Корпоративті ақпараттық жүйелер үшін желілік технологиялардың сенімділігін арттыру әдісі


Жұмыс түрі: Материал
Тегін: Антиплагиат
Көлемі: 15 бет
Таңдаулыға:
ӘОЖ 004. 415. 538:004. 052 Қолжазба құқығында
Тойшыбек Қуаныш ТойшыбекұЛЫ
Корпоративті ақпараттық жүйелер үшін желілік технологиялардың сенімділігін арттыру әдісі
6N0703 - «Ақпараттық жүйелер» мамандығы
Техника ғылымдарының магистрі академиялық дәрежесін
алу үшін дайындалған диссертацияның
рефераты
Қызылорда, 2010ж
Жұмыс Қорқыт Ата атындағы Қызылорда мемлекеттік университетінің «Ақпараттық технологиялар» кафедрасында орындалды.
педагогика ғылымдарының кандидаты,
Остаева А. Б
техника ғылымдарының докторы, профессор Бисенби М. Ә.
Диссертация «___» 20__ жылы сағат
Қорқыт Ата атындағы Қызылорда мемлекеттік университетінде қорғалады.
(Мекен-жайы: 120014, Қызылорда қаласы, Абай даңғылы №5 оқу ғимараты №___ аудитория)
Диссертациямен Қорқыт Ата атындағы мемлекеттік университетінің ғылыми-техникалық кітапханасында танысуға болады.
(Мекен-жайы: 120014, Қызылорда қаласы, Байсейтова көшесі №100 үй)
КІРІСПЕ
Зерттеудің көкейкестілігі. Қазіргі таңда желілік технологиялар кез келген мекеме, кәсіпорынның корпоративтік ақпараттық жүйесінің негізін құрайды. Бизнестің өркендеуі сенімді де үздіксіз жұмыс атқаратын байланыс пен ақпарат алмасуды қажет етеді, ол өз кезегінде сенімді желілік технологияның болуын талап етеді. Осыған орай, желілік технологияның сенімділігі маңызды орын алады. Корпоративтік ақпараттық жүйедегі бағдарламалық және техникалық құралдарда ауытқулар мен жауап бермеулердің пайда болуынан жүйе пайдаланушылары жұмысына кедергі келеді және мұндай бүлінулер берілгендерді сақтаудың ақпараттық процестері үшін өте қауіпті. Ақпарат мүлде жоғалуы не өзгеруі мүмкін, жүйеде мұндай ақаулардың болуы кәсіпорынға елеулі шығын әкеледі. Сондықтан да, жүйедегі ақпараттық процестерге назар аударып, оның сенімділігі мен өңделген ақпарат нәтижесінің дұрыстығын қадағалау қажет. Басқару жүйелері, бағдарламалық қамсыздандыру мен ақпараттық желілік құрылымдар жүйелері сенімділігін бағалау мәселелері бойынша көптеген зерттеулер жүргізілген. О. В. Щербаков, Г. Н. Черкесов, В. А. Смагин еңбектерінде жүйе сенімділігін бағалаудың түрлі әдістері ұсынылып, ақпараттың жоғалу көздері зерттелген.
Желілік технологиялардың сенімділігін қамтамасыз ету артық үстемені ендіру мен оны дұрыс қолдану арқылы жүзеге асырылады. Бұл жайында Дж. фон Нейман өзінің сенімсіз компоненттерден тұратын сенімді организмдер синтезіне арналған еңбегінде айтқан болатын.
Желілік технологиялар сенімділігін арттыру мақсатында бірқатар фирмалар да еңбек етуде. Мысалы, 3Com компаниясы «жауап бермеуге» төтеп беретін желілерді құру мүмкіндігін беретін XRM(eXpandable Resilient Networking) технологиясын әзірледі.
