Негіздіктер мен іргетастар құрылғысына кепілдеме


ЖӘҢГІР ХАН АТЫНДАҒЫ БАТЫС ҚАЗАҚСТАН АГРАРЛЫҚ-ТЕХНИКАЛЫҚ УНИВЕРСИТЕТІ
ИНДУСТРИАЛДЫ-ТЕХНОЛОГИЯЛЫҚ ИНСТИТУТЫ
“Құрылыс және құрылыс материалдары” жоғары мектебі
“Геотехника 2” пәні бойынша
Курстық жұмыс
Тақырыбы: “Ғимараттардың негіздері мен іргетастарды жобалау және есептеу”
Жұмыстың авторы: Жасекеев Жандос ПГС-31 тобы студенті.
Мамандығы: 6В07300 - “Құрылыс инженериясы”
Тобы: ПГС-31
Жетекшісі: Шингужиева А. Б.
Тапсырған күні: “ ”2022 ж.
Бағасы:
Комиссия мүшелері:
Орал қаласы 2022 жыл
МАЗМҰНЫ
КІРІСПЕ.
1. ҚҰРЫЛЫС АУМАҒЫН НЕГІЗДЕУ.
2. КУРСТЫҚ ЖОБАНЫҢ ОРЫНДАЛУ ТӘРТІБІНІҢ ЖАЗБАСЫ.
2. 1. Жүктеменің сипаттамасын бағалау, ғимараттың құрылымдық ерекшеліктері және негіздік деформациясының мүмкін болатын шекті магыналардың анықтамасы.
2. 2. Техникалық-экономикалық салыстыру негізінде фундаменттің рационалдық түрін таңдау.
2. 3. Берілген қимада іргетасты есептеу.
2. 4. Іргетас шөгуін есептеу.
2. 5. Іргетастарды құрылымдауда ұсыныс.
2. 6. Қадалы іргетасты есептеу.
2. 7. Ғимараттардың жер асты бөлігін ылғалдың, жер асты сулары және қияңқы ортаның әсерінен қорғау.
2. 8. Негіздіктер мен іргетастар құрылғысына кепілдеме.
3. КУРСТЫҚ ЖОБА ЕСЕБІНІҢ ШЫҒАРЫЛУ ЖОЛДАРЫ.
3. 1. Құрылыс аумағының инженерлік-геологиялық шарттарын бағалау.
3. 2. Іргестарды салудың тереңдігін таңдау.
3. 3. Іргетастың табанының өлшемін бір уақытта топырақтың негізінің есептук кедергілерімен анықтау.
3. 4. Қадалы іргетас есебі.
4. ІРГЕТАСТЫҢ РАЦИОНАЛДЫҚ ТИПІН ТАҢДАУ.
ҚОРЫТЫНДЫ.
ПАЙДАЛАНЫЛҒАН ӘДЕБИЕТТЕР.
КІРІСПЕ
Топырақ механикасы
Ғылыми пән ретінде жер бетіне әр алуан үйлер мен ғимараттарды салуға байланысты пайда болды.
Топырақ механикасы борпылдақ тау жынысының (табиғи топы- рақтың) механикасы болып табылады және әр алуан ғимараттар мен құрылыстарды жер бетінде жобалау мен салудың инженерлік тәсілдерінің есептеу-теориялық негіздерін құрайды.
Топырақ механикасының негізгі проблемалары мыналар:
- еңісті жер құрылысының тұрақтылығын жоғалтуы ;
- ғимараттың іргетасы астындағы негіздіктің бұзылуы;
- топырақ табанына үлкен қысым түсуі есебінен іргетастың едәуір шөгуінің пайда болуы;
- топырақтың іргетас конструкциясына түсетін реактивті қысымын немесе тіреуіш қабырғасына түсетін қысымды анықтау.
Топырақ механикасын жасауға және дамытуға аса көрнекті отандық және шетелдік инженерлер мен ғалымдар қатысты. III. О. Кулонның (Франция, 1773) «Архитектураға жататын статиканың (тұрақты қалыптын) кейбір проблемаларына максимум және мииимум ережелерін қолдану туралы» зерттеу еңбегін топырақ механикасы жөніндегі бірінші іргелі жұмыс деп айтуға болады. Бұл еңбегінде Кулон тұрақты қалыптылықтын кейбір міндеттерінде үйкеліс пен іліністің әсерін анықтады.
