Өзеннің жылдық ағындысын есептеу

 
    
1. Өзеннің жылдық ағындысын есептеу
Су шаруашылығы мәселелері су ресурстарын кешенді пайдалану кезінде, яғни берілген аумақтың су ресурстарын экономиканың барлық салаларын қамтамасыз ете отырып пайдаланғанда ұтымдырақ шешіледі.
Су ресурстарын сарқылып кетуден және ластанудан сақтау ұтымды пайдалану кезінде өте маңызды рөл атқарады. Басқа маңызды бағыттарының бірі судың қатерлі әсерімен күресу. Нақтырақ айтқанда: су басумен, сел көшкінімен, топан сумен, тасқын, су эррозиясымен, өзен˗көлдің жағалауларын шайып кетумен, жардың пайда болуымен, қар жылжуымен, қар басумен күресудегі инженерлік шараларды дамыту және территорияны инженерлік қорғау, т. б.
Осылайша жоғарыда көрсетілген барлық тапсырмалардың шешімін табу үшін есептік қамтамасыздықтың су ағындысын анықтау қажет. Мұнда негізгі гидрологиялық сипаттамалар болып келесі тізімдегілер есептеледі:
- Су шығыны - Q, м3/с;
- Су көлемі -V, W, м3;
- Ағынды модулі - q, М, л/(с ∙км2) ;
- Ағынды қабаты - h, мм.
Есептік қамтамасыздықтың су шығыны мына формулалар арқылы анықталады:
Q p = Q o ∙ k p , ( 1 )
W p = W o ∙ k p , ( 2 )
h p = h o ∙ k p , ( 3 )
M p = M o ∙ k p , ( 4 )
Мұнда: Q o , W o , h o , M o - (норма) су өтімінің орташа көпжылдық өлшемдері:
Q o - орташа көпжылдық су өтімі, (норма, ) м 3 /с;
W o - орташа көпжылдық су көлемі, (норма) м 3 ;
h o - орташа көпжылдық ағынды қабаты, (норма) мм;
M o - орташа көпжылдық ағынды модулі, (норма) л/(с ∙км 2 ) ;
k p - Р% есептік қамтамасыздықтың су өтімінің модульдік коэффициенті. Есептеу жолы:
k p = f ( C v , C s , p%), ( 5 )
Мұнда: C v - ағынның вариация коэффициенті;
C s - ағынның ассиметрия коэффициенті;
P - ағынның қамтамасыздық коэффициенті, %.
Өз кезегінде негізгі гидрологиялық сипаттамалар бір˗бірімен келесі көрсеткіштер арқылы байланысты:
W o
=Q o ∙ Т, м 2 ( 6 ), л/(с ∙км 2 ) ( 7 )
немесе , л/(с ∙км 2 ) ( 8 )
 
 

, мм ( 9 )
Мұнда : F - су жинау алабы, км 2 ;
T- уақыт интервалы (жыл - 31, 5∙10 6 с, ай - 2, 63∙10 6 с, күн - 86400 с) .
Есептік қамтамасыздықтың су өтімін анықтау үшін ағынның статистикалық параметрлерін (қамтамасыздық қисығының параметрлері) табу керек:
 Ағын нормасы -
  немесе W
 
