Абсолют және шартты жинақты қатарлар


Абсолют және шартты жинақты қатарлар
1. Біз осы уақытқа дейін мүшелері оң қатарларды қарап келдік.
Егер берілген қатардың барлық мүшелерінің таңбалары теріс болса, онда олардың барлығын - 1-ге көбейтіп, мүшелері оң қатарға келеміз. Егер берілген қатар мүшелерінің тек біразының ғана (саны шектеулі мүшелерінің ғана) таңбалары ылғи теріс болып қалғандарының таңбалары оң болса, онда сол теріс таңбалы . . . мүшелерді шығарып тастап тағы да мүшелері оң қатарға келеміз. Сол сияқты, егер берілген қатар мүшелерінің тек біразының ғана (саны шектеулі мүшелерінің ғана) таңбалары оң болып қалғандарының таңбалары теріс болса, онда сол оң таңбалы мүшелерді шығарып тастап, барлық мүшелері теріс қатарға келеміз, ал бұл қатардың барлық мүшелерін - 1-ге көбейтіп, оны оң қатарға айналдырамыз.
Енді мүшелерінің таңбалары оң да, теріс те болып келетін төмендегі:
қатарды қарайық.
(29) қатардың оң таңбалы және теріс таңбалы мүшелерінің саны шексіз деп ұйғарамыз.
Егер (29) қатар мүшелерінің абсолют шамаларынан құрылған мына қатар
жинақты болса, онда осы (29) қатарды абсолют жинақты қатар деп атайды. Егер (29) қатар жинақты болып, ал оның мүшелерінің абсолют шамаларынан құрылған (30) қатар жинақсыз болса, онда (29) қатарды шартты (дудамал) жинақты немесе жартылай жинақты қатар деп атайды.
Теорема. Егер (29) қатар мүшелерінің абсолют шамаларынан құрылған (30) қатар жинақты болса, онда (29) қатар да жинақты болады.
Бұл теореманы дәлелдеу үшін (29) қатардың жалпы мүшесін мына түрде жазайық:
сонан кейін былай үйғарайық:
Сонда
b n және C n - оң сандар, сондықтан олардан құрылған мына қатарлар
мүшелері оң қатарлар болып табылады.
Теореманың шарттары бойынша (30) қатар жинақты, ал (31) теңдіктерден мына теңсіздіктер
келіп шығады, ендеше (32) қатарлар жинақты.
(29) қатар, жинақты (32) қатарлардың айырмасы, яғни
олай болса (29) қатар жинақты. Теорема дәлелденді.
Мүшелері оң қатарлар үшін жоғарыда келтірілген жеткілікті белгілер (Даламбер, Коши, Куммер т. б. белгілері), (29) қатардың абсолют жинақтылығы үшін де жеткілікті белгілер болып табылады.
2. Қатардың абсолют жинақтылығынан басқа шартты жинақтығын тағайындайтын да белгі бар.
Таңбалары кезекпен ауысып отыратын қатарларды, атап айтқанда төмендегі қатарды қарайық:
мұнда
оң сандар.
Осы, таңбалары кезекпен ауысып келетін, қатардың жинақтылығы турасындағы Лейбниц теоремасын дәлелдейік.
Теорема. Егер таңбалары кезекпен ауысып отыратын (33) қатардың мүшелері келесі теңсіздіктерді қанағаттандыратын болса.
онда мұндай қатар жинақты болады.
(33) қатардың бірінші 2n мүшелерінің қосындысын S 2n деп белгілейік. Сонда
Теореманың шарттары бойынша сандар a n біркелкі кемиді, олай болса жақшалардың ішіндегі айырмалардың таңбалары оң. Сондықтан
(34) теңдікті былай жазуға да болады:
Осы кейінгі теңсіздіктен мынадай қорытындыға келеміз: S2n сандардан тұратын тізбек біркелкі үдемелі. (34) теңдікті тағы да мына турде жазуға болады:
Бұл арадан мынадай теңсіздікке келеміз:
Сонымен, S 2n сандардан тұратын тізбек біркелкі үдемелі және оң жағынан шектелген болатын болады. Демек, тізбек жинақты, ЯҒНИ
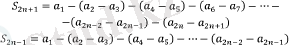
Қосылғыш сандары тақ S 2n+1 дербес қосындыны қарайық:
Бұл арадан шекке көшіп табамыз:
Өйткеңi, теореманың шарттары бойынша
Сөйтіп, қорытып келгенде (33) қатардың дербес қосындысы S, n шексіздікке ұмтылғанда бір тиянақты шекке ұмтылатын болды. Ендеше бұл қатар жинақты. Теорема дәлелденді.