Топырақтар табиғаты
Желге мүжілген Жердің тасты қабыршағының (литосфера) барлық борпылдақ тау жыныстары топырақ деп аталады. Топырақтар құрылыста ғнмарат пен құрылыстың табаны ретінде, сондай-ақ жер құрылысының материалы ретінде пайдаланылады.
Топырақтың пайда болуы
Табиғи топырақтар тау жыныстарының физикалық және химиялық жолмен мүжілуі нәтижесінде пайда болған. Топырақтардың пайда болуы барысында сыртқы жағдайларға байланысты олардың қасиеттері қалыптасты.
Топырақтардың ұзақ мерзімді қалыптасуы уақытындағы табиғи жағдайында көп қайтара өзгерістер, әлденеше рет қайта шөгінділер, өз салмағының әсерімен нығызданулар, қайта нығызданулар, су астында қалулар, құрғақтанулар, және т. с. с. болды.
Жоғарыда айтылғандардың бәрі табиғи топырақтарды оларды қоршаған физикалық-геологиялық ортаға байланыстыра және олардың қасиеттерінің үздіксіз өзгеретінін ескере отырып қарастыру қажеттігін көрсетеді.
Топырақ түрлері
«Топырақтар. Жіктеу» атты 25100-82 ГОСТ мемлекеттік стан- дартқа сәйкес және құрылымдық байланымдардың сипатына бай- ланысты (топырақтың пайда болуына (генетикалық жағынан бөл- шектеу), түзілім жағдайына, құрамы мен құрылыстық касиетіне қарай екі класқа: жартасты және жартасты емес болып бөлінеді.
Жартасты топырақтар (қатты құрылымдық байланымды топырақтар) төрт топқа: магмалық, метаморфикалық, шөгінді және жасанды (табиғатында тереңде жатып өзгеріске ұшырағандар) болып бөлінеді. Граниттер, диориттер, базальттар біршама көп тараған магмалық жыныстар, ол гнейстер, кварциттер және крис- талды тақтатастар, метаморфикалық жыныстар болып табылады. Цементтелген шөгінді жыныстарға кұмдақ тастар, конгломераттар, брекчиялар жатады. Қатты құрылымдық байланымдар цементтелу, силикаттану жолымен және басқа да амалдармен адамдар жасаған жартасты жасанды топырақтар деп атайды.
Топырақ құрылымы
Топырақтардың құрылыстық қасиеттеріне баға беру үшін топы- рақтардың құрылымы мен бітімінің мәні зор.
Топырақ құрылымы дегенде сол топыраққа тән топырақтың ішкі байланымдары мен ол пайда болғанға дейінгі бүкіл ерекшелігіне негізделген ірілігі мен пішіні жағынан әр алуан минералды бөлшектердің және олардың жекелеген агрегаттарының орналасуы деп білеміз. А. К. Ларионовтың айтуы бойынша құрылым топырақ жасайтын қатты, сұйық және газ тәрізді бөлшектердің сандық және морфологиялық арақатынасымен өлшенеді. «Топырақтардың табиғи құрылымы, олардың құрамы мен жай-күйі негізінен алғанда топырақтардың деформациялық-беріктік қасиеттерімен олардың негіздік және құрылыс үшін орта ретіндегі жұмысын анықтайды»
Сыртқы күштердің және өз салмағының әсерінен топырақ массивтерінің кернеулері мен деформацияларын зерттеу, олардың беріктігі, орнықтылығы және қоршауларға, сондай-ақ таяз жерасты құрылыстарындағы топырақ қысымы мәселелерін әзірлеу міндеттері ең маңызды болып табылады. тау-кен өндірісінде; олардың әртүрлі тиеу жағдайлары үшін шешімі құрылыс тәжірибесінде тікелей қолданылады.
Үздіксіз сызықты деформацияланатын ортаның теңдеулеріне негізделген және белгілі бір жағдайларда ғана топыраққа қолданылатын ерітінділерді пайдалану кернеу күйі шектелмейтін тау-кен жұмыстарының көптеген мәселелерін қарастыруға мүмкіндік береді. Бірқатар жағдайларда сызықты деформацияланатын орта теориясына сәйкес тек кернеулі күй орнатылады, ал деформацияларға көшу эксперименттік анықталған тәуелділіктерді қолдану арқылы жүзеге асырылады.
