Сыйымдылығы 110 мың тонна дайындаушы элеваторды жобалау


ҚАЗАҚСТАН РЕСПУБЛИКАСЫ АУЫЛ ШАРУАШЫЛЫҒЫ МИНИСТРЛІГІ
«Жәңгір хан атындағы Батыс Қазақстан аграрлық-техникалық университеті»
Агротехнология институты
Тағам және қайта өңдеу өндірістерінің технологиясы жоғарғы мектебі
Курстық жұмыс
Тақырыбы:Сыйымдылығы 110 мың тонна дайындаушы элеваторды жобалау.
Орындаған: ТПР-31 топ студенті Тоқтақын А. Қ
Қабылдаған: а. о. Э. Р. Чинарова.
Орал - 2020
Мазмұны:
Кіріспе . . . 3
1. Негізгі бөлім . . . 5
- Жобаның орындылығы және оны негіздеу . . . 5
2. Технико-технологиялық бөлім . . . 6
2. 1 Астық қоймалардың сыйымдылығын есептеу . . . 9 2. 2 Силостардың сыймдылығын анықтау . . . 16
- Астықты қабылдау, өңдеу және жіберу жабдықтарын есептеу . . . 17
2. 4 Таразылы қондырғылар . . . 18
2. 5 Астықты автомобильді транспортпен қабылдау және тиеу . . . 19
2. 6 Астықты темір жол арқылы қабылдау және тиеу . . . 20
2. 7 Астықты тазарту жабдықтары . . . 21
2. 8 Астық кептіргіш . . . 22
2. 9 Қалдықтарды өңдеу . . . 23
2. 10 Транспорттық жабдықтар . . . 24
3. Өнеркәсіп технологиясы . . . 25
4. Шикізатқа мінездеме . . . 26
5. Құрылыс бөлімі . . . 27
5. 1 Жұмыс ғимараты . . . 28
5. 2 Темірбетонды силостар . . . 29
6. Қауіпсіздік техникасы және өрт сөндіру қауіпсіздігі . . . 30
7. Қорытынды . . . 31
8. Қолданылған әдебиеттер . . . 32
Курстық жұмыстың мақсаты мен міндеттері:
Бұл жұмыста жылдық астық көлемі 110 000 тонна өндірістік элеватордың есебі жасалуы жоспарланған. Теміржол және автомобиль көлігімен қабылдау қондырғыларының санын, қажетті астық кептіргіштердің санын, магистралды шелек элеваторларының санын, таразы санын, бункерлер мен тарату құбырларының өнімділігін есептеу орындалады. Қажетті тазалау, мөлшерлеу, тасымалдау және кептіруді қамтамасыз ететін жабдықтардың таңдауы жасалуы керек. Силостық ғимарат пен жұмыс ғимаратының биіктігінің есебі де жасалу қажет. Алынған есептеулер негізінде көлденең қимасы және бойлық қимасы әзірленді, лифттің еденнен-схемасы жасалады. Дәнді дақылдардың үлкен массасын уақытында қабылдау және оның қауіпсіздігі астық сақтау қоймаларының өнімділігін арттыруды қажет етеді. Астық қоймаларын жобалау және салу деңгейімен анықталатын астықты сақтау мәселелерін шешудің техникалық базасын дамытудың тиімділігі мәселелері қарастырылады. Жаңа технологияны, прогрессивті технологиялық процестерді, өндірістік процестерді автоматтандыруды, сондай-ақ жұмыс істеп тұрған кәсіпорындардың алдыңғы қатарлы тәжірибелерін ескере отырып, жаңа астық сақтау қоймаларын жобалау және қайта құру қажет.
Кіріспе
Элеватор-механикаландырылған сақтаудың ең жақсы түрі. Астық қабылдау пункттерінде азық-түліктік, жемдік және тауарлық астықтың көп мөлшері шоғырланады. Олар негізінен белгіленген ылғалдылығы 13-14%тен аспайтын құрғақ тауарлық астықты сақтауға арналған. Элеваторлардағы астық бір-бірінің жанында орналасқан полюстерде сақталады. Элеваторлардағы барлық еңбекті қажет ететін процестер:
-Астықты қабылдау, оны өлшеу, тиеу және түсіру, ішкі тасымалдау, тазалау, сұрыптау және т. б.
