ПОЛЯРИЗАЦИЯЛАНҒАН ЖАРЫҚ ҚҰБЫЛЫСЫН ОҚЫП - ҮЙРЕНУ ЖӘНЕ ЗЕРТТЕУ



ҚАЗАҚСТАН РЕСПУБЛИКАСЫ БІЛІМ ЖӘНЕ ҒЫЛЫМ МИНИСТРЛІГІ
АБАЙ АТЫНДАҒЫ ҚАЗАҚ ҰЛТТЫҚ ПЕДАГОГИКАЛЫҚ УНИВЕРСИТЕТІ
Бекітемін
Физика кафедрасының меңгерушісі Косов В. Н.
«» 2022 ж.
№ 4. 7 зертханалық жұмыс
ПОЛЯРИЗАЦИЯЛАНҒАН ЖАРЫҚ ҚҰБЫЛЫСЫН
ОҚЫП-ҮЙРЕНУ ЖӘНЕ ЗЕРТТЕУ
Алматы, 2022
№ 4. 7 зертханалық жұмыс
ПОЛЯРИЗАЦИЯЛАНҒАН ЖАРЫҚ ҚҰБЫЛЫСЫН
ОҚЫП-ҮЙРЕНУ ЖӘНЕ ЗЕРТТЕУ
Жұмыстың мақсаты: поляризацияланған жарыққа байланысты құбылыстарды және Малюс заңын оқып үйрену.
Керекті құрал-жабдықтар: оптикалық скамья, жарық көзі, екі поляроид, фоторезистор, фоторегистрациялық УКР құрылымы, БЦ-1 жарық көзі.
Қысқаша теориялық кіріспе
Жарықтың поляризациясы теориясына табиғи және поляризацияланған жарық түсініктері енеді. Жарық толқынында жарықтың таралу бағытына перпендикуляр жазықтықта, барлық мүмкін болатын бағдарлар бойынша көлденең толқындар байқалады. Мұндай жарық табиғи жарық деп аталады. Басқа жағынан, сәйкесінше кесілген, кристалл пластиналардың кейбір түрлері, олардың кристалдық остеріне параллель жарық тербелістерін ғана өткізуге қабілетті. Олай болса, егер табиғи жарық сәулесі осындай пластинаға түссе, онда пластинадан өткен сәуледе кристалл осіне параллель жазықтықта жарық тербелістері байқалады. Мұндай жарық жазық-поляризацияланған деп аталады.
1-суретте табиғи (1а-сурет) және жазық-поляризацияланған (1б-сурет) жарықтың тербелістері схема түрінде бейнеленген. Нүкте
жарықтың таралу бағыты векторының ізін бейнелейді.
а) б)
1-сурет. Табиғи (а) және жазық-поляризацияланған (б) жарықтың тербелістері
Айталық, екі поляризатор пластинкалар (поляроидтар) бірінен соң бірі орналастырылған делік және олар арқылы жарық сәулесі жіберілсін. Бірінші пластинкаға (І) табиғи жарық түседі де, ал одан ол жазық-поляризацияланған жарық болып шығады. 2-суреттегі осы жазық-поляризацияланған жарықтың тербеліс амплитудасы
-ке тең. Жазық-поляризацияланған жарық сонан кейін екінші пластинкаға (ІІ) түседі. Айталық, кристалл өстерінің арасындағы бұрыш
болсын. Онда поляризацияланған сәуле амплитудасын екі құраушыға жіктеуге болады:
.
ІІ пластинка өзінен амплитудасы
тербелістерді ғана өткізеді, ал амплитудасы
тербелістерін өткізбейді, яғни ол тербелістер өшеді.
F
C
B
O
I
II
2-сурет. І - бірінші поляроидтың кристалдық осі,
ІІ - екінші поляроидтың кристалдық осі
Тербеліс процесі кезіндегі энергия амплитуда квадратына пропорционал екені белгілі, яғни
. Жарық тербелістерінің энергиясымен анықталатын
жарық интенсивтілігі тербеліс амплитудасының квадратына пропорционал деген қорытындыға келеміз, яғни
. Сондықтан, екі пластина арқылы өтетін сәуле интенсивтілігін былай жазамыз:
,
осыдан
, (1)
мұндағы
бірінші поляроидтан өткен жарық интенсивтілігі. (1) формула екі поляроидтан өткен поляризацияланған жарық интенсивтілігін анықтауға мүмкіндік береді және Малюс заңын өрнектейді:
Екі кристалл арқылы өткен сәуле интенсивтілігі кристалдарды кез келген орналасуы кезіндегі олардың осьтері арасындағы бұрыштың косинусының квадратына тура пропорционал.
