Электр жүктемесін есептеу


3. ЕСЕПТЕУ БӨЛІМІ
3. 1 Электр жүктемесін есептеу
Тұтынушылардың электр жүктемелері электр қамту жүйелерінің барлық элементтерін дұрыс таңдауын анықтайды.
Трансформатор қосалқы станциясының (ТҚС ) желілерінің және тарату тораптарының дұрыс таңдалуын қамтамасыз ету қажет.
Қажетті электр жүктеменің дұрыс анықталуының мәні өте зор. Себебі энергетикалық жүйенің барлық элементтері сол есеппен алынады.
Жобалау жүмыстары кезінде қажетті электр жүктемесін есептеп, аныктаудың негізгі әсерінен қарастырады.
Активті жүктемемен максимал жүктемені мына формула бойынша табамыз:
![]()
Реактивті қуаттылықты мына формуламен табамыз:
Q=P·
tq ц
cosц қуаттылық коэффициенті арқылы tq ц табамыз:
Орнына қойып табамыз:
![]()
;
![]()
![]()
Әрі қарай:
![]()
Реактивті қуаттылықты табамыз:
Q= P · tq ц = 1350 · 0, 25= 338 кВар
3. 2. Электр қамту сұлбасын таңдау
Электр станциялары мен қосалқы станцияларды жобалау кезінде ең жауаптысы және қажеттісі электрлік жалғану сұлбаларын дұрыс таңдау. Сұлбалардың бірнеше түрлері бар. Мысалы: ең басты сұлбалар және өздік мұқтаж ететін сұлбалар.
Электр қондырғыларының сенімді жұмысы экономикасы, оперативтілігі (яғни әр түрлі жұмыс шарттарының өзгеруіне бейімділігі) және кеңею мүмкіншілігін таңдалған сұлбаға байланысты.
Электр станциясы мен қосалқы станциясының электрлік жалғану сұлбаларының таңдалуына бірнеше факторлар әсер етеді:
1. Энергетика жүйесінің станцияларымен қосалқы станциясының типі, тағайындалуы және орналасуы;
2. Генераторлардың, күштік трансформаторлармен желілердің саны мен қуатылығы;
3. Жергілікті жүктеменің электр тұтынуы мен қуаттылығы;
4. Электр қамту тұтынушыларының сенімділік сұраныстары (электр қабылдау категориясы) ;
5. Энергетика жүйесінің тораптарының сұлбалары мен кернеулері;
6. Қысқа тұйықталу тоқтарының деңгейі;
7. Қажетті параметрлерінің жабдығы мен оның сенімді жұмысы;
8. Электр қамтудың бұзылуы және тұтынушыларға электр энергиясын дұрыс жіберілмеуі шығынының көлемі;
Өнеркәсіп мекемелерінің электр жабдық сұлбасы қоректендіру көзі мен электр энергиясын тұтынушылардың өзара байланысын көрсетеді.
Электр қамту сұлбасын құру приципіне сәйкес келесі негізгі сұраныстарды сұлба қамтамасыз ету керек: тұтынушыларды қажетті энергиямен сенімділікпен қамтамасыз етуі, пайдалануда қарапайым және ыңғайлы болуы, электр беру желісінің маңына қондырылған трансформаторлардың орын алуы, ажыратқыштардың бірінші кернеудегі жинақталған шинасыз құрылысының есебінен таңдалуы. Сұлбалардың барлық элементтері жұмыста болып, апаттық жағдайда қандай да болсын негізгі элементі жұмыстан шығып қалса қалғандары жұмыста толықтай өзіне немесе жартылай болсын сөнген элеметтің жүктесін көтере алатынына көрсеткіштері сәйкес болуы керек.
Электр тораптарының даму сұлбаларында торап кернеулері көрсетеді. Бұл жерде электр станциясының электр энергиясы жұмыс және демалыс күндерінің жүктеме графигі максимум жүктемесін пайдалану сағат саны, торап арасындағы есептелген қуаттылық, торап сұлбасы және әрбір кернеудің желісінің саны көрсетіледі.
