Химиялық реакцияның жылдамдығы


Жоспар:
I Кіріспе
II Негізгі бөлім
2. 1. Химиялық реакцияның кинематикасы
2. 2. Химиялық реакцияның жылдамдығы
2. 3. Химиялық тепе- теңдік константасы
2. 4. Әрекеттесуші массалар заңы.
Қорытынды
Пайдаланылған әдебиеттер
Кіріспе
Химиялық кинетиканың негізгі міндеті - химиялық реакциялардың жүру механизмі мен реакция жылдамдығын зерттеу болып табылады.
Жүйенің басқа бөліктерінен бөліну беті арқылы оқшауланған, оның кез келген нүктесінде материалдық дүниенің физика-химиялық қасиеттері бірдей болатын жүйенің бір бөлігі фаза деп аталады. Фаза санына байланысын реакцияларды гомогенді (бір фазада) және гетерогенді (екі немесе одан да көп фазада) деп бөледі.
Химиялық реакцияларды кинетикалық зерттеу екі түрлі мақсатта жүргізіледі:
1) реакция жылдамдығының концентрацияға тәуелділігін;
2) реакцияның кинетикалық параметрлерін (жылдамдық, жылдамдық константасы, активтендіру энергиясы) ;
Негізгі бөлім
Химиялық реакцияның жылдамдығы деп уақыт бірлігінде жүйедегі жүретін реакциялардың элементар актісіндегі зат концентрациясының өзгерісін (гомогенді реакция) айтады.
{моль ∙л
-1
∙с
-1
}
Ал, гетерогенді реакция үшін - оның элементар актісіндегі фазаның бөліну бетінде концентрацияның уақыт бірлігіндегі өзгерісін айтады.
формуладағы S -меншікті беттік аудан, бұл шама неғұрлым кіші мәнді болса, яғни бөлшек ұсақ болса, реакция жылдамырақ жүреді.
Бұл формулалардағы таңбалар реакция жылдамдығын реакция нәтижесінде түзілген зат концентрациясымен есептегенде оң таңбалы, себебі уақыт өткен сайын ол зат концентрациясы артады. Ал реакцияға қатысқан зат концентрациясының өзгерісі бойынша теріс таңбалы болады, себебі реакцияға қатысқан зат концентрациясы уақыт өткен сайын азаяды.
Зат концентрациясының уақытқа байланысты өзгерісін көрсететін графикті кинетикалық қисығы деп атайды.
Заттар концентрациясының уақытқа тәуелділігі
Реакция жылдамдықтарының мәні әртүрлі болады. Ең баяу жүретін реакцияларға геохимиялық өзгерістер жатады. Олар мыңдаған жылдар бойы жүре береді, ал өте тез жүретіндері - қопарылысты реакциялар, олар көзді ашып жұмғанша-ақ өте шығады.
Реакция жылдамдығы әр түрлі факторларға: зат табиғатына, оның концентрациясына, катализатор (өршіткі) қатысына, температураға; егер әрекеттесетін заттың агрегаттық күйі газ болса - қысымға, ал кристалды зат болса, оның беттік ауданына және т. б. тәуелді(реакция жүретін ыдыс формасына, жарық интенсивтілігіне, әрекеттесуші заттарды араластыру жылдамдығына) .
Химиялық кинетиканың негізгі заңы
Әрекеттесуші заттар концентрациясының әсері.
Кинетикалық есептеулерге қолданылатын концентрация - молярлы. Ерітіндінің молярлы концентрациясы (С(х) ) деп, ерітіндінің бір литріндегі еріген заттың мөлшерін көрсететін шаманы айтады (моль/л) .
Осы заңдылығын зерттеген ғалымдар Гульдберг-Вааге әрекеттесуші массалар заңын ашты.
Температура тұрақты болғанда реакция жылдамдығы әрекеттесуші заттар концентрацияларының көбейтіндісіне (коэффициенттерін ескереміз) тура пропорционал.
Реакция жылдамдығының концентрацияға байланысын көрсететін теңдеуді реакцияның кинетикалық теңдеуі деп атайды.
aA + bB = dD
мұндағы υ р - реакция жылдамдығы,
К - жылдамдық константасы,
С А , С В - А, В заттарының концентрациялары,
а, b - теңдеудегі стехиометриялық коэффициенттер теңдеудегі С А =С В =1 моль/л болса, υ=К, олай болса, жылдамдықтың константасының физикалық мағынасы - әрекеттесуші заттар концентрациялары 1 моль/л болғандағы реакция жылдамдығы келіп шығады.