- толық механикаландырылған және автоматтандырылған.
Қазіргі заманғы элеватор жалпы өндірістік процестермен байланысты құрылыстар кешенін қамтиды, олардың негізгілері
− Астықты қабылдау, өлшеу, сақтау, босату, ал арнайы
− астықты тазарту, кептіру және сұрыптау.
Элеватордың ғимараттары мен құрылыстарын функционалдық белгілері бойынша:
- Астық пен астық өнімдерін қабылдауға сақтауға, өңдеуге және жіберуге арналған өндірістік;
- өндіріске қызмет көрсететін қосалқы;
- өндірістік емес деп бөлуге болады.
2. Технико - технологиялық бөлім
2. 1. Астық қоймалардың сыйымдылығын есептеу
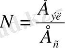
Дән қабылдағыштың ішіндегі астық қоймалардың ішіндегі паспорттық сыйымдылығының анықтайтын формуласы:
Е
= (А
+ С
- В
) К
мұндағы,
А - физикалық массадағы әзірленетін астықымыздың саны, т;
С - әзірлеу барысының бастапқы өтпелі қалдығы, т;
В -әзірлеу кезенінде ай бойындағы тиеудің көлемі. Жобалау кезінде тапсырмамен тағайындайды, ал типтік жобалау дайындалған сәтте әзірлеу көлемінен 10% аламыз, т;
К - түрлі дәнді-дақылдарды орналастырып қоюға арналған орта шамамен алынған коэффицент.
К коэффициентті келесідей формуламен анықтайды:
А А А - физикалық массадағы әзірлеу сәтінде астық әзірлеу мекемесіне келіп түсетін түрлі дәнді-дақылдардың саны, т;
К
, K
. . . K
- әртүрлі дақылдарды орналастыру коэффициенті;
К
=
=
= 1, 16
Е
= (11+11*0, 15-11*0, 1) *1, 16 = 133980
Кесте 1.






2. 2 Силос және бункерлердің сыйымдылығын анықтау.
Дөңгелек және квадрат силостарды силос корпустардың сыйымдылығына қарай ретімен орналастырып қояды. Типтік жобаларға силостың биіктігі 30 метр деп алынады.
Силостардың сыймдылығын анықтау үшін мына формула қолданылады:
мұнда, γ - астықтың натурасы (бидай 0, 68 . . . 0, 82; қарабидай 0, 58 . . . 0, 78; жүгері 0, 70 . . . 0, 80; арпа 0, 48 . . . 0, 72; сұлы 0, 45 . . . 0, 67) ;
Ғс - силостардың ішкі қимасының ауданы, м3;
Нс - силостың биіктігі;
V1 - силостың ең жоғарғы бөлігінің сыйымдылығы;
V3 - силостың ең төменгі бөлігінің көлемі;
Табиғи бұрыш а=26о тең болған кездегігі V1 алынатын мәні:
V1’ = К3а3 = 0, 26*33=7, 02
К3 - жоспарда тиеу тесіктерінің орналасуына тәуелді коэффициенті;
А - силостың қырының өлшемдері;
V31 = К4а3-∆1.
К4 - жоспарда жіберу тесіктерінің орналасуына тәуелді коэффициент;
∆ - төртбұрышты силостың жіберу тесіктерінің дәл өлшемінің түзеу коэффициенті;
∆1 = 0, 36327*0, 5*9-0, 0951*0, 125=1, 63-0, 01=1, 62.
V3 = 0, 269*27-1, 62 =7, 263.
т.
т.
Силостардың қажетті санын келесідегідей формуламен анықтайды:
;
мұндағы, N - силостардың қажетті саны, дана;
Еэл - элеватордың есептеліп жатқан дәнді-дақыл үшін сыйымдылығы, т;
Е с - силос сыйымдылығы, т;
Силостың корпусының бір қатарындағы силос санын білу үшін қажетті силос санын қатар санына бөледі ;
;
2. 3 Астықты қабылдау, өңдеу және жіберу жабдықтарының есебі.
