Математикадан олимпиадалық есептерді шешу жолдары


ҚАЗАҚСТАН РЕСПУБЛИКАСЫ БІЛІМ ЖӘНЕ ҒЫЛЫМ МИНИСТРЛІГІ
Алматы облысы Қаратал ауданы
Бикен Римова атындағы мектепке дейінгі шағын орталығы бар
орта мектеп-гимназиясы
Авторы: Рахат Гүлбаршын
11 «а» сынып оқушысы
Жоба тақырыбы:«Математикадан олимпиадалық есептерді шешу жолдары »
Бағыты: Жарытылыстану математикалық бағыт
Секция: математика
Ғылыми жетекшісі : Омаров Ж. А. -физика-математика
ғылымдарының кандидаты, доцент.
Әдістеме жетекшісі : Ахметжанов Д. М. - математика пәнінің
мұғалімі
ҮШТӨБЕ ҚАЛАСЫ, 2016
ҚАЗАҚСТАН РЕСПУБЛИКАСЫНЫҢ БІЛІМ ЖӘНЕ ҒЫЛЫМ МИНИСТРЛІГІ
ҚАЗАҚСТАН РЕСПУБЛИКАСЫНЫҢ КІШІ ҒЫЛЫМ АКАДЕМИЯСЫ
Тақырыбы: Математикадан олимпиадалық есептерді шешу жолдары
Секция: математика
Аты-жөні, сыныбы: Рахат Гүлбаршын 11 «а» сынып оқушысы
Оқу орны: Алматы облысы Қаратал ауданы
Бикен Римова атындағы мектепке дейінгі шағын
орталығы бар орта мектеп-гимназиясы
Жетекшісі: Омаров Ж. А. -физика-математика
ғылымдарының кандидаты, доцент
Талдықорған қаласы, 2017 жыл
Алматы облысы Қаратал ауданы
Бикен Римова атындағы мектепке дейінгі
шағын орталығы бар орта мектеп-
гимназиясының 11 «а» сынып оқушысы
Рахат Гүлбаршыннның «Математикадан
олимпиадалық есептерді шешу жолдары »
атты ғылыми жобасына
Пікір.
Рахат Гүлбаршын 11-сынып оқушысы. Гүлбаршынның жазған ғылыми жобасы «Математикадан олимпиадалық есептерді шешу жолдары ».
Ғылымилық жұмыс кіріспе, негізгі бөлім және қорытынды бөлімнен тұрады. Кіріспе бөлімде таңдап алынған тақырыптың маңыздылығы мен мақсаты жазылған. Негізгі бөлімде « Математикалық индукция әдісі», «Диофант теңдеулері», «Параметрлі теңдеулер мен теңсіздіктер», «Комбинаторика», «Тригонометриялық өрнектерді түрлендіру», «Теңсіздіктерді дәлелдеу» және тағы да басқа тақырыптардағы есептері қарастырылады. Бұндай тақырыптар математикалық пән олимпиадаларында өз үлесін қосары сөзсіз.
Математикалық индукция әдісіне және теңсіздіктерді дәлелдеу тақырыптарына қысқаша ғана тоқталып, мектепаралық, аудандық, облыстық, республикалық, халықаралық олимпиадаларда осы тақырыптар бойынша шығарылған қиын есептерді шешу жолдарын қарастырған .
Әр түрлі олимпиада есептерінің шешу жолдары мысалдар арқылы көрсетілген. Гүлбаршын ғылыми еңбекті жазу барысында жоғарыдағы тақырыптарды терең білмейінше, олимпиада есептерін шығару қиын екенін түсіне отырып, бүгінгі күні ғылыми - технологияның дамуына байланысты адамзат баласы ой және дене еңбегін жеңілдететін техникалық құрылғылардың түр-түрін ойлап табудың бәрі адамның ойлау қабілетінің ең ірі жетістіктері екендігіне көз жеткізді. Осы орайда әртүрлі ойлауды қажет ететін есептерді жинақтады.
