ШИКІЗАТ МАТЕРИАЛДАРЫН ҚЫСҚАРТУ ЖӘНЕ ТЕХНОЛОГИЯЛЫҚ АҒЫМДАРДЫ ЕСЕПТЕУ ЖОСПАРЫН ЖАСАУ


Кіріспе2
1. Ағаш кесудің әдісін таңдау және негіздеу4
2. Ұсынылған спецификацияны талдау5
3. Ағаш кесудің жоспарын құру8
4. Ағаштың техникалық сипаттамасы12
5. Ағаштың сұрыпты өнімділігін анықтау12
6. Ағаш кесудің тепе-теңдігін құру14
7. Технологиялық ағымдарды есептеу15
8. Ағаш кесудің технологиялық процесінің сипаттамасы32
9. LFP процесінің сипаттамасы34
Қорытынды36
Пайдаланылған ақпарат көздерінің тізімі39
ШИКІЗАТ МАТЕРИАЛДАРЫН ҚЫСҚАРУ ЖӘНЕ ТЕХНОЛОГИЯЛЫҚ
АҒЫМДАРДЫ ЕСЕПТЕУ ЖОСПАРЫН ЖАСАУ
Кіріспе
Ағаш - бұл халық шаруашылығының әртүрлі салаларында қолданылатын кең таралған материалдардың бірі. Біздің елімізде ағаш дайындау көлемі жылына 360 млн. М3 құрайды. Дүние жүзінде де, Ресейде де дайындалған ағаштың негізгі тұтынушысы - ағаш өңдеу.
Ағаш кесудің негізгі өнімдері - кесілген ағаш, өрескел дайындамалар және жоспарланған ағаш. Ағашты кешенді қолдана отырып, ағаш кесетін зауыттың қосымша өнімдеріне, әдетте, ағаш жоңқалары, сондай-ақ жартылай фабрикаттар немесе туралған немесе қатты ағаштан жасалған бұйымдар жатады.
Жақын арада ағаш өңдеу өнеркәсібі кәсіпорындарын прогрессивті технологиялар негізінде заманауи жоғары өнімді техникалық құралдарды қолдана отырып қайта жабдықтау жоспарлануда.
Кесілген ағашты жиынтықта өндіру технологиясы, кесілген ағашты арамен қоректендіруге дейін және қоймаға түсіру кезінде жердегі сұрыптау, алынған кесілген ағашты механикаландырылған және автоматтандырылған сұрыптау көбірек қолданылуда.
Ағаш кесу зауытының жұмысының дұрыс жасалған процесі ағаштың ұтымды пайдаланылуын, өнімділігі жоғары аудандар мен жабдықтардың жабдықталуын, барлық аудандардағы біркелкі жұмыс қарқынын және жұмыстың толық қауіпсіздігін қамтамасыз етуі керек.
Ағаш кесудің заманауи технологиялық процесі келесі ерекшеліктермен сипатталады:
1. Жаңа өнімділігі жоғары технологиялық және көліктік жабдықтар қолданылады, олар синхрондалған операциялармен үздіксіз ағынды өндіріске барынша жақындау мүмкіндігін жасайды.
2. Ағаш кесуді ағаш кесудің негізгі ағынынан бөліп, оны кесілген ағашты кептіргеннен кейін орындалатын соңғы жұмысына ауыстыру.
3. Жасанды кептіруді 80% немесе одан да көп кесілген ағаш материалдарын жауып тұратын етіп жасау.
4. Ағашты кептіруге де, тұтынушыға жөнелтуге де орау.
5. Кесетін, сұрыптайтын және таңбалайтын қондырғыларды қолдану.
6. Ағашты сұрыптау бойынша сұрыптау.
7. Механикаландырылған көтеру және тасымалдау, қабаттасу және тасымалдау механизмдерін қолдану.
8. Кейіннен жоғары сапалы целлюлоза чиптерін өндіруге шикізатты қабықсыздандыруды енгізу.