Электр станциясында ереже бойынша үш фазалы және екі орамды, үш орамды трансформаторлар, сонымен қоса бірфазалы автотрансформаторлар қондырылады.
Трансформатор қосалқы станциясына төмен кернеу орамы екі тармаққа тарамдалған екі трансформаторды қондырамыз.
3. 3. Трансформаторлардың қуаттылығы
мен санын таңдау
Қосалқы станцияларда екі трансформатор немесе автотрансформатор қондырылады. Тұтынушылардың электрлік қамтылуы сенімді болу үшін, трансформаторлардың қуаттылығын дұрыс таңдау қажет. Мысалы: трансформатордың біреуі апат себебінен ажыратылған жағдайда.
Қосалқы станциясындағы трансформатор саны, қуаттылығы электрлік қамту сұлбасының сенімділігі, сонымен қоса капиталдық шығын және
трансформаторлардың экономдық жүктелу режім шарттарына қанағатты болу керек. Трансформаторлар қуаттылығын қалыпты режімде жүктелуін аз шығынға қарай таңдайды.
Егер трансформатор қосалқы станциясында екі трансформаторды қондырса, әр біреуінің қалыпты қуаттылығы мына шартқа байланысты орындалады:
![]()
![]()
Мұндағы: 0, 7 - трансформатордың жүктелу шартымен тәулік графигінің жүктемесін толтыру коэффициенті;
(Ә-1) сөздігінен шартқа бағына отырып, қажетті трансформаторларды екі нұсқалы түрде таңдаймыз:
Нұсқа 1 ТМ-1000 -35/6
Нұсқа 2 ТМ - 1600 - 35/6
Трансформаторлардың жүктелу коэффициентін анықтаймыз:
;
Бұл жерде:
S max - тұтынушылардың максимал қуаттылығы.
S nom - трансформаторлардың қалыпты қуаттылығы
Нұсқа 1:
![]()
Нұсқа 2:
![]()
Апаттан кейінгі режімге жүктелуі:
![]()
Нұсқа 1:
![]()
![]()
Нұсқа 2:
![]()
![]()
Трансформатордың түпнұсқадағы берілгендерін №1 кестеге енгіземіз.
Кесте №1
Трансформатор,
МВ · А
Шығындар, кВт


1) 2 ·1МВ. А
2) 2 · 1, 6МВ. А
2, 35
3, 1
11, 6
16, 5
1, 5
1, 4
6, 5
6, 5
- 3. 4. Нұсқаларды техника- экономикалық
есептеумен салыстыру
Қосалқы станциясын өндіріп құру үшін капиталдық шығынды трансформаторлардың есептелу бағасына қарай анықтаймыз:
;
Бұл жерде:
- сөздіктен алынған бір трансформатордың бағасы.
Нұсқа 1 К = 2 · 299 = 598 мын. тенге
Нұсқа 2 К = 2 · 880= 1760 мын. тенге
Бір жылдық энергия шығынының бағасын мына формула бойынша анықтаймы з :
![]()
Бұл жерде:
Cо - электр энергиясының 1 кВт сағат бағасы
n - жұмысқа қосылған трансформаторлар саны
∆
б. ж. - бос жүріс шығыны
қ. т. - қысқа тұйықталу шығыны
Кэ - реактивті қуаттылықтың экономикалық коэффициенті
I б. ж - бос жүріс тоғы
S ном - трансформатордың номинал қуаттылығы
К т. ж. - трансформатордың жүктелу коэффициенті
U қ. т. - қысқа тұйықталу кернеуі.
Т - трансформатордың бір жылда негізгі орындалу жұмыс уақыты.
ф - шығынның уақыты
Нұсқа 1
![]()
Нұсқа2
![]()
Амортизациялық шығарылуы:
;
Бұл жерде: C a - станцияны өндіруге кеткен капиталдық шығыны.
Нұсқа1
![]()
Нұсқа 2
![]()
Жалпы пайдалану шығынының анықталуы:
;
Нұсқа 1
![]()
Нұсқа 2
![]()
Есептеменің берілгенін №2 кестеге енгіземіз:
Кесте №2
Нұсқа
Аморт. шығар.