Топырақтың уақыт бойынша деформациялану мәселелерін қарастыру кезінде (сүзілу консолидациясы немесе сусымалы теориясы бойынша) үздіксіз сызықты деформацияланатын орта үшін есепті шешу негізінде алынған кернеудің таралуы қолданылады. Түйіршікті орталардың шекті тепе-теңдігі теориясы тау-кен жұмыстарында іргетастарға сыни жүктемелерді, берілген профильдегі топырақ еңістерінің шекті тепе-теңдігін, жүктемесіз немесе берілген ең тұрақты еңістердің сұлбасын анықтауға байланысты мәселелерді қарастыру үшін қолданылады. жоғарыдан түсетін жүктеме және көлбеу тірек қабырғалардағы белсенді және пассивті топырақ қысымдары, топырақ үйінділерінің тұрақтылығы және т. б.
Құрылымдық тұрақсыз топырақтардың кейбір түрлерінің (мәңгілік тоңның еріуі, сулану кезінде лесстің шөгуі, құрылымы әлсіз) олардың физикалық күйі мен құрылымының күрт өзгеруіне байланысты деформациялық ерекшеліктері болады. Қазіргі топырақтарда еріген кездегі мәңгі тоң топырағының шөгуін және сулану кезінде лесстің шөгуін есептеудің арнайы әдістері әзірленді. КСРО-да деформацияларды шектеу үшін негіздер мен іргетастарды жобалаудың ең прогрессивті әдісі жасалды. Қазіргі топырақ географиясының маңызды міндеті - зертханалық және далалық жағдайларда топырақтың физика-механикалық қасиеттерін анықтау әдістерін одан әрі жетілдіру, құрылымдар мен іргетас топырақтарының бірлескен жұмысын кешенді зерттеу және қадалық іргетастарды есептеу.
ҚҰРЫЛЫС АУМАҒЫН НЕГІЗДЕУ
Жаңаөзен - Маңғыстау облысындағы қала, қалалық әкімшілік орталығы. Облыс орталығы - Ақтау қаласынан оңтүстік-шығысқа қарай 150 км жерде, Маңғыстау үстіртінің оңтүстік-батыс етегіндегі жазық шөлді белдеуде орналасқан. Тұрғыны 151, 0 мың адам.
Тарихы.
Алпысыншы жылдардың басында Өзен кенорнына барлаушы-геологтар түпкілікті қоныстанып, өздерінің зерттеу-барлау жұмыстарын жоспарлы жүргізді. Қызылсайда алғашқы мекен-жайлар пайда болып, жан-жақтан халық жинала бастады. Алғашында жертөлелер мен вагондар орналастырылып, соңынан сол маңдағы жерқабақтардағы жұмыс тастарды тұрғын үй тұрғызуға пайдаланады. Сөйтіп барлаушы-геологтар мекені Өзен поселкесі пайда болды. Түбекті игерушілердің жанқиярлық еңбегі босқа кетпеді. Алпысыншы жылдары Өзен кенорнынан газ бен мұнайдың көзі ашылды. 1964 жылы қазіргі мұнайшылар қаласының қазығы қағылып, қала типтес жұмысшы поселкесі пайда болды. Онда Маңғыстау жарты аралында тұңғыш рет мұнай кәсіпшілігі басқармасы құрылды, бұл өлкеде екпінді құрылысшы бригадалары жасақталып, тұрғын үйлер мен мәдени нысандарды салу жұмыстары жүргізілді.
1968 жылы 21 қазанда Қазақ КСР Жоғары Кеңес Президиумының қаулысымен Гурьев (қазіргі Атырау) облысы құрамында Өзен ауданы құрылып Жаңаөзен поселкесі қала статусын алды .
Тұрғындар.
Жаңаөзен қаласының халық санағы 2019 жылғы санақ бойынша 81 581 адам.
Ер адам саны 44 259.