Жаңа ақпараттық технологиялар корпоративтік ақпараттық жүйелерден ақпаратты тарату, сақтау және өңдеу процестері сенімділігін қамтамасыз ететін жаңа әдістерді талап етеді.
Зерттеудің мақсаты: Корпоративтік жүйелердегі ақпараттық үдерістерге артық үстеме енгізу арқылы зерттеу кезінде алынатын нәтижелер сапасы мен сенімділігін арттыру үшін, желілік технологиялар сенімділігін арттыру әдістерін құру және зерттеу. Алға қойылған мақсатқа қол жеткізу үшін томендегі негізгі міндеттер нақтылайды:
- ақпараттық үдерістер сенімділігін арттыру әдістерін талдау;
- IDEF технологиясы негізінде корпоративтіге жүйелерді модельдеу;
- артық үстеме ендіру негізінде жергілікті желі сенімділігін арттыру әдістерін құру;
- артық үстеме мен сенімділік арасындағы сәйкестілікті және жауап бермеудің алдын-алу үшін әрекет ету мерзімін анықтау мақсатында жергілікті желі сапасы мен сенімділігін модельдеу жүйесін құру;
- нақты бір кәсіпорын корпоративтік ақпараттық жүйесінің жергілікті желісін модельдеу.
Зерттеу пәні: Корпоравтивтік ақпараттық жүйелер үшін желілік технологиялардың сенімділігін арттыру әдісі.
Зерттеу нысаны: Жергілікті желі сенімділігін арттыру әдістерін талдау.
Зерттеу әдістері: Жүйелік модельдеу теориясы, ықтималдықтар теориясы, марковтік үдерістер теориясы және ақпараттық үдерістер мен жүйелер теориясы нәтижелеріне негізделген.
Зерттеудің ғылыми жаңалығы:
- әзірленген артық үстемелі желі бірлігінің құрылымы жергілікті желінің сапасы мен сенімділігін арттырады;
- әзірленген артық үстемелі желі бірлігіндегі ақпарат тарату, өңдеу, сақтау әдістері сенімділік талаптарына сәйкес келетін нәтижелер алуға мүмкіндік береді;
- ұсынылып отырған желілік құрылымдардың сапасы мен сенімділігі желілік бірліктерге негізделіп бағаланады;
- желілік құрылымдардың сапасы мен сенімділігін есептеу моделі есептеудің рекуррентті схемаларын қолданатын жоғары деңгейлі модельдеу жүйесіне негізделуімен ерекшелінеді.
Зерттеудің практикалық маңыздылығы: Корпоративтік жүйелердегі ақпараттық үдерістерге артық үстеме енгізу арқылы зерттеу кезінде алынған нәтижелер сапасы мен сенімділігін жетілдіре отырып, желілік технологиялар сенімділігін арттыру әдістерін зерттеу және әзірлеу. Алға қойылған мақсатқа қол жеткізу үшін томендегі есептер орындалады:
- ақпараттық үдерістер сенімділігін арттыру әдістерін талдау;
- IDEF технологиясы негізінде корпоративтіге жүйелерді модельдеу;
- артық үстеме ендіру негізінде жергілікті желі сенімділігін арттыру әдістерін құру;
- артық үстеме мен сенімділік арасындағы сәйкестілікті және жауап бермеудің алдын-алу үшін әрекет ету мерзімін анықтау мақсатында жергілікті желі сапасы мен сенімділігін модельдеу жүйесін құру;
- нақты бір кәсіпорын корпоративтік ақпараттық жүйесінің жергілікті желісін модельдеу.
Жарық көрген мақалалар:
1. Локальді желідегі модельдеу жүйесінің сапасы мен сенімділігі // Ғылым, білім және инновация: жастардың ғылыми-шығармашылығы // Жас ғалымдардың ғылыми еңбектерінің жинағы. Қызылорда, 2009, Б. 438-442.