Пайдалану шығ
1) 2 * 1 МВ·А
2) 2* 1. 6МВ·А
598
1760
5088. 283
4067, 311
59. 8
176
5686, 28
5827, 311
Салыстырмалы кестеде көрсетілген нұсқалардың біріншісі ТМ - 1000 - 35/6 кВ трансформатор қондырғысы тиімді болғандықтан, әрі қарай сол бойынша есептемені жалғастырамыз.
3. 5. Қоректендіру желісін таңдау
Қоректендіруші желісін дұрыс таңдау үшін, берілген формуламен есептейміз:
![]()
Есептеп отырып, мынаны аламыз:
![]()
Желінің экономикалық ең тиімді қимасын анықтаймыз:
;
![]()
Сөздіктен (Ә-1) болат алюминий өткізгішінің АС - 35/6, 2 маркасын таңдаймыз, I рұқ =175 А, r o = 0, 773 Ом/км; х о = 0, 408 Ом/км.
Таңдаған өткізгішті ұзақ тоқпен қызуын тексереміз:
I рұқ > 2 · I есеп
Бұдан:
175 > 2 · 11, 53
175 > 23, 06
Сосын таңдаған өткізгішті кернеудің шығынына тексереміз:
Бұл үшін:
1) Кернеудің тігінен құлауын келесі формуламен анықтаймыз:
;
Мұндағы:
Р - активті қуаттылық
Q - реактивті қуаттылық
U н - номинал кернеу
R - желінің активті кедергісі
X - желінің индуктивті кедергісі
Желінің активті кедергісін мына формуламен табамыз:
R = r o · L;
мұндағы: r o - желіге активті бөлінген кедергі
L - желінің ұзындығы.
Орнына қоя отырып, табамыз:
R= 0, 773 · 40 = 30, 92
Желінің индуктивті кедергісін табамыз:
Х = х о · L;
мұндағы: х о - желінің меншікті индуктивті кедергісі.
Х = 0, 408 · 40 = 16, 32 Ом
Кедергінің белгілі мәндерін орнына қоямыз :
![]()
2) Кернеудің көлденең құлауын анықтаймыз:
;
![]()
3) Кернеудің ортақ құлауын анықтаймыз:
;
![]()
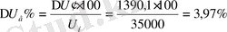
4) Кернеудің пайыздық шығынын формуламен анықтаймыз:
;
;
Кернеу шығынының шартын таңдалған өткізгіш қанағаттандырады.
;
![]()
3. 6. Қысқа тұйықталу тоқтарын есептеу
Көбінесе қысқа тұйықталулар ауыспалы кедергілер арқылы пайда болады. Мысалы: оқшауламаның ақауланған жерінде электр доғасы кедергісі арқылы қысқа тұйықталуды байқауға болады. Үш фазалы электр қондырғылардан үш фазалы және екі фазалы, қысқа тұйықталулар пайда болады. Сондықтан оларда симметриялық деп атайды.
Қысқа тұйықталулардың басқа түрінде торап фазалары әр түрлі жағдайда болғандықтан симметриялы емес деп атайды.
Қысқа тұйықталу тоқтарын есептеу алдында есептеу сұлбасы мен алмастыру сұлбасын саламыз.
Сурет 1. Есептеу сұлбасы
.
Сурет 2. Алмастыру сұлбасы 35/6кВ
К - 1 нүктесі үшін жүйенің кедергісін анықтаймыз:
;
мұндағы:
S б - базалық қуаттылық, еркін таңдаймыз.
S k - қысқа тұйықталу қуаттылығы, еркін таңдаймыз.
![]()
Желінің кедергісі:
![]()
мұндағы:
Х 0 - меншікті индуктивті кедергі.
l - желінің ұзындығы.
U орт - ЖК жағындағы орташа кернеуі.
![]()
К-1 нүктесінде нәтижелі кедергіні табамыз:
Х нәт1 = Х с +Х л ;
Х нәт1 =0, 9+ 13, 15 = 14, 05
Қысқа тұйықталу тоғын К-1нүктесінде анықтаймыз:
К-1 нүктесінің қысқа тұйықталуын құрайтын периодты мәнін табамыз.