Реакция жылдамдығына температура әсері
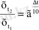
Атом-молекулалық ілім тұрғысынан температура артқан сайын молекулалардың қозғалыс жылдамдығы артып, олардың бір-бірімен соқтығысу дәрежесі артатыны түсінікті. Ал, осының заңдылығы Вант-Гофф ережесімен анықталады.
Температураны әрбір 10 о С-қа арттырған сайын реакция жылдамдығы 2-4 есе артады.
Бұл ереженің математикалық өрнегі:
мұндағы
,
- әр түрлі температурадағы реакция жылдамдығы,
t 2 >t 1 , γ - температуралық коэффициент, оның мәні 2-4 аралығында болады.
Молекулалардың кез келген соқтығысуы реакцияға әкеліп жеткізбейді, тек химиялық белсенді молекулалар соқтығысы реакцияның жүруіне себепші болады, олай болса, молекулалар өзара әрекеттесуі үшін олардың белгілі бір энергия қоры болуы қажет.
Химиялық әсерлесу актін жүзеге асыруға қажетті минимальды энергия қорын активтендіру энергиясы (Е а ) деп атайды, ол әрекеттесетін зат табиғатына байланысты болады. Активтендіру энергиясы неғұрлым үлкен болса, реакция жылдамдығы аз және керісінше Е акт мәні кіші болса, реакция жылдамдығы жоғары болады.
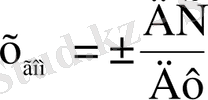
Температура артқан сайын химиялық белсенді молекулалар саны артады. Осындай молекулалар соқтығысы жалпы соқтығысатын молекулалар санына тәуелді. Жылдамдық константасы мен активтендіру энергиясының байланысын Аррениус формуласы береді:
K = A· e -EA/RT
Мұнда, А - тұрақты шама, температураға байланыссыз.
Егер логарифмдесек:
IgK = lgA -
Сонда теңдеуі y = ax+b түзуінің теңдеуіндей болады. Осыдан lgK - 1/T арасындағы байланыс графигін құрып, активтендіру энергиясының сандық мәнін анықтауға болады.
Жылдамдық константасы екі температурада берілсе:
Екі теңдікті бірінен екіншісін алсақ:
lg K
lgA α
1/T•10 3
α
1/T•10 3
lg K
lg A
а ә
Реакцияның активтендіру энергиясын анықтауға арналған
lnA - 1/T арасындағы байланыс. а - эндотермиялық үдеріс, ә - экзотермиялық үдеріс.
Активтендіру энергиясы химиялық реакциялар үшін 40-400 кДж/моль аралығында болады.
Реакция жылдамдығына катализатор әсері, катализ түрлері
Катализатор деп реакция нәтижесінде жұмсалмайтын, бірақ реакция жылдамдығына әсер ететін затты айтады.
Катализатор қатысында жүретін химиялық үдерістерді катализ дейді.
Катализдің бірнеше түрі бар:
а) оң және теріс катализ,
ә) гетерогенді және гомогенді катализ,
б) автокатализ,
в) биокатализ.
Енді, осылардың әрқайсысына жеке тоқталайық. Оң катализ кезінде катализатор реакция жылдамдығын арттырса, теріс катализде - кемітеді. Теріс катализде қолданылатын катализаторды ингибитор деп атайды.
Теріс катализ кезінде реакцияның активтену энергиясының шамасы артады ал, оң катализ кезінде активтендіру энергиясының шамасы кемиді.
Сонда, катализатор реакцияның активтендіру энергиясының шамасын өзгертеді. Активтендіру энергиясының шамасы неғұрлым кіші мәнді болса, реакция жылдам жүреді, үлкен мәнді болғанда реакция жылдамдығы баяулайды, өйткені энергетикалық барьер артады.
Гетерогенді және гомогенді катализ реакцияға қатысушы заттармен пайдаланатын заттың агрегаттық күйіне байланысты.
Мысалда V 2 O 5 - кристалды зат, ал әрекеттесуші және түзілген зат - газдар болуына байланысты бұл гетерогенді катализге жатады. Ал, осы реакцияны жылдамдығына әсер ету үшін азоттың (ІІ) оксидін (газ) пайдалансақ - гомогенді катализ болады.
Гомогенді катализдің жүруін аралық химиялық белсенді заттың (кешенді қосылыс) пайда болуы арқылы түсіндіреді.
Катализатор А мен В затымен химиялық белсенді кешенді қосылыс түзеді:
А + Kt → AKt
соңынан осы зат екінші реагентпен әрекеттескенде катализатор босап шығады:
Ал, гетерогенді катализді адсорбциялық теория түсіндіреді. Адсорбция деп фазааралық бөліну бетінде заттың өздігінен шоғырлануы. Біздің республикамызда осы теорияның негізін салушылардың бірі академик Д. В. Сокольский мектебі Отанымыздың екінші астанасы Алматыда катализдер институты жұмыс істейді.