Әйел адам саны 37 322. (2019)
Климаты
Жаңаөзен қаласында жазда ыстық, құрғақ және бұлтты, ал қыста аязды, қарлы, желді және кей жерлерде бұлтты болады. . Жыл бойы қатты желдер болады. Қыс ұзақ емес, бірақ өте аязды. Қыстың орташа температурасы -5 -7 градус, кей жерлерде -15 -17 градусқа дейін жетуі мүмкін. Аз қуатты қар жамылғысы. Қатты желдер ұзақ Боранға әкеледі. Жаз әрқашан ыстық, құрғақ және ұзақ. Жаздың орташа температурасы +34 +36 градус, кейде +45 градусқа жетуі мүмкін. Өте сирек жаңбыр жауады. Жауын-шашынның жылдық орташа мөлшері 120 мм. Жауын-шашын жыл бойы біркелкі бөлінеді, көктемгі кезеңде жауын-шашынның шамалы өсуі байқалады.
Жағажай/бассейн бойынша баллға сүйене отырып, ыстық ауа - райында демалу мақсатында Жаңаөзен қаласына жылдың ең жақсы уақыты-маусым айының ортасынан тамыз айының соңына дейін.
Жаңаөзен қаласының айлар бойынша ауа райы.
2. КУРСТЫҚ ЖОБАНЫҢ ОРЫНДАЛУ ТӘРТІБІНІҢ ЖОБАСЫ
2. 1 Жүктеменің сипаттамасын бағалау, ғимараттың құрылымдық ерекшеліктері және негіздік деформациясының мүмкін болатын шекті магыналардың анықтамасы
Жобалау кезінде негіздіктер және іргетастардың үнемділік, сенімділік, сонымен қатар салынатын объектілердің тұрақтылығын және эксплуатациондық жарамдылығы кіріспеде әртүрлі есептік коэффициенттермен қамтамасыз етіледі, құрылыс алаңының жергілікті топырағының ерекшеліктерін бөлек мүмкіндік беретінін ескеру, ерекше әсер ететін жүктеме және ғимараттың ерекше құрылымдық сызбасы.
Негіздіктегі жүктеме нормативті және есептік болып ажыратылады. Нормативті негіздіктің мәні СНиП 2. 02. 07-85 «Нагрузки и воздействия» бойынша орнатылады. Есептік жүктеме сенімділік коэффициентіне нормативті жүктеме (γƒ) белгілері жүктемені көбейту жолымен анықталады, қабылданған жобада мөлшердің нақты жүктемелердің болуының мүмкіндіктері ескеріледі.
Жүктеме ұзақтық тәуелділік әрекетінде тұрақты және уақытша жүктеме болады. Тұрақты жүктемеге құрылыста және ғимарат пайдаланымында толассыз жұмыс істейтіндер жатады. Уақытша жүктемеге жататындар бөлек құрылыс кезеңі және құрылыс пайдаланулары жоқ болатындар. Қарапайым тұрақты жүктеме құрылыс материалдарының меншікті салмағынан және бұйымдардан (топырақтар, құрылым элементтері және т. б. ) құралады. Уақытша жүктеме ұзақ әсер етуші, қысқа мерзімді және ерекше болып бөлінеді. Ұзақ уақыт әсер етуші жүктемелерге жатады : қалқалардың уақытша салмағы, стационарлық жабдықтардың салмағы, газ және сұйықтық қысымы, қатпарлы қыртыс материалдар жүктемесі, температуралық, технологиялық және климаттық әсерлер, көпірлі жабдық салмағы. Қысқа мерзімді жүктемелерге жататындар: адамдар салмағы; жөнделетін материалдар; жүктеме, құрылыс құрылымдарын тұрғызуында және дайындаулардың пайда болуы; қатпарлы құрылыс материалдарының және үйінді топырақтардың жүктемесі; қоғамдық және тұрғын ғимараттардың жабын жүктемелері; қар және желдің әсерінен болатын жүктеме. Ерекше жүктемелерге жататындар:сейсмикалық және жарылыс әсерінен болатын жүктеме, техникалық процестер кезінде болатын қауырт тәртіп бұзулар және әркелкі тұнба әсерлері, топырақ құрылымының өзгеруі. Жобаланушы ғимараттардың іргетастарының негіздіктері есептеледі және салулардың шекті күй жағдайларының екінші топтан бірдей жүкті тиеуде қолданылатын сенімділік коэффициентінің жүктемесі (γƒ) 1-ге тең деп алынады.