2. Корпоративті ақпараттық жүйедегі жергілікті желінің қарым-қатынас және байланыс модулі сенімділігін арттыру әдістері // «Қазақстан Республикасы өнеркәсібі мен аграрлық секторының даму перспективалары: ғылым, инновация әлеуметтік-экономикалық аспектілер» атты республикалық ғылыми-тәжірибелік конференция материалдары //1-том, Қызылорда, 2010, Б. 294-299.
Жұмыс құрылымы мен көлемі: Диссертация кіріспеден, төрт тараудан, қорытындыдан, пайдаланылған әдебиеттер тізімінен және қосымшадан тұрады.
Кіріспеде зерттеудің көкейкестілігі негізделеді, ғылыми аппаратқа (зерттеудің объектісі, пәні, мақсаттары, әдістері, ғылыми жаңалығы, теориялық, практикалық мәні, қорғауға ұсынылған қағидалары) сипаттама беріледі.
«Жергілікті желі сенімділігін арттыру әдістерін талдау» атты бірінші бөлімде корпоративтік ақпараттық жүйе жергілікті желісінің моделі, қарым- қатынас және байланыс модульдерінің сенімділігін арттыру әдістері, ақпарат өңдеу модульдері сенімділігін арттыру әдістері, ақпарат сақтау сенімділігін арттыру әдістері қарастырылған.
«Корпоративтік ақпараттық жүйелерді функционалды модельдеу» атты екінші бөлімде IDEFO модельдеу негіздері, функционалды модель сапасын бағалау, корпоративтік ақпараттық жүйенің функционалды моделі, жергілікті желі диаграммаларын талдау, жергілікті желі сенімділігін арттыру мәселелері қарастырылған.
«Жергілікті желі сенімділігін құрылымдық талдау» атты үшінші бөлімінде сапалық талдау әдісі, желілік бірлік сенімділігі мен сапасы, маршруттары қалпына келтірілмейтін желілер сапасы мен сенімділігі, барлық маршрутты қалпына келтіру мүмкіндігі бар «сота» типті желі, есептеулер нәтижесін талдау жасалған.
«Жергілікті желі сапасы мен сенімділігін модельдеу жүйесі» атты төртінші бөлімде қойылатын жалпы талаптар, модельдеу жүйесінің құрылымы, графикалық интерфейс, модельдеу технологиясы, модельдеудің технологиялық үдерісі, IDEF3 модельдеу негіздері, жергілікті желіні модельдеу үдерісі кезеңдерін сипаттау диаграммасы көрсетілген.
ЖШС «Алтын Алма» кәсіпорны корпоративтік ақпараттық жүйесінің жергілікті желісін модельдеу атты бесінші бөлімде ЖШС «Алтын Алма» кәсіпорнының корпоративтік ақпараттық жүйесіне сипаттама берілген, кәсіпорының қысқаша сипаттамасы, кәсіпорынның корпоративтік ақпараттық жүйесі, аймақ жергілікті желісін модельдеудің бастапқы берілгендері, модельдеу нәтижелері, модельдеу варианттары қарастырылған.
Қорытындыда зерттеудің нәтижелері, тұжырымдар мен қорытындылар берілді.
Қосымшада Маршруттары қалпына келтірілмейтін желіні есептеу программасы көрсетілген.
Негізгі бөлім
Қазіргі таңда көптеген кәсіпорындар корпоративтік ақпараттық жүйе құруға үлкен қаражат бөледі. Корпоративтік ақпараттық жүйенің негізгі техникалық құралы жергілікті желі болып саналады. Кез-келген жергілікті желінің логикалық моделі ақпараттық-есептеу желілерінің стандарттары бойынша 1 суретте көрсетілгендей модульдік құрылымда болуы керек.