Математиканың сан алуан сырын, сандар әлемінің қызық құбылысын, ойлау элементтерімен өрнектеген зерттеу жұмысында оқушының жұмыс істеу мүмкіндігі, көңіл қоя білу қабілеті дамыды. Бұл зерттеу жұмысы математикалық есептер шығаруда кездесетін қиыншылықтардан мүдірмей өтуге және есеп шығарудың жолдарын меңгеруге көмектеседі.
Белгілі бір жаңа шешу әдістерін меңгеру үшін жан-жақты білім керек.
Көп оқып, ізденудің нәтижесінде есепті жеңіл әрі шапшаң шешуге үйретеді.
Оқушы өзінің ғылыми ізденісінде тақырыпты өзінің құрастырған жоспары бойынша толық талданған.
Бұл ғылыми жағынан да, нақты шығарған есептермен үйлесім тапқан. Өз ойын нақты көрсете білген.
Рахат Гүлбаршынның еңбегі мұғалімдер мен оқушылар үшін көмегі көп деп білемін.
Аннотация.
Зерттеу мақсаты: Аталған мәселелер туралы оқушыларға түсінікті болатындай ақпараттық мағлұматтар беру және математикалық есептеудің кейбір әдістерін зерттеуді жүзеге асыруда әр түрлі есептердің арасында үнемі байланыс болатындығын зерттеу.
Гипотеза - Математикадан олимпиадалық есептерді шешу жолдарын зерттеуді жүзеге асыруда әр түрлі есептердің арасында үнемі байланыс болатындығын есептер шығару арқылы дәлелдеген. Атап айтқанда, «Математикалық индукция әдісі», «Диофант теңдеулері», «Параметрлі теңдеулер мен теңсіздіктер», «Комбинаторика», «Тригонометриялық өрнектерді түрлендіру», «Теңсіздіктерді дәлелдеу» әдістері, олимпиада есептерінің шешу жолдары мысалдар арқылы көрсетілген.
Зерттеу кезеңдері:
1) Математикалық индукция әдісі .
- Теңсіздіктерді дәлелдеу .
- Диофант теңдеулері.
- Тригонометриялық өрнектерді түрлендіру .
- Комбинаторика.
Жұмыстың өзектілігі, ғылымилығы : Математикадан олимпиадалық есептерді шешу жолдарын зерттеуді жүзеге асыруда ең маңызды, математикалық есептерді шешудің кейбір әдістері көрсетілген. Бұл жұмыста оқушылардың логикалық ойлау қабілетін дамытатын, олимпиада есептері және оларды шешудің жолдарын қарастырған. .
.
Аннотация.
Цель исследования: Собрать информационные сведения по данной теме и исследовать постоянную связь между разными задачами в исследовании некоторых методов математического решения.
Гипотеза: Путем решения задач доказана постоянная связь между разными задачами в исследовании решения олимпиадных задач по математике. Например «Математический метод индукции», «Уравнение Диофанта», «Параметрические уравнения и неравенства», «Комбинаторика», «Преобразование тригонометрических выражений», «Решения неравенств».
Этапы исследования:
- Математический метод индукции.
- Решения неравенств.
- Равенства Диофанта
- Преобразование тригонометрических выражений.
- Комбинаторика.
Актуальность научной работы:
Показаны некоторые методы решения математических задач в исследовании путей решения олимпиадных математических выражений.
В этой работе рассматриваются олимпиадные решения и пути их решения, которые развивают способности логического мышления учащихся.
Этапы исследования:
«Казахстан на пороге нового рывка в своем развитии», - отметил Глава государства Н. А. Назарбаев в своем послании. Президент Казахстана четко указал семь приоритетов стратегии вхождения Казахстана в число 50-ти наиболее конкурентноспособных стран.
Казахстан в современности отмечается стремительным развитием науки и техники.
Есть ли у молодежи знания для управления новой техникой. Если так, то учащиеся в школе уже должны быть творческими, поисковыми. Это сейчас становится одной из важнейших проблем. Перед учащимися школ становится задача - обязаны знать и понимать, что нынешняя математическая логика является основой теории кибернетики, немыслимо без математической логики. Техника математической логики тесно взаимосвязана с законами научной кибернетики и является одним из сложных процессов существования живых организмов. Математическая логика является техническим средством мышления и исследует процесс мышления с помощью математических методов, символических аппаратов.