Жүктеменің есепке арналған ықтималдықтың бір уақытты әрекетінің бірнеше түрлері -тұрақты, уақытша, ұзақ жұмыс істейтіндер және қысқа мерзімді үйлестірулердің коэффициентін енгізеді. Қалай және барлық құрылымдар, негіздіктер және іргетастар жоғары әрекеттерге есеп айырысады, Максимал жүктеме барлық тұрақты, уақытша және ерекше күштің әсерінен болған жағдайда, онда мұндай үйлесімділік ерекше деп аталынады, бірақ бұл жағдайда үйлесімділік коэффициенті 0, 8 тең деп қабылданған. Бұдан басқа негіздіктер мен іргетастарды есептеуде келесі коэффициенттер қолданылады:
γм, γ g - сәйкесінше, материал қасиетінің физико-механикалық сипаттамасының есептік мәнінің ауытқуларын ескеретін, үлгілерді таңдау кезіндегі байқаусыз ауытқулардың және дәл емес анықтаулары кезінде жіберілген, топырақ пен материалдар бойынша серпімділік коэффициенті. Бұл жағдайда сипаттаманың есептік мәнің олардың нормалық мағынасын сәйкесінше сенімділік коэффициентіне бөлу арқылы табады.
γn - салулар бойынша сенімділік коэффициенті, ғимараттар мен алулардың жауапкершілік деңгейін ескеруі, сонымен қатар негздіктер мен іргетастың мүмкін жағдайдағы жұмыстың есептік сұлбасының қабылданған жеткіліксіз сәйкестік. Бұл коэффициентті әдетте материалдар кедергісінің есебін анықтауда қолданады.
γс -негіздктер мен іргетастардың жұмыс мінезі мен шартын, топырақ қасиеттерінің ерекшеліктерін ескеретін, жұмыс шарты коэффициенті. Бұл коэффициентта материалдар кедергісінің есебін анықтауда қолданады.
Негіздіктер мен іргетастарды жобалаудын алдында : ғимараттың контрукциялық және есептік сұлбасын зерттеу, оның қаттылығын бағалау, деформацияның шекті мәнің және мүмкін мінездемесін орнату. Негіздіктердін отыруға сезімталдығына байланысты барлық ғимараттар мен салулар 3 түрге бөлінеді:иілгіш, қатты және біршама қатты. Иілгіш ғимараттар негіздіктің орын ауыстыруын бақылайды, сонда тегіс емес отырыу пайда болғанда мұндай салулардың конструкциясында айтарлықтай қосымша кернеу пайда болмайды. Осы топқа тұтасметалды қаңқалы ғимараттар мен салуларды, сукоймалардың иілгіш тубін, жүккөтергіш конструкциясының статикалық анықталған сұлбасы бар салуларды жатқызуға болады. Қатты салуларда тегіс емес отырыс кезінде негіздік конструкциясында қосымша кернеу пайда болады. Көп жағдайда отырыстар бұл ғимараттардың айтарлықтай беріктік қоры есебінен қауіпсіз. Қатты салуларға: элеваторлар, доменді пештер, түтін трубалары, суберліс мұнаралар, көлемді көпір тіректері т. б. топырақ деформациясының өсуі процесінде негіздіктер мен салулар иілмейді, тегіс қатты дене тәрізді отырыс береді.
Біршама қатты салуларға бұқаралық құрылыстың көптеген нысаны жатады: рамалы кесілген темірбетон конструкциялы, жұккөтергіш қабырға мен қатты темірбетон жабылымдар, кірпіш, үлкен блокты және үлкен панельді ғимараттар мен салулар. Жүккөтергіш конструкцияларда қатты ғимараттарға қатысты негіздіктердің тегіс емес отыруы кезінде деформация туғызатын қосымша кернеу пайда болады. Ғимараттар мен салулар олардың қаттылығы мен тегіс емес отыруының даму мінезіне байланысты нездікте деформацияның келесі түрлері болуы мүмкін: иін немесе майысу, қисаю және жантаю.