;
мұндағы: I б - базалық тоқ
Анықтаймыз:
![]()
![]()
![]()
К-1 нүктесіне соққы тоғын анықтаймыз:
;
Мұндағы: k с - соққы коэффициенті, 35 кВ - k с = 1, 78
![]()
К-1 нүктесіне қысқа тұйықталу тоғының апериодты құраушысын анықтаймыз:
;
мұндағы:
- қисық және белгілі шамалармен анықталады.
ф - қысқа тұйықталу тоғын анықтауға қажетті есептеу уақыты.
Орнына қойып табамыз:
К-2 нүктесін кедергі элементтерімен трансформатор кедергісін анықтаймыз :
![]()
мұндағы: U қ. т. - қысқа тұйықталу кернеуі.
S ном - трансформатордың қалыпты қуаттылығы.
![]()
К-2 нүктесіне нәтижелі кедергіні табамыз:
![]()
=14, 05 + 65 = 79, 05 Ом
К-2 нүктесінің қысқа тұйықталуын құрайтын периодты мәнін табамыз
![]()
мұндағы: I б - базалық тоқ;
Анықтаймыз:
![]()
![]()
К - 2 нүктесіне соққы тоғын анықтаймыз:
; Мұндағы:
K с - соққы коэффициенті, 10 кВ k с = 1, 7
![]()
К - 2 нүктесіне қысқа тұйықталу тоғының апериодты құраушысын анықтаймыз:
![]()
Орнына қойып, табамыз:
![]()
Есептеменің берілгенін №3 кестеге енгіземіз.
Кесте №3
Қысқа тұйықталу нүктесі
I п. о., кА
I с., кА
I б., кА
i аr, кА
К-1
К-2
16. 5
55. 1
1. 17
0, 69
2, 67
1, 65
0, 16
0, 09
3. 7. Жоғары кернеу жағына жабдықтарды таңдау
Электр жабдығын таңдаудың алдында қалыпты және максимал жұмыс режімдерінің тоқтарын мына формулалармен анықтау қажет.
![]()
![]()
мұндағы:
трансформатордың номинал қуаттылығы.
трансформатордың номинал кернеуі.
![]()
![]()
Электр жабдығын таңдау үшін қысқа тұйықталу тоғының К-1 нүктесінің есептемесін қолданамыз.
Номинал берілгендер есептеменің берілгенімен немесе есепке тең болуы керек.
Жабдықты таңдау кестеге енгізіліп орындалады
Кесте №4
Есептеменің
берілгені
Түп нұсқадағы берілгендер
Айырғыш
ВВУ-35-40/2000
Ажыраткыш
РВ-35/400
U қон. = 35 кВ
I нак = 23, 09 А
I с = 2, 67 кА
I пер = 1, 17 кА
В к = I п. о. 2 (t cb +T a ) =
=1, 17 2 •(0, 5+0, 35) =
=1, 12кА 2 •с
U кон. = 35 кВ
I нак. = 2000 А
I дин =100 кА
I тер =40 кА
I
тер
U ном. = 35 кВ
I ном = 400 А
I дин =42 кА
I тер. = 16 кА
-
Жетек
ШРНА
ПР - 3
3. 8. Төмен кернеу жағына жабдықтарды таңдау
Төмен кернеу жағына электр жабдығын таңдау, жоғары кернеу жағына таңдауға ұқсас орындалады.
Жабдықты таңдар алдында қалыпты және максимал жұмыс режімдерінің тоғын келесі формулалар бойынша табу қажет:
![]()
![]()
![]()
![]()
Жабдықты таңдап кестеге енгіземіз. К-2 нүктесінің есептемесін қолданамыз.
Кесте №5.
Түп нұсқадағы берілгендер
Ажыратқыш
ВЭМ-6-3200/40-125
U қон. = 6кВ
I нак = 40, 46 А
I с = 1, 97
I с = 0, 82
U кон. = 6кВ
I нак. = 400 А
I дин =25 кА
I . сөн =10 кА
![]()
Жетек
ППВ
3. 9. Шина өткізгішін таңдау
Тарату құрылғыларында шиналар қатты алюминий түрде орындалады.