Астықтың санының бастапқы сонымен қатар есепті параметрі физикалық массада ескеріледі :
А
= А
К
К
- астықтың есептік массасын физикалық массаға алмастыру коэффициенті.
Кесте № 2.
Осыдан,
А
= 11 * 80 % / 100 = 88000
А
= 88000 *1, 50 = 132000
Жабдық құрылымының элеваторлары және астық қабылдау өнеркәсіптің номенклатурасы мен қуатын, санын анықтау үшін келесі бастапқы деректер болуы қажет:
- автокөліктердің және автопоездардың түрлері, олардың пайыздық қатынасы және тасымалданатын астықтың саны;
- дайындау кезенінде түсетін әр түрлі текті астық партиясының саны мен мөлшері, негізгі партияның мөлшері, теміржолмен түсетін және тиелетін астықтың үйінді массасы;
- астықтың бөлек партиясы бойынша ауа райы нашар жыл бойынша құрғақ, ылғалды және шикі астықтың мөлшері, ылғал бойынша жағдайы, бөлек партия бойынша астықтың қоспалармен ластануы, қиын бөлінетін қоспалардан тазартудағы астық мөлшері, ластанудың дәрежесі және қоспалардың сипаты;
- берілген учаскіде теміржол маршрутының жүк көтерімділігі, тәулікте тиеу саны, олардың шамасы мен өңдеу уақыты және тиеу аралықтары;
- астықты залалсыздандыру үшін жабдықтың қажетті өнімділігі;
- Бөлек партия бойынша астықтың негізгі қолданылуы;
- Астық дайындау өнеркәсіп жабдығының сыйымдылығы, номенклатурасы және өңімділігі;
- Астық дайындау өнеркәсіп шаруашылығының саны;
- Жобаланған құрылымдарға түсетін астық саны;
- Су тасымалдаумен байланысты өнеркәсіптерді - навигацияның айлар саны;
- Собық сотада жүгеріні дайындайтын өнеркәсіпте түсетін жүгерінің ылғалдылығы мен шығуы;
Астықты өңдеу кезінде ұсақ фракциясын іріктеудің қажеті
Жабдықтың санын астықты өңдеуде операцианың кездесуімен, қабылдауымен және тиеуімен есеппен анықтайды.
Кесте №3 Астық түсімінің теңсіздік коэффициенті.


Кесте № 4 Элеваторға келіп түскен астыққа сипаттама.
Ылғалдылық% : 15 (қоса)
15…17
17…22
Бұзылған, %:
1
1…3
3. . 5
5
10, 10
35
-
40
60
40, 30
30
20, 60
10
10
60, 20
20
50, 45
5
-
2. 4 Таразылы қондырғылар.
Өнеркәсіпте астық автомобильді, вагонды, шөмішті элеваторлы және автоматты таразыларда өлшенеді.
Автомобильді көліктен түсетін астық автомобильді таразыда өлшенеді. Автомобильді таразының қажет санын келесідей формуламен анықтайды:
Г = 0, 000666
А - әзірлеу кезінде автомобильді көлікке түсетін астық саны, Т;
П
- әзірлеу кезенінде жалғастыру есебі, тәулік;
К
К
- түскен астықтың тәуліктік сағатының бірқалыпсыз коэффициенті;
Q - автомобильдердің жүк көтергіш есептеуі (8 т алады) ; т
автомобильдерді 2 қайтара өлшеуге және де құжаттар дайындауға арналған уақыт.
Осыдан,
Г = 0, 000666 = 2, 2
Автомобильдік таразылардың жүк көтерімділігін автомобильдің тіркемесінің және де автомобильдің түрі мен жүк көтерімділігіне қарай таңдалады. Темір жолмен келген не болмаса оған тиелген астық элеваторлы, автоматты не болмаса вагонды таразыларда өлшенеді. Вагонды таразыларды қондыру қажеттілігі арнайы талаптармен анықталып алынады. Қайта өңдеуге жіберілген астық элеваторлы таразыларда өлшенеді.