  o
 
 , h
 
  o
 
 , M
 
  o
 
 ; вариация коэффициенті -
 немесе W
 
  o
 
 , h
 
  o
 
 , M
 
  o
 
 ; вариация коэффициенті -
  ; Асимметрия коэффициенті-
 ; Асимметрия коэффициенті-
  ; Корреляция коэффициенті -
 ; Корреляция коэффициенті -
  . Жалпы алғанда су өтімінің статистикалық параметрлерінің жылдық өлшемдерін анықтауда ағын жайлы ақпараттардың болуының келесі жағдайлары бар, соған байланысты гидрологиялық сипатттамаларды есептеу тәсілдері де:
 . Жалпы алғанда су өтімінің статистикалық параметрлерінің жылдық өлшемдерін анықтауда ағын жайлы ақпараттардың болуының келесі жағдайлары бар, соған байланысты гидрологиялық сипатттамаларды есептеу тәсілдері де:
а) гидрометриялық бақылау мәліметтері жеткілікті болуы;
б) гидрометриялық бақылау мәліметтері жеткіліксіз болуы;
в) гидрометриялық бақылау мәліметтері мүлде болмауы.
1. 1. Жылдық ағынды үлестірімі қисығының параметрлерін моменттер әдісімен бағалау
Гидрометриялық бақылау уақыты (қатары) жеткілікті болған жағдайда ГЕС анықтау жыл сайынғы ағындының асып кету ықтималдылығының үлестірімінің аналитикалық функциясын пайдалана отырып табылады. Бақылау қатары жеткілікті болып есептеледі, егер: қарастырылып отырған кезең толық кезеңді сипаттай алса (репрезетативті) және қарастырылып отырған гидрологиялық сипаттаманың есептік мәнінен салыстырмалы орташа квадраттық қателік өлшемі 10%˗дан аспауы қажет.
Қатардың статистикалық сипаттамасының кездейсоқ қателіктері (әдетте орташа квадраттық қателікпен бағаланады) «n» қатардың санына және қарастырылып отырған кездейсоқ өлшемнің (таңдалған мәндер бойынша анықталатын белгісіз параметрлерді қоса алғанда) үлестірім заңына байланысты. Практикалық есептеулерде үлкен қателіксіз келесі формулаларды қолдануға болады. Бақылау қатарының статистикалық сипаттамаларының салыстырмалы орташа квадраттық қателіктері формуласы:
 (10)
 (10)
 (11)
 (11)
 (12)
 (12)
 (13)
 (13)
 Мұнда:
  - вариация коэффициенті;
 - вариация коэффициенті;
 - корреляция коэффициенті;
 - корреляция коэффициенті;
n - бақылау жылдарының саны.
 Бақылау қатарларының статистикалық сипаттамалырының кездейсоқ қателіктерін бағалау статистикалық сынақ (Монте - Карло әдісі) әдісімен алынады.
  және
 және
  статистикалық сипаттамаларын анықтау (≤10%) үлкен дәлдікпен тек бақылау қатары n 100˗ден асқанда. Сондықтан практикада кейде
 статистикалық сипаттамаларын анықтау (≤10%) үлкен дәлдікпен тек бақылау қатары n 100˗ден асқанда. Сондықтан практикада кейде
  және
 және
  гидрологиялық біртекті аудандағы бір топқа жататын өзендердің бақылау қатары ұзағырақ болып табылатындарын қоса отырып, мәндерінің орташасын алады. Және де үлкен дәлдікпен салыстырмалы орташа квадраттық қателікті
 гидрологиялық біртекті аудандағы бір топқа жататын өзендердің бақылау қатары ұзағырақ болып табылатындарын қоса отырып, мәндерінің орташасын алады. Және де үлкен дәлдікпен салыстырмалы орташа квадраттық қателікті
  бен
 бен
  