Но не зная традиционных подходов к математической логике, его освоить очень сложно. Существует много способов развития способностей одаренных учащихся. Особую роль играют олимпиады, которые влияют на предметную заинтересованность и развитие творческих способностей.
Например, «Метод математической индукции», «Уравнения Диофанта», «Параметрические уравнения и неравенства», «Комбинаторика», «Решение неравенств». Эти темы, безусловно, положительно влияют на знания учащихся.
Annotation.
"Solution of Olympiad tasks of mathematics"
Rakhat Gulbarshyn 11 th grade, high school of Biken Rimova, the city of Ushtobe
Research supervisor: Dulat Akhmetzhanov Moldybayevich
Research objective: To collect information data on this subject and to investigate a continuous communication between different tasks in a research of some methods of the mathematical decision.
Hypothesis: The solution of tasks has proved a continuous communication between different tasks in a research of the solution of Olympiad tasks in mathematics. For example "A mathematical method of induction", "Diophantus's Equation", "The parametrical equations and inequalities", "Combination theory", "Transformation of trigonometrical expressions", "Solutions of inequalities".
Investigation phases:
1. Mathematical method of induction.
2. Solutions of inequalities.
3. Diophantus's equalities
4. Transformation of trigonometrical expressions.
5. Combination theory.
Relevance of scientific work:
Some methods of the solution of mathematical tasks in a research of solutions of Olympiad mathematical expressions are shown.
In this work Olympiad decisions and ways of their decision which develop abilities of logical thinking of pupils are considered.
Investigation phases:
"Kazakhstan on a threshold of new breakthrough in the development", - the Head of state N. A. Nazarbayev in the message has noted. The president of Kazakhstan has accurately specified seven priorities of strategy of inclusion of Kazakhstan to number of 50 most competitive countries.
Kazakhstan in the present is noted by rapid development of science and technology.
Whether is at youth of knowledge for control of the new equipment. If so, then studying at school already have to be creative, search. It becomes one of the major problems now. Before pupils of schools there is a task - are obliged to know and understand that the present mathematical logic is a basis of the theory of cybernetics, it is impossible without mathematical logic. The equipment of mathematical logic is closely interconnected with laws of scientific cybernetics and is one of difficult processes of existence of live organisms. The mathematical logic is the technical tool of thinking and investigates process of thinking by means of mathematical methods, symbolical devices.
But without knowing traditional approaches to mathematical logic, to master him very difficult. There are many ways of development of abilities of gifted pupils. A special role is played by the Olympic Games which influence subject interest and development of creative abilities.
For example, "Method of mathematical induction", "Diophantus's Equations", "The parametrical equations and inequalities", "Combination theory", "Solution of inequalities". These subjects, certainly, positively influence knowledge of pupils.
МАЗМҰНЫ
1. Кіріспе
2. Негізгі бөлім
2. 1 Сандар қатары.
2. 2. Математикалық индукция әдісі .
2. 3. Теңсіздіктерді дәлелдеу .
2. 4. Диофант теңдеулері . Теңдеудің бүтін шешімдерін табу.
2. 5. Тригонометриялық өрнектерді түрлендіру .
Қосымша бұрыш енгізу арқылы тригонометриялық теңдеулерді шешу.
2. 6. Комбинаторика.
3. Қорытынды
4. Қолданылған әдебиеттер
Кіріспе.
Біздің заманымыз ғылым мен техниканың қарқынды дамуымен ерекшеленеді. Қазіргі көптеген мектеп оқушыларына болашақта есептеу техникасы мен автоматтық құралдармен жабдықталған цехтарда, кәсіпорындарда еңбек етуге тура келетіні сөзсіз. Жастарда жаңа техниканы басқару үшін қажетті әзірлік бар ма? Олай болса, орта мектепті оқып жүргеннің өзінде-ақ оқушылар азды-көпті шығармашыл, іздемпаз болуы шарт.
