі нақты санның бір-біріне қатынастарының қосындысы 2 -ден кем болмайтындығын, яғни
болса, онда
болатындығын дәлелдеңіздер?
Шешуі: Мына айырымды қарастырамыз.
Бұл өрнек
болса оң, ал
болса нөлге тең. Сондықтан
дұрыс теңсіздік.
2-мысал
. Екі оң нақты санның арифметикалық ортасы, сол сандардың геометриялық ортасынан кем болмайды, яғни
болса, онда
болады(Коши теңсіздігі) .
Дәлелдеуі. Айырымын қарастырамыз.
Соңғы өрнек кез келген
сандары үшін оң, ал
болса нөл. Сондықтан
теңсіздік дұрыс.
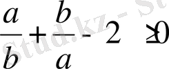
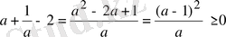
3-мысал
. Оң сан үшін
болатындығын шешіңіз.
Дәлелдеуі
. Айырымы
Бұл кез келген
үшін оң сан. Сондықтан
теңсіздік дұрыс. Тепе-теңдік тек
болғанда орындалады.
4-мысал
.
теңсіздігін дәлелдеңіздер.
Дәлелдеуі
. Айырма
кезкелген нақты сан
үшін оң сан болады. Сондықтан,
дұрыс теңсіздік.
5-мысал
. Кез келген оң сандар үшін
теңсіздігінің дұрыстығын дәлелдеңіздер.
Дәлелдеуі.
Айырым
Бұл кез келген
үшін оң сан. Сондықтан берілген теңсіздік дұрыс.
Берілген сандар жиынында қарастырылатын теңсіздіктің екі жағының да сандық мағынасы болатын теңсіздіктің құрамына енетін әріптердің мүмкін мәндерін теңсіздіктің мүмкін мәндері деп атайды.
Мысал-1. Теңсіздіктің мүмкін мәндерін табыңдар:
.
Шешуі
. Егер
яғни
болса, онда теңсіздіктің сол жағының мағынасы болады. Егер
болса, теңсіздіктің оң жағының мағынасы болады.
Жауабы:
Теңсіздіктегі әріптердің мүмкін мәндері:
Теңсіздіктің құрамына енетін әріптердің барлық мүмкін мәндерінде дұрыс болатын теңсіздіктерді теңбе-тең теңсіздіктер деп атайды.
Анықтама
.
Егер
болса, онда
саны
санынан үлкен (кіші) деп атайды. Оларды сәйкесінше былай жазады:
.
Теңсіздіктердің қасиеттері
Теңсіздіктердің негізгі қасиеттері төмендегі теоремалар арқылы өрнектеледі.
Теорема 1. Егер
болса, онда
болады (
қайтымсыздық қасиеті
) .
Шешуі:
Айталық
болсын, онда
болады. Сонда
- ға қарама-қарсы сан теріс таңбалы сан болады, яғни
бұдан
болады.
Сонымен, теңсіздіктің бұл қасиетінің дұрыстығы дәлелденді.
Теорема 2. Егер
және
болса, онда
болады
(транзитивтік қасиеті) .
Шешуі:
Шарт бойынша
- оң таңбалы сан, және
-оң таңбалы сан; олардың қосындысы
саны да оң таңбалы. Демек,
(анықтама бойынша) .
Теорема 3. Егер
болса, онда
болады.
Шешуі:
Айталық,
яғни
болсын. Сонда
бұдан
болатындығы айқын.
Сонымен, теңсіздіктің бұл қасиетінің дұрыстығы да дәлелденді.
Салдар. Теңбе-тең теңсіздіктің мүшелерін оның бір жағынан екінші жағына қарама-қарсы таңбамен шығаруға болады.
Теорема 4. Егер
және
болса, онда
болады.
Шешуі:
Айталық,
, яғни
және
болатындықтан, екі оң санның көбейтіндісі де оң сан болады, яғни
бұдан
болады.