Иін және майысу(2. 1сур. а, б) ғимараттың майысуы түрінде айқындалады. Мұндай деформациялар тіктөрбұрыш пішіндегі үлкен қаттылыққа ие ғимараттар үшін тән.
Қисаю(2. 1 сур. В, г) жақын жатқан көршілес іргетастар ғимараттар мен салулардың вертикалды қалыпта қалуын сақтау кезінде тегіс емес отыруы. Деформацияның мұндай түрі біршама қатты қаңқалы ғимараттарда байқалады.
Жантаю(еңіс) (2. 1сур. д, е) - бұл біріңғай улкен іргетастардың шеткі нүктелеріндегі отырудың әртурлілігі нәтижесінде пайда болатын вертикалды оске қатысты салудың бұралуы. Жантаю, әдетте қатты ғимараттар мен салуларға тән.
Ғимараттар мен салулардың және олардың іргетасының жалпы деформациялық қалпы келесі деформацияның түрлерімен сипатталады:
1. Ғимараттар, салулар мен жеке іргетастардың жалпы қатты отырысы, оның табанындағы қандай да бір S максималды абсолюттік отырыс нүктесіне тең.
2. Біртекті іргетастың үш нүктесіндегі немесе үш іргетастың абсолютті отырысының есептелуі бойынша S ғимараттың орташа отыруы.
2. 1 Сурет Ғимараттар мен құрылымдардың негізін салғандағы деформация түрлері; а- бүгілу, б- майысу, в, г- қисаю, д, е-крен
3. i іргетасымен немесе құрылымының крені деп, құрылымның немесе бөлек іргетастың екі шетіндегі нүктесінің абсолюттік шөгінді дақтарын анықтаймыз, осылардың арақашықтығына қатысты.
4. ∆S ғимараты мен құрылымына салыстырмалығы бірдей емес шөгінді дақтар, қисаюмен анықталатын, майысу мен бүгіліске қатысты. Қисаю екі бір-біріне жақын іргетастың арасында максималдық айырымда жатыр, олардың осьтерінің ара қашықтығына қатысты. Салыстырмалы майысу және бүгілу майысу стреласымен анықталады, бүгілетін ғимараттар мен құрылымдардың ұзындығына қатысты.
Негіздер мен іргетастарды жобалағанда шарттың орындалуын қадағалау керек, осыдан шөгінді дақтар (осадки), есеппен орналастырылған, олардың шекті мәнінен аспауы керек, регламенттелген СНиП РК ғимарат пен құрылымның үлгісін есепке ала отырып:
S≤S u ∆S/L≤(∆S/L) u i≤i u
Мұнда S u ; (∆S/L) u ; i u -шекті мүмкіндік мәндер, осыған сәйкес, абсолюттік, орташа шөгінді дақтар және салыстырмалы бірдей емес шөгінділер және кренді 1-кестеден қараймыз.
Негіздердің шекті деформациясы
1 кесте
0, 002
0, 004
-
-
-
-
8
12
3) Көпқабатты каркассыз ғимараттар көтергіш қабырғалармен:
үлкен панельдер;
үлкен блоктар және тас қалаулар қаптаусыз;
қаптаулы, сонын ішінде темірбетон белдіктер құрылысымен.