9. Ағаштан және онымен байланысты өнімдерден оңтайлы өнімділік алу үшін ағаш кесудің ұтымды әдістері, схемалары мен жоспарлары.
10. Өндіріс жұмысшыларының 1 адам күніне шаққанда кесілген ағаштар санының өндірісін ұлғайту, өңдеу құнын төмендету, еңбек шығындарын азайту.
Бұл жұмыстың мақсаты - шикізатты аралау станоктарында және фрезерлеу сызығында аралауға арналған материалдарды есептеу, кесілген ағашқа бөренелерді кесу жоспарын құру, сонымен қатар аралау зауытына арналған жабдықты таңдау.
1. Ағаш кесудің әдісін таңдау және негіздеу
Бұл курстық жобада ағашты ағашқа кесу үшін төртбұрышты кесу әдісі бар рамалық жабдық қолданылады.
Бұл кесу әдісін таңдау диаметрі 28 см-ден асатын қылқан жапырақты бөренелерді ара ағаштары ретінде пайдаланылатындығымен түсіндіріледі. Бұл әдіс, бұзылудан айырмашылығы, кесілген ағаштың көлемді және сұрыпты шығуын қамтамасыз етеді.
Диаметрі 28 см болатын бөренелер үшін LFP-2 және LFP-3 фрезерлік сызығында агрегаттық аралау әдісі қабылданады, бұл берілген диаметрлі бөренелерді өңдеуге мүмкіндік береді.
2. Ұсынылған спецификацияны талдау
Жоспарланған шикізат көлемінің спецификацияға сәйкес көрсетілген ағаш көлеміне сәйкестігін тексеру:
(2. 1)
мұндағы V - спецификациямен көрсетілген ағаштың көлемі, м3;
Q - спецификациямен көрсетілген шикізат көлемі, м3;
V = 640 м3 алынады, Q = 1000 м3 - тапсырма бойынша.
Демек, жоспарланған шикізат көлемі спецификацияға сәйкес көрсетілген ағаштың көлеміне сәйкес келеді.
Тақталардың орташа ені мен журналдардың орташа диаметрінің қатынасын тексеру:
мұндағы бав - кесілген ағаштың орташа ені, мм;
дәу - бөренелердің орташа диаметрі, мм;
α - кесу әдісін сипаттайтын коэффициент;
Қабылданады α= 0, 63 - с. 2 [1] 100% кант үшін.
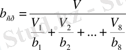
Ағаш кесудің орташа енін анықтау, мм:
мұндағы b1, b2., b - сипаттамаға сәйкес тақталардың ені, мм;
V 1 , V 2018-04-21 121 2 ., V 7 - сәйкес ені бар тақталардың көлемі, м3;
Дөңгелектердің орташа диаметрі, см:
(2. 4)
мұндағы d1, d2, …, d5 - бөренелердің диаметрі, см;
м1, м2, …, м бес - сәйкес диаметрдің журналдарының саны, дана;
D1 = 28 см, d2 = 34 см, d3 = 40 см, d4 = 48 см, d5 = 54 см,
м 1 = 319 дана, м2 = 362 дана, м3 = 266 дана, m4 = 111 дана,
м бес = 116 дана. - шикізат сипаттамасына сәйкес.
100 мм< 0. 68⋅416, 5 мм
100 мм< 283, 2 мм
Сондықтан ағаштың орташа ені бөренелердің орташа диаметріне сәйкес келеді.
Ұсынылған спецификация орындалуы мүмкін, себебі чектер біріктірілген.
3. Ағаш кесудің жоспарын құру
Кесте 3. 1 - Шикізатты кесу жоспарына жеткізілім есебінің тізімі
тақталар, мм
Қалыңдық
тақталар, мм
Диаметрі d = 28 см, ұзындығы L = 6, 25 м болатын ағаш кесу
n = 319 дана. Барлық бөренелердің көлемі Q = 150 м3, аралардың қалыңдығы t = 2, 5 мм.