АӨМ - ақпаратты өңдеу модулі
ҚБМ - қарым-қатынас және байланыс модулі
ЖСМ - жұмыс станциясы модулі
1 сурет - Жергілікті желінің логикалық моделі
1 суреттегі жергілікті желінің логикалық моделін әмбебап деп қарауға болады, дегенмен оның физикалық құрылымы модификацияланған болуы мүмкін. Модификациялар саны жекелеген техникалық құрылғылар түрлері арасындағы әрекеттің бөліну тәсіліне, нақты жергілікті желіні жобалау барысында ескерілетін техникалық құрылғылардың спецификалық ерекшеліктеріне байланысты болады. Жұмыста талдау жасалған тұтынушыларға анықтамалық қызмет көрсететін кәсіпорынның жергілікті желісінің АӨМ логикалық модульдеріне желінің ақпараттық есептеу ресурстарымен қамтамасыз ететін үш сервер сәйкес келеді.
ҚБМ логикалық модульдері желіде мәлімет жіберу және алмасу қызметін атқарады. ЖСМ логикалық модульдеріне автоматтандырылған телефон станциялары көмегімен клиенттермен байланыс орнататын операторлардың жұмыс орындары сәйкес келеді. Осылайша, корпоративтік ақпараттық жүйе жергілікті желісінде қолданылатын құрылғылар құрамы төмендегілерден тұрады:
- мәлімет тарату каналдары;
- концентраторлар;
- коммутаторлар;
- маршрутизаторлар;
- серверлер;
- жұмыс станциялары.
Қарастырылған корпоративтік ақпараттық жүйе жергілікті желісінде серверлер, жұмыс станциялары, Switch16 ports коммутаторы мен 5е категориялы 4 жұпты UPT сымын қолданатын байланыс каналы пайдаланылған. Корпоративтік ақпараттық жүйе жергілікті желісінің физикалық құрылымы 2 суретте көрсетілген.
2 сурет - Жергілікті желінің физикалық құрылымы
Жергілікті желіде пайда болып оның модульдерінің дұрыс жұмыс жасамауына әкеп соқтыратын қателерге талдау жасайық. Логикалық модель (1 сурет) пен физикалық құрылымға (2 сурет) сүйене отырып, қателердің дерек көздерін 3 топқа бөлуге болады:
- ақпарат тарату каналдарындағы кедергілер;
- құрылғылардағы ақаулар;
- бағдарламалардың дұрыс орындалмауы.
Корпоративтік ақпараттық жүйелерді функционалды модельдеу. IDEFO модельдеу негіздері. Корпоративтік ақпараттық жүйені құру барысындағы ең маңызды кезең ұйым қызметін модельдеу болып саналады. Ұйымдастырушылық процесті модельдеу ұйымның (мекеменің) қалай жұмыс атқаратыны, онда қандай іс-әрекеттер жүзеге асырылатыны және осы әрекеттерге кімдер қатысатыны туралы ақпарат жинақтау мақсатында жүргізіледі. Мұндай ақпарат қажетті позицияларда, қажетті өзгерістерде шешім қабылдауға мүмкіндік береді, ол корпоративтік ақпараттық жүйе құрылу мәселесіне тікелей қатысты болады. Мысалы, фирма тұтынушылары сұраныстарын рәсімдеу әртүрлі операторлар орындайтын бірқатар операциялардан тұрады. Ақпарат беру процесі төмендегі себептер бойынша модельденуі тиіс:
- ақпарат дайындау процесін автоматтандыру үшін орындалатын операциялар туралы дұрыс та толық сипаттама болуы керек.
- операторлар қызметін бағалауда олардың орындайтын іс-әрекеттер сипатын білу керек.
- тұтынушылар сұраныстарының сапалы рәсімделуін, талаптарының қанағаттандырылуын және қызмет көрсетілудің сапасын қадағалау үшін барлық орындалатын әрекетті дәл сипаттау керек.
- жүйені модернизациялау барысында жүйенің келешектегі күйін, жағдайын көрсететін функционалды моделін әзірлеу керек (TO-BE моделі) .