Бұл жағдайда да катализатор бетінің химиялық белсенді нүктелеріне әрекеттесуші зат молекуласы адсорбцияланып, аралық химиялық белсенді қосылыс түзеді, ал келесі сатысында катализатор босап шығады.
Катализатордың химиялық белсенділігі реакциялық жүйеде кездесетін бөтен заттардың қатысына да байланысты. Оның химиялық белсенділігін арттыратын, бірақ өзі катализатор болмайтын заттарды активатор немесе промотор деп атайды. Мысалы аммиак синтезі үшін пайдаланылатын катализаторлар (Fe, Mo, W, Co, Ni) қиын балқитын оксидтер (Al 2 O 3 , Cr 2 O 3 , MgO) қатысында реакция жылдамдығы артады. Катализатордың химиялық белсенділігін кемітетін заттарды катализатор уы деп атайды, олар катализатордың химиялық белсенділігін қайтымды тіпті қайтымсыз да етіп істен шығаруы мүмкін.
Гетерогенді катализдің қалалардағы ауаны автокөліктердің шығаратын улы газдарының мөлшерін азайту үшін маңызы зор. Мұндай катализатордың уы бензин құрамындағы қорғасын антидетонатор ретінде қосылатын затта болады.
Катализатор қайтымды улануы кезінде катализатор арқылы әрекеттесуші заттың жаңа порциясын (бөлімін) өткізсе болады, ал қайтымсыз уланғанда регенерациялап, немесе катализаторды жаңалауға тура келеді.
Автокатализ кезінде реакция кезінде шыққан өнімнің біреуі сол реакцияға катализатор болады.
NH 4 OH + HCl → NH 4 Cl + HOH
NH
3
+ HCl
NH
4
Cl
Бұл реакцияда су катализатор ролін атқарады.
Биокатализ - жан-жануар және адам организмінде асқазанда жүретін әртүрлі ферменттер қатысында жүретін күрделі реакциялар.
Ал, өсімдіктер дүниесінде олардың жапырақтарында күн сәулесі әсерінен пайда болатын хлорофилл дәндерінің әсерінен жүретін реакцияларды жатқызуға болады. Мысалы, суға ерітілген бір кесек қант бөлме температурасында бірнеше күн тұрса да еш өзгеріссіз қалады. Ал адам ағзасында қант тез тотығып, негізінен көмірқышқыл газы мен суға айналады.
C 2 H 22 O 11(c) + 12O 2(г) → 12CO 2(с) + 11H 2 O (с)
Бұл үдерістің жүруіне ағзада болатын ферменттер деп аталатын ерекше белокты молекулалы өршіткілер әсер етеді.
Химиялық тепе- теңдік константасы
Химиялық реакцияның тепе-теңдік константасы әрекеттесуші заттардың концентрациясына тәуелділігін бірінші байқаған орыс ғалымы А. Н. Бекетов болды. Кейіннен бұл заңдылықты Норвегия ғалымдары Гульдберг және Вааге тұжырымдаған. Егер әрекеттесуші заттарды А және В деп, ал реакция өнімін С және Д деп белгілесек, онда А және В арасындағы қайтымды реакция мынадай түрде болады.
A+B→ C+Д
Химиялық реакцияның жылдамдығы реакцияласушы заттардың концентрациясының көбейтіндісіне тура пропорционал.
[A] [B] ; [A] =1 және [B] =1;
мұндағы, k1-пропорционалдық коэффициенті (жылдамдық константасы), ол әрекеттесуші заттардың табиғатына, температураға, қысымға тәуелді; [А], [B] - әрекеттесуші заттардың концентрациясы, моль/л.
Реакцияның бірінші кезеңінде бастапқы заттардың (А және В заттарының) концентрациясы басым келеді, сондықтан тура реакцияның жылдамдығы жоғары болады. Жүйеде реакция өнімі С және Д болып, оның концентрациясы өскен сайын кері реакцияның жылдамдығы артады.
v2= k2[C] [Д]
мұндағы к2-кері реакцияның пропорционалдық коэффициенті (жылдамдық константасы) .
Бір уақыт кезеңінде тура және кері реакциялардың жылдамдықтары бір - біріне тең болады:
V1= V2
яғни жүйеде тепе-теңдік орнайды, сонда:
k1[ A] [B] =k2 [C] [Д]
;
мұндағы, k1, k2-тұрақты шамалар, сондықтан тұрақты шама болады.
Кайтымды реакцияларда реакция нәтижесінде түзілген заттардың концентрациясы көбейтіндісінің реакцияға дейінгі алынған заттардың концентрациясының көбейтіндісіне бөлгенде шығатын тұрақты шаманы тепе-теңдік константасы немесе концентрациялық константа деп атайды да , әріпімен белгілейді.