1
2018-04-21 121 2
2018-04-21 121 2
200
19
19
102. 45
23. 70
23. 70
102. 45
126. 1
149. 8 / 1. 07
195
128
83
-
125
75 (шамамен)
6. 25
6. 25
4. 75
-
0, 015
0. 0067
-
0, 03
0. 013
-
9. 47
4, 3

1
2018-04-21 121 2
2018-04-21 121 2
175
25
19
89. 7
29. 9
23, 7
89. 7
119. 6
143. 3 / 1. 02
200
148
105
200
125
100
6. 25
6. 25
3. 75
0. 218
0. 019
0. 0071
0. 218
0. 039
0, 014
69. 5
12. 46
4. 54

Кесте 3. 2 - Ағаш кесілген ағаштарды кесу жоспары















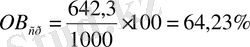
OVav кесілген ағашының орташа көлемдік шығысы, %:
, (3. 1)
мұндағы V - кесу нәтижесінде алынған барлық кесілген ағаштардың жалпы көлемі, м3;
Qc - шикізаттың жалпы шығыны, м3;
V = 642, 3 м3 деп қабылданады, Qс = 1000 м3 - 3. 2 кесте
4. Ағаштың техникалық сипаттамасы
Asp кесілген ағаштың өнімділігін анықтау, %:
, (4. 1)
мұндағы Н - кесілген ағаштың орындалмауы, м3;
P - кесілген ағашты артық орындау, м3;
Н = 10, 4 м3, Р = 11, 97 м3 қабылданады - 3. 2 кесте
5. Ағаштың сұрыпты өнімділігін анықтау
Кесте 5. 1 - Ағаш кесілген сұрыптау
Коэффициент
сынып, С

28
29
41
42
43. 5
61. 5
26. 8
27. 4
38. 42
1. 58
1. 75
1. 46
7. 11
2. 74
5. 22
6. 53
4. 06
7. 24
8. 45
10. 73
10. 14
4. 17
8. 23
14. 36
1. 37
1. 25
1. 09

28
29
41
70
72. 5
61. 5
44. 66
45. 61
63. 55
2. 63
2. 73
3. 76
8. 51
4. 72
8. 43
7. 44
9. 34
11. 74
14. 85
17. 40
15. 50
11. 21
10. 51
24. 12
1. 35
1. 28
1. 03

28
29
41
70
72. 5
102. 5
44. 66
45. 61
63. 55
2. 65
2. 81
3. 77
8. 63
7. 71
8. 42
7. 42
9. 83
11. 74
14. 83
13. 30
15. 50
12. 45
11. 85
24. 12
1. 41
1. 24
1. 03

28
29
41
70
72. 5
102. 5
26. 79
27. 40
38. 43
1. 58
1. 46
1. 88
7. 12
4. 17
6. 23
6. 52
6. 25
6. 57
8. 41
9. 16
10. 73
4. 17
6. 47
13. 02
1. 33
1. 27
1. 05