- модернизациялау алдында ағымдағы күйінің функционалды моделі болуы керек (AS-IS моделі) .
Танымал IDEF-технологиясы негізінде тұтынушыларға қызмет көрсетудің функционалды моделін құру мысалын қарастырайық. IDEF-технологиясы техникалық және ұйымдастырушылық жүйелерде орындалатын әртүрлі процестерді сипаттау мақсатында қолданылады.
IDEFО-технологиясы процестердің жиынығы түрінде құруға мүмкіндік береді. Құрылатын модельге қажетті болып келесі жиындар саналады:
- О объектілері;
- D берілгендері;
- А әрекеттері;
- R әрекет орындау ережелері.
IDEFO стандарты бойынша бизнес-процестерді модельдеу әдістемесін, технологиясын және CASE құрылғысын анықтайды. Модельдеу әдістемесі бизнес-процесс функционалды моделінің көп деңгейлі иерархиялық құрылымын көрстетеді. Бұл контексті диаграмманы екінші, үшінші және т. с. с. диаграммаларға декомпозициялау арқылы жүзеге асырылады. Деңгейлер саны модельдеу тереңдігін сипаттайды. Деңгейлер мен диаграммалар саны көбейген сайын модельдеу де егжей-тегжейлі жүргізіледі.
Егер r - функционалды модель деңгейлерінің саны,
- і-ші деңгейдегі диаграммалар саны болса, онда функционалды модель сапасын
коэффициенті бойынша айтуға болады, мұндағы N - модельдегі диаграммалар саны және де
- әрбір деңгейде бір диаграммасы бар тізбекті модельдегі диаграммалар саны. Диаграммалар ағашы бастапқы төбесі контексті диаграмма, ал соңғы төбесі модельдің ең соңғы диаграммасы болатын тізбек түрінде болады. 2 суретте көрсетілген функционалды модель тізбекті болып саналады, ал оның диаграммалар ағашы 3 суретте бейнеленгендей түрде болады.
3 сурет - Мысалда қарастырылған модельдің түйіндері ағашы
коэффициенті артқан сайын, құрылған модель ақиқаттан алшақтай түседі, бірақ жан-жақты, егжей-тегжейлі зерттелген болады. Олай болса, бұл коэффициент модельдің дұрыстығын, ақиқаттығын бағалай алмайды, бірақ модельдің терең зерттелуіне көмегін бере алады.
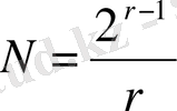
Диаграммалар ағашы екінші деңгейден басталатын функционалды модель (бірінші және екінші деңгейлерде бір ғана диаграммадан болады) бинарлы болады, оны регулярлы деп атайды. Оның
коээфициентін диаграммалар ағашындағы
деңгейлер саны бойынша есептеу формуласы
түрінде болады. Мысалы, төрт деңгейлі диаграммалар ағашының регулярлы функционалды моделінде коэффициент
=2 болады, ал бұл регулярлы модельдің тізбекті модельден екі есе толық екендігін білдіреді.
Кәсіпорынның корпоративтік жүйесінің жергілікті желі ақпараттық ресурстарын басқарудың бизнес-процесі функционалды моделін қарастырайық. Бұл жүйе тұтынушыларға қызмет көрсетіп отырады. Тұтынушыларға операторлар қызмет көрсетеді, олар ақпарттық базадан мәлімет іздейді және желі телефондары арқылы тұтынушымен байланыс орнатады. Сондықтан да жүйедегі ақпараттық ресурстарды басқарудың бизнес-процесі кәсіпорын қызметінде маңызды да жауапкершілікті орын алады.
Жергілікті желі сапасы мен сенімділігін модельдеу жүйесі. Қойылатын жалпы талаптар. Жергілікті желі сапасы мен сенімділігін модельдеу жүйесі келесі үш принцип негізінде құрыла алады:
- Желінің жұмысқа қабілеттілігін бақылау, қадағалау.