Сонымен, теңсіздіктің бұл қасиетінің дұрыстығы да дәлелденді.
Салдар. Егер
және
болса, онда
болады.
Теорема 5. Егер
және
болса, онда
болады.
Шешуі:
Айталық,
яғни,
және
болатындықтан, оң таңбалы сан мен теріс таңбалы санның көбейтіндісі теріс таңбалы сан болатындықтан,
бұдан
болады.
Сонымен, теңіздіктің бұл қасиетінің дұрыстығы да дәлелденді.
Салдар. Егер
және
болса,
болады.
Теорема 6. Егер
және
болса, онда
болады, яғни бірдей мағыналы теңсіздіктерді қосқанда сондай мағыналы теңсіздік шығады.
Шешуі:
Айталық,
және
, яғни
және
болсын. Сонда екі оң таңбалы санның қосындысы да оң таңбалы сан болатындықтан,
бұдан
болады.
Сонымен, теңсіздіктің бұл қасиетінің дұрыстығы да дәлелденді.
Теорема 7. Егер
және
болса, онда
болады, яғни қарама-қарсы мағыналы теңсіздіктерді алғанда шегеретін азайғыш теңсіздікпен мағыналас теңсіздік шығады.
Шешуі:
Айталық,
және
яғни
және
яғни
болсын. Сонда екі оң таңбалы санның қосындысы да оң сан болатындықтан,
бұдан
болады.
Сонымен, теңсіздіктің бұл қасиетінің дұрыстығы да дәлелденді.
Теорема 8. Егер
және
мұнда
,
,
,
болса, онда
болады, яғни мүшелері оң бірдей мағыналы теңсіздіктерді көбейткенде сондай мағыналы теңсіздік шығады.
Шешуі:
теңсіздігінің екі жағында бірдей
-ға көбейтіп табатынымыз:
теңсіздігінің екі жағында бірдей
-ға көбейтіп табатынымыз:
Транзитивтік қасиет бойынша
Теорема 9. Егер
және
мұнда
,
,
,
болса, онда
болады, яғни мүшелері оң қарама-қарсы мағыналы теңсіздіктерді мүшелеп бөлгенде бөлгіш теңсіздікке мағыналас теңсіздік шығады.
Шешуі:
Шынында да,
өйткені
,
яғни
болатындықтан,
яғни
және екі оң таңбалы санның көбейтіндісі ретінде
болады, олай болса,
бұдан
болады.
Теорема 10. Егер
мұндағы
,
және
- натурал сан болса, онда
болады, яғни мүшелері оң теңсіздіктің екі жағында бірдей натурал дәрежеге шығарғанда берілген теңсіздікке мағыналас теңсіздік шығады.
Шешуі:
Расында да, теңсіздіктің бұл қасиетінің дұрыстығына мағыналас теңсіздіктерді өзара мүшелеп
рет көбейту арқылы көз жеткізуге болады.
Теорема 11. Егер
мұндағы
,
және
- натурал сан болса, онда
болады, яғни мүшелері оң теңсіздіктің екі жағынан бірдей натурал көрсеткішті түбір тапқанда, берілген теңсіздікке мағыналас теңсіздік шығады.
Теореманың дұрыстығы қарсы жору әдісімен оп-оңай дәлелденеді [82] .
Теңсіздіктерді бұл тәсіл бойынша дәлелдеу «артық» және «кіші» ұғымдарының тікелей анықтамасына негізделген және теңсіздіктің сол жағы мен оң жағында тұрған айырманың таңбасын анықтауға арналған.
Бұл тәсіл бойынша
теңсіздігін дәлелдеудің орнына берілген теңсіздіктің мүмкін мәндеріне
теңсіздігінің орындалатындығын көрсету жеткілікті. Ал,
теңсіздігін дәлелдеудің орнына сәйкес
теңсіздігін дәлелдеу қажет.