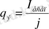
Төмен кернеу жағында максимал тоқ :
![]()
![]()
мұндағы:
трансформатордың номинал қуаттылығы.
трансформатордың номинал кернеуі.
![]()
![]()
(Ә-1) Сөздігінен алып қорап қималы аллюминий шинасын таңдаймыз екі жолағының қимасы 2(60х6) мм 2 , I рұқ = 1350 А,
Рұқсат етілген тоқпен таңдаған шинамызды тексереміз
I доп
I рұқ
38, 97 А
1350 А
Термикалық тұрақтылыққа шинаны тексереміз:
![]()
![]()
![]()
![]()
Таңдалынған шиналар термикалық тұрақтылыққа шыдамды.
3. 10. Оқшаулатқыштарды таңдауТарату құрылғыларында шиналар тірек, өтпе және ілімбелі оқшаулатқыштарға бекітіледі. Қатты шиналар тірек оқшаулатқыштарына бекітіледі, сондықтан (Ә-1) сөздігінен фарфорды тірек оқшаулатқыштарын таңдаймыз:
ОФ-6-375У3 с F разр = 3, 675 кН, Н из = 120 мм;
Мұнда: Н бк - оқшаулатқыш биіктігі
Шина биіктігіне түзетпе коэффицентін табамыз:
![]()
![]()
Тіке және көлденең орналасқан оқшаулатқыштар фазаларының есептеу күші:
![]()
Мұнда: k h - шина биіктігіне түзетпе коэффицент, егер ол арқаға қарай орналасса.
Ары қарай есептеу күшін табамыз:
![]()
Оқшаулатқыштарды таңдау барысында таңдау жургізіледі:
- номинал кернеуі бойынша
![]()
- рұқсат етілген жүктеме бойынша
![]()
Мұнда: F есеп - күш, оқшаулатқышқа әсер ететін;
F рұқ - оқшаулатқыштың басына рұқсат етілген жүктеме.
Оқшаулатқыштың басына рұқсат етілген жүктеме:
![]()
F бұзу - минимал бұзу күші, статикалық майысқанда.
![]()
Таңдаған оқшаулатқышты тексереміз:
- номинал кернеуі бойынша
![]()
- рұқсат етілген жүктеме бойынша
![]()
Таңдалған оқшаулатқыш барлық шартқа қанағаттандырылады.
2. Арнайы сұрақ
2. 1. Кабельді жерге (орналастыру) көму
Кабельдерді жерге көмудің әр түрлері бар, олар панажайлардың ішінде және сыртында орналастырылады. Сыртқа орналастыруды көбінесе жерге орға көмеді. Кабель бүлінбес үшін және жиырылып қалудан сақтау үшін, жерден немесе топырақтан себілген жұмсақ жастық тәріздес етіп қабаты 100мм етіп құм себеді. Кабельді де жұмсақ грунтпен себелеп, содан соң кірпішпен және бетон плитасымен жабылады. Бұлай жабылу себебі кабельді механикалық бүлінулерден сақтандырады. Бұдан соң кабельдік орды жермен немесе топырақпен жауып, тегістейді.
Өту жолдарында, теміржол астымен өтетін кабельдерді асбоцемент немесе бетон трубалары арқылы өтеді. Кабельдің бұлай көмілуі вибрациядан және жөндеу жұмыстары кезінде жолды ашпай, кедергі келтірмей жұмыстарды жүргізуге мүмкіндік береді. Электрлендірілген теміржолдарды кесіп өткенде кабельге адасқан тоқтардың зиянын тигізбес үшін (электрлік коррозия) кабельді оқшаулау үшін асбоцемент трубаларымен жүргізеді.
Трубаға кабельдің орналасуы, кабельді салқындатуды қиынға соқтырады, сондықтан қимасын таңдағанда ескерілуі тиіс.