Бұл мәселелер қазір аса маңызды мәселеге айналып отыр. Мектеп оқушысының алдында тұрған міндеті - қазіргі заманғы математикалық формальды логика - кибернитикалық теорияның негізі екенін түсініп, білуі тиіс. Кибернитиканың негізін салушы әйгілі математик Н. Винер кибернитиканың шығуының өзі математикалық логикасыз ақылға қонбас еді деп атап көрсетеді. Математикалық логика техникадағы, тірі организмдер дүниесі қоғамдық құбылыстағы аса күрделі процесстер мен құбылыстарды басқару заңдылықтары жайындағы ғылым кибернитикамен тығыз байланысты. Математикалық логика ақыл-ой еңбегін техникаландырудың құралы болып табылады және ойлау процесін арнаулы математикалық әдістер, символдық аппараттар арқылы зерттейді.
Бірақ дәстүрлі математикалық логика пәнін білмейінше, оны ойдағыдай меңгеру қиын, өйткені бүгінгі күні ғылыми - технологияның дамуына байланысты адамзат баласы ой және дене еңбегін жеңілдететін техникалық құрылғылардың түр-түрін ойлап табуда. Дарынды балалардың қабілетін дамытудың жолдары көп. Соның ішінде олимпиадалардың ролі ерекше. Оқушылардың пәнге қызығушылығын оятатын, олардың математикалық ой-өрісінің, шығармашылық қабілетінің дамуына дәнекер болатын қосымша тақырыптар көп әсерін тигізеді. Атап айтқанда, «Математикалық индукция әдісі», «Диофант теңдеулері», «Параметрлі теңдеулер мен теңсіздіктер», «Комбинаторика», «Тригонометриялық өрнектерді түрлендіру», «Теңсіздіктерді дәлелдеу» және тағы да басқа тақырыптарды айтуға болады. Бұндай тақырыптар математикалық пән олимпиадаларында өз үлесін қосары сөзсіз.
Олимпиадаға дайындалу кезінде әрбір тараудың есептерін шешудің бірнеше тәсілдерін қарастырамыз. Олимпиадалық есептерді алып қарайтын болсақ, қиындығы өте жоғары. Мұндай есептерді шығару оқушылардан терең ізденуді, терең ойлануды, еңбекқорлықты, шыдамдылықты талап етеді және соған тәрбиелейді. Олимпиадада кездесетін есептер мектеп көлемінде нақты оқылмайды, сондықтан оған қосымша ізденіп, еңбектену керек.
Қарастырғалы отырған тақырыптар: «Теңсіздіктерді дәлелдеу» және «Математикалық индукция әдісі» . Теңсіздіктерді дәлелдеу кезінде математикалық индукция әдісін қолдануға болады. Математикалық индукция әдісін пайдаланып натурал сан немесе натурал санға байланысты ұғымдары бар математикалық негіздеуді қажет ететін сөйлемдер дәлелденеді. Теңбе-теңдіктерді дәлелдеуге, шектеулі қосындыларды есептеуге және теңсіздіктерді шешуге көптеген дәлелдеу жолымен көз жеткізуге болады. Математикалық индукция әдісіне және теңсіздіктерді дәлелдеу тақырыптарына қысқаша ғана тоқталып, мектепаралық, аудандық, облыстық, республикалық, халықаралық олимпиадаларда осы тақырыптар бойынша шығарылған қиын есептерге тоқталмақпын.
Негізгі бөлім .
Математика индукция әдісі.
Математикалық индукция принципінің мәнісі төмендегідей : егер қайсыбір тұжырым (формула) n=1 болғанда (немесе бұл ұйғарымның мағынасы бар n-нің басқа мәндерінде ) ақиқат болса және n=k қандай бір натурал мәні үшін ақиқат деп ұйғарылуынан келесі натурал n=k+1 үшін де тұжырымның ақиқаттығы шығатын болса, онда тұжырым n-нің барлық натурал мәнінде ақиқат. Математикалық индукция принципін қолдануға негізделген дәлелдеу әдісі математикалық индукция әдісі деп аталады.