- Имитациялық модельдеу.
- Есептеулер жүргізу.
Желінің жұмысқа қабілеттілігін бақылау нақты уақыт ағымында желіні қадағалау мен диагностиканы визуалдауға мүмкіндік береді. Желі моделі оның техникалық жағдайын үздіксіз қадағалайтындай етіп құрылған. Қазіргі кезде желінің техникалық жағдайын модельдейтін көптеген программалар бар. Мысалы, HP OpenView Network Node Manager (NNM) шешімі желі ресурстарын тиімді қолдану мен өнімділікті арттыра отырып, желіні функционалды басқаруды қамтамасыз етеді. HP OpenView NNM шешімінің құрамына кіретін құрылғылар іздеу мерзімін азайтуды және ақауларды болдырмауды қамтамасыз етеді. HP OpenView NNM шешімінің графикалық интерфейсі желінің ағымдағы күйі жайында көрнекі түрде мәлімет береді және желі картасына не құбылыстар мен оқиғалардың детальді түрде сипатталған тізімдеріне жылдам өтуді ұйымдастырады. Желі картасы желілік құрылғылар жағдайлары мен бүлінулер пайда болған орындарды бейнелейді де, желі жұмысына кедергі келтіретін ақауларды дер кезінде анықтап, жөндеу жұмыстарын жүргізуге мүмкіндік береді. Мұның барлығы HP OpenView NNM программасының желіні зерттеу құрылғысы емес, желі жұмысын қадағалайтын маманның пайдалы құралы екендігін көрсетеді.
Имитациялық модельдеу жүйелері мамандандырылған және әмбебап болуы мүмкін. Мамандандырылғын имитациялық жүйеге әлемге танымал InTouch HMI адам-машиналық интерфейсінің программалық қамсыздандырылуы мысал бола алады. Ол өндірістік үдерістердібасқаруды және визуализациялауды қамтамасыз етеді. Ол пайдаланушының қолдануына ыңғайлы орта мен графикалық құралдар жиынтығынан тұрады. 9. 5 нұсқасы өндіріс өнімділігі мен тиімділігіне қол жеткізетін көптеген жеңілдіктер мен мүмкіндіктер береді. Wonderware SmartSymbols жаңа технологиясының қуатты құрылғылары автоматтандырудың арнайы қосымшаларын жылдам құру мен жүзе асырудың танымал функционалды мүмкіндіктерін береді.
InTouch қосымшалары ағымдағы және келешектегі қажеттіліктерді қосымша инвестиция мен күш салуды қажет етпей-ақ қанағаттандыру мүмкіндіктеріне ие. InTouch әмбебап қосымшаларын пайдалану мүмкіндігі әртүрлі мобильді құрылғылар, аса қуатты емес желілік клиенттер, компьютерлік түйіндер және Интернет арқылы қамтамасыз етіледі. Сонымен қатар InTouch ашық және кеңейтілетін интерфейсі өндірісті автоматтандырудың көптеген құрылғыларымен байланыс жасау мүмкіндіктерін ұсынады.
Имитациялық модельдеудің әмбебап жүйесіне GPSS жатады. GPSS World жүйесі - бұл модельдеу саласының кәсіби мамандарына арналған қуатты компьютерлік модельдеу ортасы. Бұл жоғары деңгейлі интерактивті және ақпаратты визуалды бейнелеу қасиетіне ие дискретті түрде де, үздіксіз де компьютерлік модельдеу мүмкіндігін беретін кешенді модельдеу құралы. GPSS World -ты қолдану нақты өмірдегі өте күрделі жүйелердегі конструкторлық шешімдер тиімділігін бағалау мүмкіндігін береді. Оның құрамына мыналар кіреді:
- Пайдаланушының объектілі-бейімделген интерфейсі. Оның құрамына «Модель», «Модельдеу процесі», «Отчет», «Текст» кіреді.