Сонымен, бұл тәсіл бойынша
немесе
теңсіздігінің ақиқаттығын көрсету үшін
айырмасын құрып, оның таңбасын зерттеу қажет. Сонда, егер
онда
ал егер
болса, онда
болады.
Енді осы тәсілге бірнеше мысалдар қарастырайық.
1-мысал
.
теңсіздігін шешіңіз.
Дәлелдеуі.
. Олай болса, берілген теңсіздік кез келген
үшін орындалады.
Сонымен, теңсіздіктің дұрыстығы дәлелденді.
2-мысал
. Кез келген
және
сандары үшін
теңсіздігі орындалатынын шешіңіз.
Шешуі:
болғандықтан, берілген теңсіздік анықтама бойынша дұрыс.
Сонымен, теңсіздіктің дұрыстығы дәлелденді.
3-мысал
. Егер
,
болса, онда
теңсіздігі орындалатынын шешіңіз.
Шешуі:
Анықтама бойынша, егер
болса, онда
теңсіздігінің ақиқаттығы шығады:
.
Сонымен, теңсіздіктің дұрыстығы дәлелденді.
4-мысал
. Барлық
және
үшін
теңсіздігінің орындалатындығын шешіңіз.
Шешуі:
Айырманың таңбасын анықтайық:
. Сонда
,
болғандықтан, бұл бөлшектің теріс таңбалы емес екендігі айқын. Олай болса, егер
,
болса, онда
және
, демек,
теңсіздігі орындалады.
Сонымен, теңсіздіктің дұрыстығы дәлелденді.
5-мысал
. Теңсіздікті шешіңіз:
, мұндағы
.
Шешуі: Айырманың таңбасын қарастырамыз:
,
бұл айырма
болғанда, теріс таңбалы емес. Сондықтан теңсіздіктің анықтамасы бойынша
теңсіздігі ақиқат.
6-мысал
. Кез келген нақты
,
,
сандары үшін
теңсіздігінің орындалатынын шешіңіз.
Шешуі: Теңсіздіктің екі жағын да бірдей 2-ге көбейтіп, сондағы шыққан айырманы қарастырайық:
.
Олай болса,
.
7-мысал
.
болғанда,
теңсіздігі орындалатынын шешіңіз.
Шешуі:
Айырманың таңбасын қарастырамыз:
.
Сонда
,
болғандықтан, бұл айырма теріс таңбалы емес. Сондықтан берілген теңсіздік анықтама бойынша дұрыс.
8-мысал
. Коши теңсіздігін шешіңіз:
, мұндағы
,
(оң сандардың арифметикалық ортасы олардың геометриялық ортасынан кем емес) .
Шешуі: Айырманың таңбасын қарастырамыз:
.
Сонда
,
болғанда,
болатындықтан, бұл айырма оң таңбалы, яғни теріс таңбалы емес. Сондықтан берілген теңсіздік анықтама бойынша дұрыс.
9-мысал
. Теңсіздікті шешіңіз:
.
Шешуі:
екендігін ескеріп, айырманың таңбасын анықтаймыз:
.
Сонда
,
болғандықтан, бұл айырма оң таңбалы, олай болса, берілген теңсіздік анықтама бойынша дұрыс.
10-мысал . Теңсіздікті шешіңіз:
.
Шешуі:
Теңсіздіктің айырымын
деп белгілеп, оның таңбасын қарастырамыз:
.
Сонда
,
,
,
болғандықтан, бұл айырма оң таңбалы, олай болса, берілген теңсіздік анықтама бойынша дұрыс.
11-мысал.
Теңсіздікті шешіңіз:
.
Шешуі: Айырманың таңбасын қарастырамыз:
.
Сонда
болғандықтан, бұл айырма теріс таңбалы емес. Олай болса, берілген теңсіздік анықтама бойынша дұрыс.