Автоматты таразылардың үстіндегі шанақтың сыйымдылығын 1, 5…. 2 өлшеумен, таразының астында 0, 5…. 1 өлшеумен қондырады. Автоматты таразыларды бақылау оңай жүрсін деп, сонымен қатар қалдықты өлшеу оңайға түсуі үшін норияның 5 . . . 6 минуттық жұмысына бағдарланып бункерлер тұрғызылған.
Өнімділігі 175т/сағ болатын норияны пайдаланғанда таразы үстіндегі бункердің сыйымдылығы.
A=
Мұндағы;
Q = нория өнімділігі;
t = норияның есептік жұмысның уақыты (5 . . . 6) ;
T = 1 сағатқа тең уақыты (60) ;
Осыдан,
A =
= 17, 5
2. 5 Астықты автомобильді транспортпен қабылдау және оны тиеу.
Түсіру қондырғылары астықты үлкен жүк автомобильдерден түсірілуін қамтамасыз етеді. Ең үлкен жүк көтерімділігі бар автомобиль түсіргіштер: гидравликалық әмбебап У15 - УРВС түсіргіші, гидравликалық өтпелі жандатпалы стационарлы НПБ - 2 СМ1түсіргіші, өтпелі механикалық іске келтіргіші бар автотүсіргіш АВС - 50М1түсіргіші, гидравликалық әмбебап автотүсіргіші У15 - УРАГ. Есептеу үшін У15- УРАГ автомобильді түсіргішті аламыз.
Автомобильдік транспортқа түскен астықтың мөлшерін анықтайтын формула:
a
=
Мұндағы;
А - әзірлеу уақыт ішіндегі автомобильдік транспортынан келген астықтың мөлшері;
К
К
- тәулік және де сағаттағық тенсіздіктегі астық келуінің коэффициенті; Пр = дайындаудың есептеу уақыты;
t = автомобильдік транспортпен келген астық уақыты;
a
=
= 450
Астықты қабылдаудағы ағынның саны келесідей формуламен анықталады:
П
=
(
+
),
Q
- Қабылдаудың қондырғысында көліктік машиналардың өнімділігі;
K
- өнімділігі бойынша көліктік машиналарды қолданудың коэффициенті (Q = 100 т\ч; K
= 0, 85; Q = 175 т/ч K
= 0, 8) ;
- Іс жүргізу
- Автоматтандыру, Техника
- Алғашқы әскери дайындық
- Астрономия
- Ауыл шаруашылығы
- Банк ісі
- Бизнесті бағалау
- Биология
- Бухгалтерлік іс
- Валеология
- Ветеринария
- География
- Геология, Геофизика, Геодезия
- Дін
- Ет, сүт, шарап өнімдері
- Жалпы тарих
- Жер кадастрі, Жылжымайтын мүлік
- Журналистика
- Информатика
- Кеден ісі
- Маркетинг
- Математика, Геометрия
- Медицина
- Мемлекеттік басқару
- Менеджмент
- Мұнай, Газ
- Мұрағат ісі
- Мәдениеттану
- ОБЖ (Основы безопасности жизнедеятельности)
- Педагогика
- Полиграфия
- Психология
- Салық
- Саясаттану
- Сақтандыру
- Сертификаттау, стандарттау
- Социология, Демография
- Спорт
- Статистика
- Тілтану, Филология
- Тарихи тұлғалар
- Тау-кен ісі
- Транспорт
- Туризм
- Физика
- Философия
- Халықаралық қатынастар
- Химия
- Экология, Қоршаған ортаны қорғау
- Экономика
- Экономикалық география
- Электротехника
- Қазақстан тарихы
- Қаржы
- Құрылыс
- Құқық, Криминалистика
- Әдебиет
- Өнер, музыка
- Өнеркәсіп, Өндіріс
Қазақ тілінде жазылған рефераттар, курстық жұмыстар, дипломдық жұмыстар бойынша біздің қор #1 болып табылады.

Ақпарат
Қосымша
Email: info@stud.kz