- Жоғыра өнімділікті модельдер трансляторы.
- Модельдеу процесі кезінде енгізу/ шығарудың ұйымдастырылуы.
- 20-дан аса кірістірілген ықтималдықтар үлестірімі.
- PLUSинтегралды программалау тілі.
- PLUS-процедуралар кітапханасы.
- Модельдеу процесін бақылауға арналған әртүрлі графикалық терезелер жиынтығы.
- Эксперименттерді таратуға және оптимизациялауға мүмкіндік беретін автоматтандырылған генераторлар.
- Блоктарды енгізуге арналған сұхбат терезелері.
ЖШС «Алтын Алма» Кәсіпорны корпоративтік ақпараттық жүйесінің жергілікті желісін модельдеу. ЖШС «Алтын Алма» кәсіпорны тұтынушыларға ақпараттық қызмет түрін көрсетеді.
Рекрутерлер кәсіпорынның өз жұмысын автоматтандыруды қажет ететін қызметкерлері болып саналады. Олар жұмыс уақытын үнемі телефон байланыстарында, әңгімелесуде, тұтынушылар тапсырыстары негізінде кандидаттар бойынша үлкен көлемді әртүрлі ақпараттарды өңдеу, іздеу сияқты жұмыстармен өткізеді.
Жұмыс берушілермен компанияның тұтынушылармен жұмыс жасаушы қызметкерлері айналысады. Олар келесі әрекеттердің орындалуын қамтамасыз етеді:
- жұмыс берушілердің жаңа ұсыныстарын іздеу,
- ұсыныстарды қабылдау,
- осы ұсыныстарды жылдам іздеп табуға арнап рәсімдеу,
- сұхбат алмасудың сәтті өтуі үшін қажетті ақпараттарды дайындау,
- жұмыс берушілермен орнатылған байланысқа қолдау жасау.
Тұтынушылармен байланысатын қызметкерлер де үлкен көлемді ақпаратпен жұмыс жасайды. Ол жұмысын жұмыс берушімен жылдам байланыс орнатып, қажетті ұсыныстар жасау үшін дұрыс ұйымдастыруы керек.
ЖШС «Алтын Алма» компаниясының Қазақстанның әр облысында офисі бар. Орталық офис Алматыда орналасқан.
Осылайша, қарастырылып отырған кәсіпорын жұмысын автоматтандыру оған үлкен экономикалық тиімділік әкелетін объект болып табылады. Бұл зерттеу жұмысының мақсаты кәсіпорынның корпоративті ақпараттық жүйесін құру, есептеу желісіне талдау жасау, оның сенімділігі мен сапасын бағалау болғандықтан, кәсіпорын қызметінің экономикалық тиімділігі туралы мәселелерге жеткілікті түрде назар аударылмайды.
Әртүрлі аймақтарында орналасқан кәсіпорын офистерінің көп салалық есептерін автоматтандыру мақсатында корпоративті ақпараттық жүйе құрылған. Кәсіпорынның Алматылық филиалдары Microsoft Axapta платформасына негізделген ERP2 класты жүйені қолданады.
Бұл жүйені қолдану келесі мүмкіндіктерді береді:
- жұмыс орындарына кандидаттарды дұрыс әрі жылдам таңдауды ұйымдастыру негізінде жұмыс берушілерге қызмет көрсету сапасын арттыру,
- қажетті жұмыс орындарын жылдам әрі дұрыс таңдау негізінде кандидаттарға қызмет көрсету сапасын арттыру,
- тұтынушылар мен кандидаттардың барлық тапсырыстарымен бухгалтерия мен есеп бөлімінің байланысы негізінде қызмет көрсету сапасын арттыру,
- тұтынушылық қарым-қатынасты басқару (CRM) негізінде қызмет көрсету сапасын арттыру,
- кәсіпорын жұмысын талдау модулінің негізінде көрсетілетін қызмет түрлері сапасын арттыру.