Бұл теориялық тұжырымдама берілген жұмыста тәжірибе жүзінде тексеріледі.
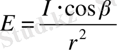
Өлшеу құралы ретінде беттің жарықталынуын өлшейтін люксметр қолданылады. Ал беттің жарықталынуы мына формуламен өрнектеледі
, (2)
мұндағы
люксметр фотоэлементіне түсетін жарық интенсивтілігі,
фотоэлемент бетіне сәуленің түсу бұрышы,
жарық көзінен фотоэлементке дейінгі арақашықтық.
түсу бұрышы мен
арақашықтық тәжірибе кезінде тұрақты болып қалатындықтан, жарықталыну шамамен фотоэлементке түсетін жарық интенсивтілігіне тең, яғни
. Демек люксметр жарық интенсивтілігін көрсетеді, олай болса, (1) формуланы былай жазуымызға болады:
. (3)
Ескерту: фотоэлемент жарық өткізбейтін қорапта болу керек. Оған жарықты тәжірибе жүргізгенде ғана түсіру қажет.
Қондырғының сипаттамасы
Жарық көзінен өткен 1табиғи жарық (1-сурет), 2 поляризатор арқылы өткенде поляризацияланып, 3 анализаторға барып түседі. Анализатордан өткен жарық 4 фоторезисторға барады. Жарық интенсивтілігі микроамперметрдегі тоқ күшімен анықталады. Поляризатор мен анализатор лимпті горизонталь өс бойынша айнала алатын кұрылғыда орналасқан. Лимбаның бөлік құны 1°. Барлық элементтер рейтердің көмегімен оптикалық скамьяға бекітіледі. Жарық көзінің интенсивтілігі қоректендіруші блоктағы басқарушы тетік арқылы жүзеге асады.
1 2 3 4
1-сурет. Тәжірибелік қондырғының схемасы
Жұмыстың орындалу тәртібі
Тапсырма 1.
жарық интенсивтілігінің
бұрышына тәуелділік графигін алыңыздар.
- Іс жүргізу
- Автоматтандыру, Техника
- Алғашқы әскери дайындық
- Астрономия
- Ауыл шаруашылығы
- Банк ісі
- Бизнесті бағалау
- Биология
- Бухгалтерлік іс
- Валеология
- Ветеринария
- География
- Геология, Геофизика, Геодезия
- Дін
- Ет, сүт, шарап өнімдері
- Жалпы тарих
- Жер кадастрі, Жылжымайтын мүлік
- Журналистика
- Информатика
- Кеден ісі
- Маркетинг
- Математика, Геометрия
- Медицина
- Мемлекеттік басқару
- Менеджмент
- Мұнай, Газ
- Мұрағат ісі
- Мәдениеттану
- ОБЖ (Основы безопасности жизнедеятельности)
- Педагогика
- Полиграфия
- Психология
- Салық
- Саясаттану
- Сақтандыру
- Сертификаттау, стандарттау
- Социология, Демография
- Спорт
- Статистика
- Тілтану, Филология
- Тарихи тұлғалар
- Тау-кен ісі
- Транспорт
- Туризм
- Физика
- Философия
- Халықаралық қатынастар
- Химия
- Экология, Қоршаған ортаны қорғау
- Экономика
- Экономикалық география
- Электротехника
- Қазақстан тарихы
- Қаржы
- Құрылыс
- Құқық, Криминалистика
- Әдебиет
- Өнер, музыка
- Өнеркәсіп, Өндіріс
Қазақ тілінде жазылған рефераттар, курстық жұмыстар, дипломдық жұмыстар бойынша біздің қор #1 болып табылады.

Ақпарат
Қосымша
Email: info@stud.kz