Көптеген кабельдерді параллель орналастырғанда, немесе басқа да жер асты коммуникациялар тығыз орналасқанда арнайы кабельдік құрылыстарға жүгінуге тура келеді. Коллекторлар, туннельдер, каналдар
және блоктар.
![]()
Коллектор - тік бұрышты немесе дөңгелек тәріздес жерасты құрылыс. Ол кабель желілері мен бірге су өткізгіштері мен жылу өткізгіштері де орналасады. Коллекторды үлкен қалаларда пайдаланған жөн.
Туннель - тек қана кабель желісін орналастыру үшін арналған құрылыс (күштік және байланыс) . Туннельдер қимасында дөңгелек және тікбұрышты болып келеді. Олар өтуге болатын және жартылай өтуге болатын болады. Жартылай өтуге болатын туннельдер төмен биіктіктен тұрады (1, 5м-ге дейін) және олардың ұзындығы 100м ұзын болмауы тиіс. Оларға кернеуі 10 кВ-қа дейінгі кабельдерді қолданады. Кабельдердің туннельде орналасуы - екі жақты болып келеді, бір полкіде біреуден немесе бірнеше кабельден келеді. Туннельдерді құру үшін жинақталған темір бетон және канализация трубаларын пайдаланады. Бір туннельдің сыйымдылығы - 20 кабельден 50 кабельге дейін барады.
Механикалық зақымданулардан 20-35кв кернеуiмен кабелдерiнiң қорғауын темірбетон тақталары мен орындайды - тонналы тақталармен, кернеу 10 кв-ке дейiн - кiрпiшпен немесе тақталармен. 2. Жанында жер қазу жұмыстарының көлемi - тiк қабырғалары бар транштар үшiн апарған.
Кабелдiк транштардың енi, материалдардың шығын және жер қазу жұмыстарының көлемi кестеге 1 келтiрiлген., 28-шi сурет ең төменгiсi ол салатын кабелдер арасындағы қашықтықтармен.
Кесте 1. Кабель траншеялары
Траншеяның
жалпактығы
Траншея амалдарынша тура, трассаның бұруы орындарындағы және бұрылыстарда болуы керек қамтамасыз ету үшiн кейбiр кеңейту оны ескеруге керек керек - төсемнiң жанында кабелдiң дөңгелектеуiн радиусын.
![]()
![]()
Ең төменгiсi траншея салатын кабелдер арасындағы қашықтықтармен:
... жалғасы- Іс жүргізу
- Автоматтандыру, Техника
- Алғашқы әскери дайындық
- Астрономия
- Ауыл шаруашылығы
- Банк ісі
- Бизнесті бағалау
- Биология
- Бухгалтерлік іс
- Валеология
- Ветеринария
- География
- Геология, Геофизика, Геодезия
- Дін
- Ет, сүт, шарап өнімдері
- Жалпы тарих
- Жер кадастрі, Жылжымайтын мүлік
- Журналистика
- Информатика
- Кеден ісі
- Маркетинг
- Математика, Геометрия
- Медицина
- Мемлекеттік басқару
- Менеджмент
- Мұнай, Газ
- Мұрағат ісі
- Мәдениеттану
- ОБЖ (Основы безопасности жизнедеятельности)
- Педагогика
- Полиграфия
- Психология
- Салық
- Саясаттану
- Сақтандыру
- Сертификаттау, стандарттау
- Социология, Демография
- Спорт
- Статистика
- Тілтану, Филология
- Тарихи тұлғалар
- Тау-кен ісі
- Транспорт
- Туризм
- Физика
- Философия
- Халықаралық қатынастар
- Химия
- Экология, Қоршаған ортаны қорғау
- Экономика
- Экономикалық география
- Электротехника
- Қазақстан тарихы
- Қаржы
- Құрылыс
- Құқық, Криминалистика
- Әдебиет
- Өнер, музыка
- Өнеркәсіп, Өндіріс
Қазақ тілінде жазылған рефераттар, курстық жұмыстар, дипломдық жұмыстар бойынша біздің қор #1 болып табылады.

Ақпарат
Қосымша
Email: info@stud.kz