Математикалық индукция әдісімен дәледеу тәсілі төмендегі келесі кезеңдерден тұрады:1) n=1 болғанда тұжырымның (формуланың) ақиқаттағы тікелей тексеріледі немесе дәлелденеді; 2) қайсыбір натурал n=k үшін тұжырым ақиқат, тура деп ұйғарылып, тұжырымның ақиқаттағы n=k+1 үшін дәлелденеді. Математикалық индукция әдісін, натурал n -ге тәуелді тұжырымдарды дәлелдеуге ғана қолдануға болатыны айқын. Негізінен ол есептің екі түрін шешуге қолданылады: 1) жекелеген бақылаулардан ой түйіп, кейбір заңдылықты тағайындайды және одан кейін оның дұрыстығын математикалық индукция әдісімен дәлелдейді; 2) кейбір формулалардың ақиқаттығын математикалық индукция әдісімен дәлелдейді.
Жалпы орта білім беретін мектептің 9- сыныбына арналған алгебра оқулы ғында «математикалық индукция әдісі» қарастырылған. Оқулық авторлары: А. Е. Әбілқасымова, Н. П. Майкотов, Қ. И. Қаңлыбаев,
Ә. С. Кенеш. Осы оқулықтың 162 бетіндегі қиынырақ есептерді мектепішілік олимпиадаларға алуға болады. Сол есептердің шығарылуына тоқталып өтейін.
№1 есеп.
қосындысын табыңдар.
Шешуі:
.
Жауабы:
.
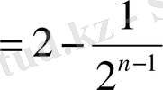
№2 есеп.
қосындысын табыңдар.
Шешуі:
Жауабы:
.
№3 есеп.
қосындысын табу керек.
Шешуі:
.
, мұнда
тепе-теңдігі математикалық индукция әдісімен дәлелденген (68 бет 2-мысал), ал
.
Сонда
.
Жауабы:
.
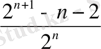
№4 есеп.
қосындысын табыңдар.
Шешуі:
.
Жауабы:
.
№1. Кез-келген n натурал саны үшін n(n 2 -1) (5n+2) өрнегінің 24-ке бөлінетіндігін дәлелдеңдер.
Дәлелдеуі: 5n+2=(5n+10) -8 теңдігін ескеріп өрнекті түрлендіріп жазайық:
n(n 2 -1) (5n+2) =5n(n 2 -1) (n+2) -8n(n 2 -1) = 5(n-1) n * (n+1) (n+2) -8 (n-1) n(n+1) . (n-1) n(n+1) (n+2) өрнегі төрт тізбектес натурал санның көбейтіндісі болғандықтан, әрі 3-ке бөлінеді, әрі 8-ге бөлінеді. 8 бен 3 өзара жай сан болғандықтан бұл өрнек 24-ке бөлінеді.
8(n-1) n(n+1) өрнегі де 24-ке бөлінеді, себебі (n-1) n(n+1) көбейтіндісі 3-ке бөлінеді.
Дирихле тәсілі.
Теорияның негізі : Егер n-торда m- қоян болса және m>n, онда 1 торда 2 қоян болуы мүмкін.
Мысал : Сыныпта 37 оқушы бар. Кем дегенде 4 оқушының туған күні 1 айда болуын дәлелде.
n-12 ай, m-37 оқушы, -37 оқушы, 37>12
37 12*3+1
Инвариантар: санның жұп, тақ белгісі немесе бөлудің қалдықтарына байланысты есептер.
Мысал : 101 ат 15 атқораға орналастырғанда бір қора тақ саны ат болатынын дәлелде.
Дәлелдеуді кері жору мен дәлелдейік. 101 саның қосылғыштары жұп сандар болсын . Ал біз білеміз жұп сандардың қосындысы жұп сан . Сондықтан бір қосылғыш тақ сан болады.
Теңдеулердің бүтін шешімін табу:
Мысал:
21x+48y=6:3
7x+16y=2
16=7*2+2 ; 2=16-7*2
7=2*3+1; 1=7-2*3
1=7-(16-7*2) *3
1=7-16*3+7*6
1=7*7-16*3 *2
2=2*7*7-2*16*3
2=7*14+16(-6) ; x 0 =14 ; y 0 =-6
X=14-16*k,
Y= -6+7*k, k Z
Арифметикалық есептер:
13+13 2 +13 3 +13 4 + . . . +13 2012 +13 2013 +13 2014 осы санды өрнек 7-ге қалдықсыз бөлінетінін дәлелдеңдер.