0, 0016
0, 002
0, 0024
0, 005
0, 005
0, 005
10
10
15
-
-
-
4) Элеваторлар құрылымы темірбетон конструкциялардан: жұмыс ғимараты және силосты корпус монолитті конструкцияның бір іргетасты плитада;
тағы да, құрама конструкция;
бөлек тұратын жұмыс ғимараты;
-
-
-
-
-
0, 003
0, 003
0, 004
0, 004
0, 004
40
30
40
30
25
-
-
-
-
-
5) Түтін құбырлары биіктікпен, м:
H≤100
100<H≤200
200<H≤300
H>300
-
-
-
-
0, 005
1/2H
1/2H
1/2H
40
30
20
10
-
-
-
-
2. 1 Құрылыс аумағының инженерлік-геологиялық шарттарды бағалау үшін қажетті
1. Топырақтың берілген характеристикасын кестеге келтіру. (КП тапсырмасына қараймыз. )
2. Топырақтың келесідей жетіспейтін характеристикасын есептеу және кестеге енгізу:
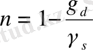
- топырақ ара салмаєы
топырақтың қатты бөлшектерінің ара салмағы
, бұлар көбейтумен анықталады, сәйкесінше, p және p
s
мөлшеріне сәйкес еркін түсу үдеуі g=9, 81 м/с
2
;
- пластикалық саны J P =W L -Wp , бұл сазды топырақтың атауын анықтауєа мүмкіндік береді ( супесь, саздақ, сазбалшық) ;
- консистенция көрсеткіші
, бұл сазды топырақтың күйін бағалауға септігін тигізеді;
- кеуектілігі, кеуекті топырақ көлеміне кеуек көлемінің қатынасы
;
-кеуектілік коэффициенті
бұл формуламен бөлшектердің тығыздығына байланысты сусымалы топырақтың күй-жағдайы анықталады;
-ылғалдылық деңгейі
, бұл көрсеткішке байланысты сусымалы топырақтар азылғалды, ылғалды және суға қаныққан болып бөлінеді;
-толық ылғал сыйғыштық
-гранулометрлік құрамы;
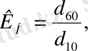
-біртекті еместік коэффициенті, бұл қисық гранулометрлік құрам (қисық Талбо) бойынша анықталады:
Мұндағы d 60 , d 10 -бөлшек диаметрлері, сейкесінше 60% және 10%құрамды, мм.
Іргетас негізінің шөгуін есептеу үшін кемінде келесідей топырақтың сығылу характеристикасын білу керек: E o , m 0 , m v .
- деформация модулі Eo= β/ mv, МПа;
мұндағы: m v = m 0 /(1+e), -салыстырмалы қысылу қабілетінің коэффициенті, МПа -1 ;
m 0 - қысылу коэффициенті, мына формула бойынша анықталады:
m 0 = е 1 - е 2 / σ zp2 - σ zp1 , МПа -1 ;
β-коэффициент, формуласымен анықталады;
µ - Пуассон коэффициенті, ол құм, құмдақ үшін 0, 3-ке, саздақ үшін 0, 35-ке, саз, торф үшін 0, 42-ге тең.
Егер Е 0 <5 МПа болса топырақ қатты сығылған, Е 0 >20 МПа болса аз сығылған болып саналады.
R 0 қабатты топырақтың есептік қарсылығын анықтау барысында және ғимараттың тұрақтылық негізін анықтау барысында топырақ сапасының негізі қолданылады: С - салыстырмалы ұстасу(МПа), φ - ішкі бұрышы.
... жалғасы- Іс жүргізу
- Автоматтандыру, Техника
- Алғашқы әскери дайындық
- Астрономия
- Ауыл шаруашылығы
- Банк ісі
- Бизнесті бағалау
- Биология
- Бухгалтерлік іс
- Валеология
- Ветеринария
- География
- Геология, Геофизика, Геодезия
- Дін
- Ет, сүт, шарап өнімдері
- Жалпы тарих
- Жер кадастрі, Жылжымайтын мүлік
- Журналистика
- Информатика
- Кеден ісі
- Маркетинг
- Математика, Геометрия
- Медицина
- Мемлекеттік басқару
- Менеджмент
- Мұнай, Газ
- Мұрағат ісі
- Мәдениеттану
- ОБЖ (Основы безопасности жизнедеятельности)
- Педагогика
- Полиграфия
- Психология
- Салық
- Саясаттану
- Сақтандыру
- Сертификаттау, стандарттау
- Социология, Демография
- Спорт
- Статистика
- Тілтану, Филология
- Тарихи тұлғалар
- Тау-кен ісі
- Транспорт
- Туризм
- Физика
- Философия
- Халықаралық қатынастар
- Химия
- Экология, Қоршаған ортаны қорғау
- Экономика
- Экономикалық география
- Электротехника
- Қазақстан тарихы
- Қаржы
- Құрылыс
- Құқық, Криминалистика
- Әдебиет
- Өнер, музыка
- Өнеркәсіп, Өндіріс
Қазақ тілінде жазылған рефераттар, курстық жұмыстар, дипломдық жұмыстар бойынша біздің қор #1 болып табылады.

Ақпарат
Қосымша
Email: info@stud.kz