28
29
41
56
58
82
35. 28
36. 54
50. 84
2. 08
2. 52
1. 52
8. 43
6. 17
7. 52
7. 14
8. 23
8. 73
11. 20
11. 31
14. 21
6. 97
7. 47
18. 64
1. 38
1. 23
1. 06
Кесілген ағаштан ГОСТ 8486-86 сәйкес қылқан жапырақты кесілген ағаштың ассортименті 2. 12 кестеден алынған [2] .
Ағаш кесілген ағаш партиясының коэффициенті келесі формула бойынша анықталады:
(5. 1)
мұндағы A1, A2, . . . , An - әр сұрыптың кесілген ағаштарының саны;
TO 1 , Қ 2018-04-21 121 2 , . . . , Қ n - бағаның коэффициенттері;
Кесілген жұмсақ ағаш сортының мәндік коэффициенттері 2. 13 кестеге сәйкес алынады [2] .
6. Ағаш кесудің тепе-теңдігін құру
Кесте 6. 1 - ГОСТ 8486-86 сәйкес қырлы кесілген ағаш өндірісіндегі жұмсақ ағаш шикізатының қалдығы7. Технологиялық ағымдарды есептеу
Кесте 7. 1 - Екі қабатты аралар негізінде аралау ағашының шығынын есептеудің бастапқы деректері
Кесілген бөренелердің диаметрлері
г, см
ағаш кесетін зауытта
бірінші қатар -γ Мен
ағаш кесетін зауытта
екінші қатар - γ II
біріншіде
қатар - μ Мен
екіншісінде
қатар -μ II
біріншіден алынған кескінсіз тақталар үшін
қатар - ϕ Мен
кесілмеген,
бардан тыс қабылданған - ϕ II
1
2018-04-21 121 2
3
4
бес
28
34
40
48
54
200
175
175x2
175x2
175x2
6
6
бес
7
7
6
6
8
он
8
4
4
2018-04-21 121 2
4
4
4
2018-04-21 121 2
12
12
8
4
4
2018-04-21 121 2
4
4
4
2018-04-21 121 2
12
12
12
1
2018-04-21 121 2
2018-04-21 121 2
6
6
тоғыз
8
он алты
22
22
Бір жиынтықтағы ара саны γ, дана., формула бойынша анықталады:
γ = ε +1 , (7. 1)
Қайда ε - жеткізу жазбасында көрсетілген ассортименттің саны, дана;
Ара жақтауының қажетті ені формула бойынша есептеледі:
Сс = 10⋅(d + S⋅L + 2⋅C) , (7. 2)
мұндағы d - журналдың жоғарғы ұшының ең үлкен диаметрі, см;
S - жоғарғы ұшының ең үлкен диаметрі бар журналдың жүгірісі, см / м;
L - журналдың орташа ұзындығы, м;
C - араның жақтауының тік тіректері мен бөрененің ұштық шеті арасындағы қашықтыққа тең ені шегі;
D = 54 см, L = 6, 25 м - шикізаттың спецификациясы бойынша қабылданады;
S = 1, 65 см / м - журналдың берілген диаметрі мен ұзындығы үшін 3. 8 кесте [2] ;
КІМДЕН = 5 см.
Wreq = 10 (54 + 1. 65 6. 25 + 2. 5) = 743. 125 мм
B> сейсенбі
8. 1-кестеде келтірілген ағаш кесу жақтауларының техникалық сипаттамаларына сүйене отырып, модельдің аралау жақтаулары таңдалады:
2P75 - 1 - бірінші қатарға;
2P75 - 2 - келесі техникалық сипаттамалары бар екінші қатар үшін:
- аралау жақтауының ені 750 мм;
- аралау жақтауының соққысының мөлшері 600 мм;
- иінді біліктің минутына айналу саны n = 325 мин-1.
Орнатылған кадрлық ауысымның жылдық қоры N, кадрлық ауысым:
N = m b, (7. 3)
мұндағы m - ағынға орнатылған ағаш кесетін жақтаулардың саны, дана;
б - ағынмен жылына өңделген ауысым саны, ауысым;
Қабылданған m = 2 дана. - бөренелерді бөренелермен аралауға;
б = 500 ауысым - с. 14 [2] күніне екі ауысымдық жұмыс үшін және жылына 250 жұмыс күні үшін.
N = 2500 = 1000 кадрдың ауысуы Ағынға орнатылған әр ағаш кесу рамасының орташа ауысым өнімділігі, м3 / жыл:
, (7. 4)