Жүйенің техникалық қамсыздандырылуы корпоративтік желінің қолданылуын қажет етеді.
Көрсетілген суреттен желінің келесі компоненттерден тұратын байқауға болады:
Мұндай күрделі желінің сенімділігін қамтамасыз ету маңызды мәселе болып саналады, және ол әр түрлі деңгейлерде шешіледі:
- технологиялық деңгей белгілі фирмалардың жоғары сапалы желілік және есептеу құрал-жабдықтарын қолдануды қажет етеді,
- техникалық деңгей орталық офис пен филиалдар арасында қосымша резервтік каналдарды қолдануды жоспарлайды (байланыстың пунктирлі сызықтары),
- программалық деңгей филиал компьютерлерінде орталықтандырылған тәсілмен лицензиялық программалық өнімдерді орнатуды жоспарлайды,
- ұйымдастыру деңгейі есептеу құрал-жабдықтарына жоғары білікті мамандардың үздіксіз қызмет көрсетуі мен ақпараттық орталықтың үнемі қолдау көрсетіп отыруын жоспарлайды.
Аймақты жергілікті желісін модельдеу схемасы 4 суретте бейнеленген.
4 сурет - Филиал жергілікті желісін модельдеу схемасы
Екі желілік бірліктің 1-5 түйіндері «сота» типті құрылымды құрайды. 6-9 түйіндері орталығы 5-ші түйін болатын «жұлдызша» типті құрылымды береді. Кәсіпорынның ұсынылып отырған желісін модельдеуді келесі бастапқы берілгендер нұсқалары бойынша жүргізейік:
Модельдеудің 1-нұсқасының бастапқы берілгендері:
- Түйіндер саны-9.
- Күйі
- желі дұрыс, бүлінбеген,
- желі жауап бермеулердің нәтижесінде бүлінген.
- Жауап бермеу ықтималдығыp=0. 01, p=0. 001, p=0. 0001. Қалпына келтіру ықтималдығы
- q=0. 1,
- q=0. 1
- q=0. 001.
Модельдеудің 2-нұсқасының бастапқы берілгендері:
- Түйіндер саны-9.
- Күйі
- Іс жүргізу
- Автоматтандыру, Техника
- Алғашқы әскери дайындық
- Астрономия
- Ауыл шаруашылығы
- Банк ісі
- Бизнесті бағалау
- Биология
- Бухгалтерлік іс
- Валеология
- Ветеринария
- География
- Геология, Геофизика, Геодезия
- Дін
- Ет, сүт, шарап өнімдері
- Жалпы тарих
- Жер кадастрі, Жылжымайтын мүлік
- Журналистика
- Информатика
- Кеден ісі
- Маркетинг
- Математика, Геометрия
- Медицина
- Мемлекеттік басқару
- Менеджмент
- Мұнай, Газ
- Мұрағат ісі
- Мәдениеттану
- ОБЖ (Основы безопасности жизнедеятельности)
- Педагогика
- Полиграфия
- Психология
- Салық
- Саясаттану
- Сақтандыру
- Сертификаттау, стандарттау
- Социология, Демография
- Спорт
- Статистика
- Тілтану, Филология
- Тарихи тұлғалар
- Тау-кен ісі
- Транспорт
- Туризм
- Физика
- Философия
- Халықаралық қатынастар
- Химия
- Экология, Қоршаған ортаны қорғау
- Экономика
- Экономикалық география
- Электротехника
- Қазақстан тарихы
- Қаржы
- Құрылыс
- Құқық, Криминалистика
- Әдебиет
- Өнер, музыка
- Өнеркәсіп, Өндіріс
Қазақ тілінде жазылған рефераттар, курстық жұмыстар, дипломдық жұмыстар бойынша біздің қор #1 болып табылады.

Ақпарат
Қосымша
Email: info@stud.kz