Константаның мәні температураға, әрекеттесуші заттардың табиғатына тәуелді, бірақ әрекеттесуші заттардың концентрациясына тәуелсіз.
Константаның физикалық мәні, яғни жылдамдығы k1/k2 қатынасы тура реакцияның жылдамдығынан неше есе артық екенін көрсетеді. Константа мәнінен реакция қандай бағытта жүретіндігін анықтауға болады.
Егер >1 болса, тура реакция жүреді, ал <1 болғанда кері реакция басым болады. Мысалы = , бұл тура реакцияның жылдамдығы кері реакцияның жылдамдығынан 1000 есе артық екендігін көрсетеді. Егерде Кс=10-5 болса, онда кері реакцияның жылдамдығынан 1 есе кем болғандығы. Кейде мәнінің орнына рК константа көрсеткішін қолданады:
pK=-lgK
Мысалы, рК>0 кері реакцияның жылдамдығы басым, ел рК<0 тура реакцияның жылдамдығы жоғары.
Егер де мынадай реакция жүретін болса:
aA+bB cC+dD
Онда бұл жүйенің тепе-теңдік константасы мына теңдеумен анықталады:
c, d, а, в - стехиометриялық коэффициенттер.
Әрекеттесуші массалар заңын қышқылдық-негіздік тепе теңдікте қолдану
Заттардың қышқылдық немесе негіздік қасиеттері көбіне аналитикалық реакциялардың бағытын анықтайды. Қышқылдық негіздік қасиет-қосылыстардың маңызды аналитикалық және қасиеттері болып табылады. Ерітіндіде диссоциацияланғанда H+ иондарын түзетін заттар қышқылдар деп аталады.
Бұл процестің тепе-теңдік тұрақтысы Ка тең. Мұны қышқылдардың диссоциация тұрақтысы деп атайды. Қышқыл күшті болған сайын Ка мәні жоғары болады. Ыңғайлы болуы үшін тұрақтылық көрсеткішін жиі қолданамыз pKi=-IgKa, мәні күшті кышқылдар үшін теріс мән, ал әлсіздер үшін-оң, мәні қыщқылдылық төмендеген сайын өседі.
ЭОН қосылысы үшін элементтің электртерістілігі төмендеген сайын, Э - О байланысы арқыл ы диссоциация жүреді. Бұл жағдайда негіздер туралы айтады.
Бұл процестің тепе-теңдік константасы Кд мына түрде беріледі:
Кд-негіздің диссоциациялану константасы деп аталады. Кд мені жоғарылаған сайын негіздің күші өседі: Кейбір гидроксидтерде Э(ОН) п Э-элементі мен Н-атомдарының электртерістігінің мәндері жақын болса, онда Э-О және О-Н байланыстарында бірдей диссоциация жүруі мүмкін, мұндай гидроксидтер бірдей қышқылдық және негіздік қасиетке ие болады.
... жалғасы- Іс жүргізу
- Автоматтандыру, Техника
- Алғашқы әскери дайындық
- Астрономия
- Ауыл шаруашылығы
- Банк ісі
- Бизнесті бағалау
- Биология
- Бухгалтерлік іс
- Валеология
- Ветеринария
- География
- Геология, Геофизика, Геодезия
- Дін
- Ет, сүт, шарап өнімдері
- Жалпы тарих
- Жер кадастрі, Жылжымайтын мүлік
- Журналистика
- Информатика
- Кеден ісі
- Маркетинг
- Математика, Геометрия
- Медицина
- Мемлекеттік басқару
- Менеджмент
- Мұнай, Газ
- Мұрағат ісі
- Мәдениеттану
- ОБЖ (Основы безопасности жизнедеятельности)
- Педагогика
- Полиграфия
- Психология
- Салық
- Саясаттану
- Сақтандыру
- Сертификаттау, стандарттау
- Социология, Демография
- Спорт
- Статистика
- Тілтану, Филология
- Тарихи тұлғалар
- Тау-кен ісі
- Транспорт
- Туризм
- Физика
- Философия
- Халықаралық қатынастар
- Химия
- Экология, Қоршаған ортаны қорғау
- Экономика
- Экономикалық география
- Электротехника
- Қазақстан тарихы
- Қаржы
- Құрылыс
- Құқық, Криминалистика
- Әдебиет
- Өнер, музыка
- Өнеркәсіп, Өндіріс
Қазақ тілінде жазылған рефераттар, курстық жұмыстар, дипломдық жұмыстар бойынша біздің қор #1 болып табылады.

Ақпарат
Қосымша
Email: info@stud.kz