 кезінде екінші және үшінші факторларды (10 және 11) формулада алып тастаса, есептеуге ыңғайлы.
 кезінде екінші және үшінші факторларды (10 және 11) формулада алып тастаса, есептеуге ыңғайлы.
 Онда:
  (14)
 (14)
 (15)
 (15)
Бақылау мәліметтері болған жағдайда су өтімінің статистикалық параметрлерінің жылдық өлшемдерін келесі әдіспен анықтайды:
 Шындыққа жақын әдісі; моменттер әдісі; графо-аналитикалық әдіс ( Г. А. Алексеев әдісі) . Практикалық есептеулерде
  <0, 5 болған жағдайда моменттер әдісін пайдаланған дұрыс, сәйкесінше
 <0, 5 болған жағдайда моменттер әдісін пайдаланған дұрыс, сәйкесінше
  > 0, 5 болғанда ең үлкен шынайылық әдісі, ал графо˗аналитикалық әдіст
 > 0, 5 болғанда ең үлкен шынайылық әдісі, ал графо˗аналитикалық әдіст
  ˗ның кез келген мәнінде қолдануға келеді
 ˗ның кез келген мәнінде қолдануға келеді
1˗ Тапсырма. Қақпатас өзені - Қақпатас өзені сағасынан 1, 0 км жоғары аумақ тұстамасындағы жылдық су өтімін берілген қамтамасыздық мәні Р (Р = 95%) кезінде анықтау.
Берілген мәліметтер: орташа жылдық су шығыны (м 3 /с) Қақпатас өзені - Қақпатас өзені сағасынан 1, 0 км жоғары аумақ тұстамасындағы жылдық бақылау қатары (1948… 1959) (кесте 1) .
Есептеулерді орындау тәртібі келесідей:
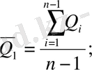
1. Өзен ағынының көпжылдық орташа мәліметтері анықталады (орташа жылдық су шығынын есептеу кезінде жеңіл болу үшін кему ретімен орнатқан дұрыс) (кесте 2) :
 , (16)
 , (16)
 Мұнда:
  - орташа
 - орташа
  - жылдық су шығыны;
 - жылдық су шығыны;
n - бақылау жасалған жылдар саны.
 Сонда,
  м
 
  3
 
 /с.
 м
 
  3
 
 /с.
Кесте 1. Ргайты өз. - Ргайты өзені сағасынан 1, 0 км жоғары аумақтағы өзеннің орташа айлық су шығындары [1]
Кесте 2. Ргайты өз. - Ргайты өзені сағасынан 1, 0 км жоғары аумақтағы өзеннің жылдық ағыны өзгергіштік коэффициентін моменттер әдісімен есептеу [1]
Ағынның модульді коэффициенті
к i =
Модульді коэффициенттің орташадан ауытқуы
k i -1
Ағынның эмпирикалық қамтамасыздану мөлшері
P = *100%
2. Есептердің дұрыстығы тексеріледі, келесі шарттар қанағаттандырылуы қажет:
 (17)
 (17)
 
 
 3. Өзгергіштік коэффициенті
  және бейсимметрия
 және бейсимметрия
  коэффициенттері есептеледі:
 коэффициенттері есептеледі:
 (18)
 (18)
 (19)
 (19)
4. Бақылау қатарының жеткіліктілігі анықталады:
 (20)
 (20)
 (21)
 (21)
5. Өзгергіштік және бейсимметрия коэффициентінің есептік шамалары мына формулалар арқылы анықталады.
 
 
Мұндағы, а 1 , …, а 6 және b 1 , …, b 6 - 3 және 4 кестеден анықталатын коэффициенттер
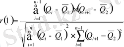
6. а 1 , …, а 6 және b 1 , …, b 6 коэффициенттерін анықтау үшін іргелес қатарлар арасындағы автокорреляция коэффициентін r(1) есептеледі:
 (24)
 (24)
 Формуладағы:
  (25)
 (25)
 (26)
 (26)
Корреляция коэффициентін анықтауға арналған есептеулер 5-кестеде көрсетілген:
 .
 .
7. С s /C v =2, 08/1, 14≈1, 84 қатынасы анықталды. 3 және 4 кестеде С s /C v =2 қатынасы және корреляция коэффициенті r(1) =0, 13 пайдаланылып, а 1 , …, а 6 және b 1 , …, b 6 коэффициенттерінің мәндері табылды.
Кесте 3. а 1 , … а 6 коэффициенттерінің мәндері [1]
 
 
 
 
 