2 ТЕҢСІЗДІКТЕРДІ СТАНДАРТ ЕМЕС ТӘСІЛДЕРМЕН ДӘЛЕЛДЕУ
2. 1 Теңсіздікті оның мүшелерін жуықтап бағалау тәсілімен дәлелдеу
Бұл әдісті кейде теңсіздікті «күшейту» немесе «бәсеңдету» әдісімен дәлелдеу деп те атайды. Бұл әдісте берілген теңсіздіктің мүшелерін жоғарыдан немесе төменнен бағалау арқылы дәлелдейді. Айталық, бізге
теңсіздігін дәлелдеу керек болсын. Сонда егер де біз
және
теңсіздіктерін дәлелдей алсақ, онда теңсіздіктің транзитивті қасиеті бойынша
теңсіздігі дәлелденген болып шығады. Бұл әдісті теңсіздікті «күшейту» әдісімен дәлелдеу деп атайды.
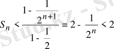
1-мысал
. Кез келген
үшін
теңсіздігі орындалатындығын шешіңіз.
Шешуі:
екендігін ескеріп, теңсіздіктің сол жағын бағалаймыз:
- еселігі
-ге тең геометриялық прогрессияның
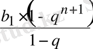
мүшесінің қосындысы. Оның қосындысы мынаған тең:
екені белгілі.
Сонда
болғандықтан, кез келген
үшін
.
2-мысал
. Теңсіздіктің дұрыстығын шешіңіз:
.
Шешуі:
теңдігін пайдаланып табатынымыз:
.
Сөйтіп,
теңсіздігінің дұрыстығы дәлелденді.
3-мысал
. Кез келген натурал
саны үшін
теңсіздігі орындалатындығын шешіңіз.
Шешуі:
екені айқын. Сондықтан
.
Олай болса,
теңсіздігі ақиқат.
4-мысал
. Теңсіздікті шешіңіз:
.
Шешуі:
;
болсын.
екені айқын. Сонда
. Бұдан
.
5-мысал
. Теңсіздікті шешіңіз:
.
Шешуі:
,
, . . . ,
. Осы теңсіздіктерді мүшелеп қосып табатынымыз:
.
6-мысал
.
және
шарттарын қанағаттандыратын кез келген нақты
,
,
,
сандары үшін
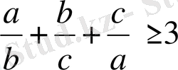
теңсіздігі орындалатындығын шешіңіз.
Шешуі: Теңсіздікті «күшейту» әдісі арқылы дәлелдейік. Модульдің қасиеті мен Коши теңсіздігін қолданып табатынымыз:
.
Сонымен, берілген теңсіздіктің дұрыстығы дәлелденді.
7-мысал
. Егер
болса, онда
теңсіздігі орындалатындығын шешіңіз.
Шешуі: Коши теңсіздігін қолданып, берілген теңсіздікке енетін әрбір түбірді бағалаймыз:
.
Осы сияқты,
,
.
Осы теңсіздіктерді мүшелеп қосып табатынымыз:
.
Берілген теңсіздіктің дұрыстығын дәлелдеу үшін соңғы теңсіздікте теңдік белгісінің орындалмайтындығын көрсетуіміз қажет.
Шынында да, теңдік белгісі мына теңдіктер бір мезгілде орындалған жағдайда ғана болуы мүмкін:
,
,
, яғни
,
,
болғанда.
Онда
шарты орындалмайды.
Сөйтіп,
, дәлелдеу керегі де осы еді.
Сонымен, берілген теңсіздіктің дұрыстығы дәлелденді.
8-мысал
. Теңсіздікті шешіңіз:
.
Шешуі:
,
болсын. Сонда
,
, . . . ,
болатындықтан
. Олай болса,
.
9-мысал
. Теңсіздікті шешіңіз:
.
Шешуі: Әрбір қосылғыштың бөліміндегі иррационалдықты жойып табатынымыз:
.
10-мысал
. Теңсіздікті шешіңіз:
, мұндағы
,
.
Шешуі: Дұрыс бөлшектің қасиетін пайдаланып табатынымыз:
.