13(1+13) +13 3 (1+13) +…+13 2013 (1+13) = (1+13) (13+13 3 +…+13 2013 ) =14(13+13 3 +…+13 2013 )
14:7=2
Алгебралық есептер:
(х+1) (х+2) (х+3) (х+4) =3 ( 1мен 4 және 2 мен 3 көбейткіштерді бір-біріне көбейтеміз)
(x 2 +5x+4) (x 2 +5x+6) =3 x 2 +5x=-3
t= x 2 +5x x 2 +5x+3=0
(t+4) (t+6) -3=0
t+10t+21=0
x 2 +5x+7 =0- шешімі жоқ
t=-3; t=-7
Жауабы:
Мәтінді есептер:
Мысал: Аулада үректер мен иттер жүр. Егер үйректер мен иттердің аяқтарының саны 44, ал бастары 17-ге тең екені белгілі болса, онда неше үйрек, неше ит бар?
Теңдеулер жүйесін құру арқылы шешу тәсілін қолданамыз.
Геометриялық есептер:
ACEВD жұлдыздың А, В, Е, С төбелеріндегі бұрыштары тең, АС, ВЕ кесінділері тең болса, АД мен ВД тең екенін дәлелде.
В
А С
М
К
Е Д
Үшбұрыштары тең ACK= BEM
Сондықтан бұрыштар AKC=BME және AK=BM
Онда бұрыштар MKD=KMD өзара тең
KMD теңбүйірлі үшбұрыш.
KD=MD
AK+KD=BM+MD
AD=BD
Графтар :
Асханада І тағам - борщ, рассольник, ІІ - гуляш, котлет, палау
ІІІ - шай мен сусын . Неше тәсілмен ас мәзірін дайындауға болады?
Б-Г-С, Б-Г-Ш
Б-К-Ш, Б-К-С
Р-П-С, Р-П-Ш
Р-Г-С, Р-Г-Ш
Р-К-Ш, Р-К-С
Р-П-С, Р-П-Ш, 12 тәсіл
Комбинаторика есептері:(орналастыру, алмастыру, теру)
Би үйірмесіне 6 ұл бала және 6 қыз бала қатысады. Оларды қанша әдіспен ұл-қыз жұптарына бөлуге болады?
Бірінші ұл 6 кез келген қызбен билейді, екінші ұл қалған 5 қызбен т. с. с.
Сондықтан (алмастыру) Р 6 =6!=1*2*3*4*5*6=720
Теңсіздіктерді дәлелдеу.
І. Қарапайым теңсіздіктерді дәлелдеу
Мектеп көлемінде қарапайым теңсіздіктер дәлелденеді, сол теңсіздіктер арқылы күрделі теңсіздіктерде дәлелденеді.
№1 а 2 + b 2 ≥ 2ab.
Дәлелдеуі:
a 2 + b 2 - 2аb = (а - b) 2 ≥ 0.
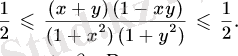
№2
кез келген a және b үшін.
Дәлелдеуі:
Берілген теңсіздіктен
, біз мына теңсіздікті аламыз
бұдан
немесе
соны мына түрде жазамыз
бұдан
II. Штурм әдісін қолданып теңсіздікті дәлелдеу
Бұл әдісті неміс математигі Р. Штурм ұсынған. Бұл әдістің көмегімен бірнеше теңсіздікті дәлелдейік:
№3 Егер
қосындысы 1-ге тең болса, онда
дәлелдеу керек
Дәлелдеуі:
Егер
онда
.
Қаралатын сандардың ішінде ең болмағанда екі сан бір-біріне тең болмаса, онда сандардың ішінен екі сан табылады, сонын біреуі
- нан үлкен болады, ал екіншісі
кіші болады. Осы сандар
болсын, және де
болсын, онда
- ді
-ні
- мен алмастырып, мынандай теңсіздік аламыз
және олардың қосындысы 1-ге тең.