 
0
0, 3
0, 5
0
0
0
0, 19
0, 22
0, 18
0, 99
0, 99
0, 98
-0, 88
-0, 41
0, 41
0, 01
0, 01
0, 02
1, 54
1, 51
1, 47
0
0, 3
0, 5
0
0
0
0, 69
1, 15
1, 75
0, 95
1, 02
1, 00
- 1, 34
- 7, 63
- 11, 79
0, 01
- 0, 04
- 0, 05
6, 78
12, 38
21, 13
Кесте 4. b 1 , …, b 6 коэффициенттерінің мәндері [1]
 
0
0, 3
0, 5
0, 03
0, 03
0, 03
2, 00
1, 77
1, 63
0, 92
0, 93
0, 92
-5, 09
-3, 45
-0, 97
0, 03
0, 03
0, 03
8, 10
8, 03
7, 94
а 1 = 0; а 2 = 0, 8; а 3 = 0, 98; а 4 = 0, 41; а 5 = 0, 02; а 6 = 1, 47;
b 1 = 0, 03; b 2 = 1, 63; b 3 = 0, 92; b 4 = - 0, 97; b 5 = 0, 03; b 6 = 7, 94.
8. Осылайша өзгергіштік (C v ) және бейсимметрия (С s ) коэффициенттерінің есептік мәндері анықталады:
 
 
9. Өзгергіштік және бейсимметрия коэффициенттерінің қатынасы табылады:
 .
 .
10. Өзен ағынының қамтамасыздану мөлшерінің эмпирикалық қисығы тұрғызылады. Алдын ала мына формула бойынша эмпирикалық қамтамасыздану мөлшері анықталып алынады.
 (27)
 (27)
Бұл формуладағы: m - кему ретінде жазылған су шығынының реттік нөмірі
n - қатардың жалпы саны
 2-кестедегі
  (5 баған) және Р% (8 баған) шамаларының мәндеріне байланысты Қақпатас өзені су шығынының эмпирикалық қамтамасыздық қисығы тұрғызылды(1-сурет [2] ) .
 (5 баған) және Р% (8 баған) шамаларының мәндеріне байланысты Қақпатас өзені су шығынының эмпирикалық қамтамасыздық қисығы тұрғызылды(1-сурет [2] ) .
Кесте 5. Гидрологиялық қатардың іргелес мүшелері арасындағы автокорреляция коэффицентін ( r(1) ) есептеу
Ргайты өз. - Ргайты өзені сағасынан 1, 0 км жоғары [1]
... жалғасы- Іс жүргізу
- Автоматтандыру, Техника
- Алғашқы әскери дайындық
- Астрономия
- Ауыл шаруашылығы
- Банк ісі
- Бизнесті бағалау
- Биология
- Бухгалтерлік іс
- Валеология
- Ветеринария
- География
- Геология, Геофизика, Геодезия
- Дін
- Ет, сүт, шарап өнімдері
- Жалпы тарих
- Жер кадастрі, Жылжымайтын мүлік
- Журналистика
- Информатика
- Кеден ісі
- Маркетинг
- Математика, Геометрия
- Медицина
- Мемлекеттік басқару
- Менеджмент
- Мұнай, Газ
- Мұрағат ісі
- Мәдениеттану
- ОБЖ (Основы безопасности жизнедеятельности)
- Педагогика
- Полиграфия
- Психология
- Салық
- Саясаттану
- Сақтандыру
- Сертификаттау, стандарттау
- Социология, Демография
- Спорт
- Статистика
- Тілтану, Филология
- Тарихи тұлғалар
- Тау-кен ісі
- Транспорт
- Туризм
- Физика
- Философия
- Халықаралық қатынастар
- Химия
- Экология, Қоршаған ортаны қорғау
- Экономика
- Экономикалық география
- Электротехника
- Қазақстан тарихы
- Қаржы
- Құрылыс
- Құқық, Криминалистика
- Әдебиет
- Өнер, музыка
- Өнеркәсіп, Өндіріс
Қазақ тілінде жазылған рефераттар, курстық жұмыстар, дипломдық жұмыстар бойынша біздің қор #1 болып табылады.
 
            
                Ақпарат
Қосымша
Email: info@stud.kz