Теңсіздікті «бәсеңдету» тәсілімен дәлелдеу деп берілген теңсіздіктен оған қарағанда бәсең теңсіздікке көшу әдісін айтады. Айталық, бізге
теңсіздігін дәлелдеу керек болсын. Сонда егер де біз
және
теңсіздіктерінің дұрыстығын көрсете алсақ, онда теңсіздіктің транзитивті қасиеті бойынша
теңсіздігі дәлелденген болып шығады.
Енді осы әдіске мысалдар келтірейік.
11-мысал . Енді біз жоғарыдағы қарастырылған 6 -мысалды «бәсеңдету» әдісі арқылы дәлелдейік.
Есептің шарты бойынша
және
екенін ескеріп, мынаны табамыз:
, өйткені
,
,
,
-ның кез келген нақты мәндерінде
өрнегі тек теріс емес мәндер қабылдайды. Соңғы арақатыстан
екені шығады.
Сонымен, берілген теңсіздіктің дұрыстығы дәлелденді.
12-мысал.
Егер
,
,
болса, онда
болатындығын шешіңіз. .
Шешуі:
Анығырақ болу үшін
болсын.
,
деп белгілейік.
екенін ескереміз, бұдан
. Сонда берілген теңсіздік мынадай түрге келеді:
.
13-мысал
. Теңсіздікті шешіңіз:
.
Шешуі:
Есептің шарты бойынша:
.
Сонда
болатындықтан,
теңсіздігі орындалады.
14-мысал
. Теңсіздікті шешіңіз:
.
Шешуі: Теңсіздіктің сол жағында тұрған өрнекті түрлендіріп табатынымыз:
.
Сонда
болатындықтан,
, олай болса,
болады.
15-мысал
. Кез келген натурал
саны үшін
теңсіздігі орындалатындығын шешіңіз.
Шешуі:
Кез келген натурал
саны үшін
болатындықтан,
.
16-мысал
.
болатынын шешіңіз.
Шешуі:
Бөлшектің бөлімі артқан сайын, оның шамасы кіші болатындықтан,
.
Сонымен, берілген теңсіздіктің дұрыстығы дәлелденді.
Рационал сандарды салыстыру үшін теңсіздіктің екі бөлігін де 1 санынан азайту әдісін қолданған тиімді.
... жалғасы- Іс жүргізу
- Автоматтандыру, Техника
- Алғашқы әскери дайындық
- Астрономия
- Ауыл шаруашылығы
- Банк ісі
- Бизнесті бағалау
- Биология
- Бухгалтерлік іс
- Валеология
- Ветеринария
- География
- Геология, Геофизика, Геодезия
- Дін
- Ет, сүт, шарап өнімдері
- Жалпы тарих
- Жер кадастрі, Жылжымайтын мүлік
- Журналистика
- Информатика
- Кеден ісі
- Маркетинг
- Математика, Геометрия
- Медицина
- Мемлекеттік басқару
- Менеджмент
- Мұнай, Газ
- Мұрағат ісі
- Мәдениеттану
- ОБЖ (Основы безопасности жизнедеятельности)
- Педагогика
- Полиграфия
- Психология
- Салық
- Саясаттану
- Сақтандыру
- Сертификаттау, стандарттау
- Социология, Демография
- Спорт
- Статистика
- Тілтану, Филология
- Тарихи тұлғалар
- Тау-кен ісі
- Транспорт
- Туризм
- Физика
- Философия
- Халықаралық қатынастар
- Химия
- Экология, Қоршаған ортаны қорғау
- Экономика
- Экономикалық география
- Электротехника
- Қазақстан тарихы
- Қаржы
- Құрылыс
- Құқық, Криминалистика
- Әдебиет
- Өнер, музыка
- Өнеркәсіп, Өндіріс
Қазақ тілінде жазылған рефераттар, курстық жұмыстар, дипломдық жұмыстар бойынша біздің қор #1 болып табылады.

Ақпарат
Қосымша
Email: info@stud.kz