S n+ дербес қосындыны былай жазуға да болады:
Осы екі теңдіктің оң жақтарын салыстырып, төмендегі теңсіздікке келеміз
былайша айтқанда S 2n-1 сандардан тұратын тізбек біркелкі кеміме. Сондықтан, n қандай болса да мына теңсіздік
немесе
орындалады.
Егер (33) қатардың қалдық мүшесін r n арқылы белгілесек, онда
мұнда
Егер (33) қатардың қосындысы үшін оның n бірінші мүшелерінің қолыңдысын, яғни S n дербес қосындыны алсақ, онда біз сезсіз қате жібереміз, міне r n сол қатенің шамасын көрсетеді.
(36) қатардың өзін екі қатар түрінде жазуға болады:
(35) теңсіздік бойынша
Кейінгі теңсіздіктер таңбалары кезекпен ауысып келетін қатардың қосындысы үшін оның бірінші n мүшелерінің қосындысын алғандағы жіберілетін қатенің қандай шекаралықта жататынын көрсетеді.
Мысал үшін төмендегі қатарды қарайық:
Жоғарыда келтірілген Лейбниц теоремасы бойынша бұл қатар жинақты, өйткені:
Егер бұл қатардың мүшелерінің абсолют шамаларынан қатар құратын болсақ, онда гармониялық қатар шығады
Гармониялық қатардың жинақсыздығы бізге бұрыннан белгілі.
Сөйтіп, мысал үшін алынып отырған қатар шартты жинақты болатын болды.
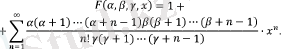
Екінші мысал үшін қайтадан гипергеометриялық қатарды қарайық:
Бұл қатардағы , β, , сандарды кез келген сандар деп ұйғарамыз (мұңда , β, - ноль мен бүтін теріс сандардан айрықша) .
Даламбер белгісін қолданып мынадай қорытындыға келеміз: егер х<1 болса, онда гипергеометриялық қатар абсолют жинақты, ал егер х>1 болса, онда ол жинақсыз болады.
Егер х=1 болса, онда мына қатынас
- Іс жүргізу
- Автоматтандыру, Техника
- Алғашқы әскери дайындық
- Астрономия
- Ауыл шаруашылығы
- Банк ісі
- Бизнесті бағалау
- Биология
- Бухгалтерлік іс
- Валеология
- Ветеринария
- География
- Геология, Геофизика, Геодезия
- Дін
- Ет, сүт, шарап өнімдері
- Жалпы тарих
- Жер кадастрі, Жылжымайтын мүлік
- Журналистика
- Информатика
- Кеден ісі
- Маркетинг
- Математика, Геометрия
- Медицина
- Мемлекеттік басқару
- Менеджмент
- Мұнай, Газ
- Мұрағат ісі
- Мәдениеттану
- ОБЖ (Основы безопасности жизнедеятельности)
- Педагогика
- Полиграфия
- Психология
- Салық
- Саясаттану
- Сақтандыру
- Сертификаттау, стандарттау
- Социология, Демография
- Спорт
- Статистика
- Тілтану, Филология
- Тарихи тұлғалар
- Тау-кен ісі
- Транспорт
- Туризм
- Физика
- Философия
- Халықаралық қатынастар
- Химия
- Экология, Қоршаған ортаны қорғау
- Экономика
- Экономикалық география
- Электротехника
- Қазақстан тарихы
- Қаржы
- Құрылыс
- Құқық, Криминалистика
- Әдебиет
- Өнер, музыка
- Өнеркәсіп, Өндіріс
Қазақ тілінде жазылған рефераттар, курстық жұмыстар, дипломдық жұмыстар бойынша біздің қор #1 болып табылады.

Ақпарат
Қосымша
Email: info@stud.kz