Қайда ∆ мен - берілген позицияда осы күйдегі бөренелерді аралау кезінде аралау жақтауын аспаптық жеткізу, мм / айн;
n - пилорама жақтауының иінді білігінің айналым саны минутына, мин-1;
Т - ауысымның ұзақтығы, мин;
q - осы жиынтықпен кесілген журналдың көлемі, м3;
кп - екі қабатты аралау зауыттарымен ағынды пайдалану коэффициенті;
Табыңыз
,
,
,
,
,
,
kp = 0. 864 - бастап. он бес[2018-04-21 121 2] орташа еңбек механизациясы бар шеберханалар үшін;
T = 480 мин - 8 сағаттық жұмыс күніне;
q 1 = 0, 47 м3, q2 = 0, 69 м3, q3 = 0, 94 м3, q4 = 1, 35 м3,
q бес = 1, 73 м3 - берілген сипаттамаға сәйкес шикізат.
Ki, кадрлық ауысымдарды жеткізу үшін тиімді кадрлық ауысымдардың қажетті саны:
(7. 5)
мұндағы Qi - осы жиынтықпен кесілген шикізат көлемі, м3;
Ай - осы жиынтықпен аралау кезінде тиімді аралау жақтауының орташа ауысым өнімділігі, м3 / ауысым;
Q1 = 150 м3, Q2 = 250 м3, Q3 = 250 м3, Q4 = 150 м3, Q5 = 200м3 - тапсырмаға сәйкес қабылданды.
Ари, м3 / ауысыммен аралау кезінде тиімді ағаш кесу рамасының орташа ауысымдық өнімділігі есептеледі:
Орнатылған qi кадрларының ауысымының саны, әр жеткізілім үшін қажет кадрлық ауысымдардың саны:
qi = 2 ki , (7. 6)
Шикізаттың есептелген партиясын аралау үшін қажет рамалық ауысымдардың саны, рамалық ауысымдар:
I = Σqi , (7. 7)
Есептелген партияны аралауға қажетті орнатылған кадрлық ауысымдардың санын анықтауға арналған барлық есептер 7. 2-кестеде келтірілген.
Шикізатқа арналған рамалық ағынның жылдық сыйымдылығы, Асрам, м3 / жыл:
, (7. 8)
Қайда
Qc
- партияның болжамды көлемі, м3;
кг - ағаш кесу ағынының орташа жылдық жұмыс жағдайларын ескеретін коэффициент;
Қс = 1000 м3 қабылданды - 7. 2 кесте;
кг = 0, 86 - Красноярск үшін.
Кесте 7. 2 - Шикізаттың болжамды партиясын аралау үшін орнатылған рамалық ауысымдардың қажетті санын есептеу
... жалғасы- Іс жүргізу
- Автоматтандыру, Техника
- Алғашқы әскери дайындық
- Астрономия
- Ауыл шаруашылығы
- Банк ісі
- Бизнесті бағалау
- Биология
- Бухгалтерлік іс
- Валеология
- Ветеринария
- География
- Геология, Геофизика, Геодезия
- Дін
- Ет, сүт, шарап өнімдері
- Жалпы тарих
- Жер кадастрі, Жылжымайтын мүлік
- Журналистика
- Информатика
- Кеден ісі
- Маркетинг
- Математика, Геометрия
- Медицина
- Мемлекеттік басқару
- Менеджмент
- Мұнай, Газ
- Мұрағат ісі
- Мәдениеттану
- ОБЖ (Основы безопасности жизнедеятельности)
- Педагогика
- Полиграфия
- Психология
- Салық
- Саясаттану
- Сақтандыру
- Сертификаттау, стандарттау
- Социология, Демография
- Спорт
- Статистика
- Тілтану, Филология
- Тарихи тұлғалар
- Тау-кен ісі
- Транспорт
- Туризм
- Физика
- Философия
- Халықаралық қатынастар
- Химия
- Экология, Қоршаған ортаны қорғау
- Экономика
- Экономикалық география
- Электротехника
- Қазақстан тарихы
- Қаржы
- Құрылыс
- Құқық, Криминалистика
- Әдебиет
- Өнер, музыка
- Өнеркәсіп, Өндіріс
Қазақ тілінде жазылған рефераттар, курстық жұмыстар, дипломдық жұмыстар бойынша біздің қор #1 болып табылады.

Ақпарат
Қосымша
Email: info@stud.kz