болғандықтан, осыдан
.
Осы амалды бірнеше рет қайталап, шыққан тізбектің кез келген мүшесі
-ге тең, ал олардың квадраттарының қосындысы берілген
сандардың квадраттарының қосындысынан кіші болады.
III. Арифметикалық, геометриялық, квадраттық, гармониялық орталардың ара қатынасын қолдану әдісі
Кейбір теңсіздіктерді дәлелдегенде, оң a және b сандары үшін арифметикалық, геометриялық, квадраттық, гармониялық орталардың ара қатынасын қолданады:
.
Мына өрнекте
гармониялық орта,
- геометриялық орта,
- арифметикалық орта,
- квадраттық орта.
Бұл теңсіздікті дәлелдеу әдісі күрделі теңсіздіктерді дәлелдеуде көп қолданылады.
№4 теңсіздікті дәлелде
, мұндағы
Дәлелдеуі: егер
, онда
- ны қолданып,
-ны (1) аламыз және
осыдан
(2)
(1) және (2) қосып
аламыз.
IV. Коши-Буняковский әдісін қолдану
Коши-Буняковский әдісін бірінші
сандар үшін дәлелдейміз.
және
векторлары берілсін, мектеп көлемінде белгілі
немесе
Бұл Коши-Буняковскийдің теңсіздігі
сандары үшін орындалатын дербес жағдайы болады.
Коши-Буняковскийдің теңсіздігі
сандары үшін келесі жалпы түрде жазылады:
№5. Дәлелдеу керек :
Дәлелдеуі:
V. Жаңа айнымалы енгізу әдісі
Кейбір теңсіздіктерді дәлелдеу үшін жаңа айнымалы енгізу арқылы мақсатқа жетуге болады.
№6. Теңсіздікті дәлелде
Дәлелдеуі:
№1. Теңсіздікті дәлелдеңдер.
(a+в+c) (
+
+
) ≥9 (мұндағы а>0, в>0, с>0)
Теңсіздіктің сол бөлігін түрлендірейік:
(a+в+c) (
+
+
) =1+
+
+1+
+
+
+
+1=3(
+
) +(
+
) +(
+
) ≥
≥3+2+2+2=9 (себебі әр жақшаның ішіндегі қосынды 2-ге тең немесе одан үлкен) .
№2. Теңсіздікті шеш:
>
0
- Іс жүргізу
- Автоматтандыру, Техника
- Алғашқы әскери дайындық
- Астрономия
- Ауыл шаруашылығы
- Банк ісі
- Бизнесті бағалау
- Биология
- Бухгалтерлік іс
- Валеология
- Ветеринария
- География
- Геология, Геофизика, Геодезия
- Дін
- Ет, сүт, шарап өнімдері
- Жалпы тарих
- Жер кадастрі, Жылжымайтын мүлік
- Журналистика
- Информатика
- Кеден ісі
- Маркетинг
- Математика, Геометрия
- Медицина
- Мемлекеттік басқару
- Менеджмент
- Мұнай, Газ
- Мұрағат ісі
- Мәдениеттану
- ОБЖ (Основы безопасности жизнедеятельности)
- Педагогика
- Полиграфия
- Психология
- Салық
- Саясаттану
- Сақтандыру
- Сертификаттау, стандарттау
- Социология, Демография
- Спорт
- Статистика
- Тілтану, Филология
- Тарихи тұлғалар
- Тау-кен ісі
- Транспорт
- Туризм
- Физика
- Философия
- Халықаралық қатынастар
- Химия
- Экология, Қоршаған ортаны қорғау
- Экономика
- Экономикалық география
- Электротехника
- Қазақстан тарихы
- Қаржы
- Құрылыс
- Құқық, Криминалистика
- Әдебиет
- Өнер, музыка
- Өнеркәсіп, Өндіріс
Қазақ тілінде жазылған рефераттар, курстық жұмыстар, дипломдық жұмыстар бойынша біздің қор #1 болып табылады.

Ақпарат
Қосымша
Email: info@stud.kz