Сепаpациялаy пpоцесі автоматты pеттеyдің нысаны


2Арнайы бөлім
2. 1 Сепаpациялаy пpоцесі автоматты pеттеyдің нысаны pетінде
Бөлінген мұнайдың жоғары сапалы болуы үшін келесі функцияларға сәйкес келетін әртүрлі дәлдікпен математикалық модуль құру қажет:
- Объектінің кіру және шығу координаттарына кедергісін анықтай отырып, басқару объектісінің тұжырымдамалық моделін негіздеу;
- әр түрлі геометриялық пішіндегі құрылғылардың сипаттамаларын, клапан түрлерін, кіріс эмульсияларын есептей отырып, бөлу процесінің математикалық моделінің модульдік схемасын синтездеу.
Бөлу процесінің моделінің дәлдігін арттыру үшін сізге:
- Фазалық деңгейдің дәлдігін есептеу кезінде құрылғының күрделі геометриясын ескеру қажет;
- Өтпелі тұрақтылықты арттыру, клапанның айналу бұрышы арқылы Шығыс ағынының байланысын анықтау үшін клапанның өткізу қабілеттілігін есептеңіз;
- резервуардағы барлық фазалардың деңгейін анықтау (мұнай, эмульсия, су), бұл өнімнің шығу сапасын жақсартады;
- температураның әсерінен қысымның өзгеруін есепке алу;
- эмульсия деңгейін көтеруден кіріс.
Кибернетикадағы бөлу процесі қара жәшік түрінде ұсынылуы мүмкін. Майды бөлу процесін автоматты басқару нысаны ретінде сепаратор қондырғысы қолданылады. Бұл басқару эффектісі мен кіріс шығыны, қысым, температура, екі сұйықтық деңгейінің сенсоры және т. б. сияқты әсерлер.
2. 2 Үш фазалы сепаратор
Үш фазалы сепаратор өндірілген көміртекті шикізатты өңдеу кезінде мұнай-газ саласында қолданылады. Үш фазалы сепаратордың көмегімен газ сұйық фракциялардан тазартылады, ал мұнай массасы тасымалдауға дайындалады.
Мұнай өндіру кезінде ұңғыманың астынан жер асты сулары бар мұнай-газ заты шығарылады. Мұндай өнімді кейіннен пайдалану үшін дереу құбырға жіберу мүмкін емес, өйткені қоспасы үш фазалы сепаратордан өтеді, онда келесі өндірістік кезеңдер жүзеге асырылады:
Қоспаны үш негізгі фазаға бөлу - мұнай, су, газ.
Газдың мұнай фракциясынан, бөгде бөлшектерден және сарқынды сулардан бөлу.
5-20% деңгейіне дейін Дегидратация.
Бастапқыда сұйық қоспасы сепаратор қондырғысының төменгі бөліміне беріледі. Мұнда гравитациялық күштердің әсерінен газ компонентінің бөлінуі жүзеге асырылады. Әрі қарай, ағынның қозғалуына қарай, зат заттардың тығыздығымен ерекшеленетін екі бөлікке бөлінеді. Арнайы бөлгіш сыртқы қоспалармен бірге су мен мұнай ағынының бөлек шығуын қамтамасыз етеді. Әрі қарай, бөгде бөлшектердің мұнайдан бөлінуі орын алады. Тазартылған газ бөлек шығарылады. Мұнай эмульсиясы үш фазалы сепаратор арқылы өткеннен кейін, өңделген мұнай өнімінде сыртқы компоненттер іс жүзінде қалмайды және ол тікелей өңдеуге немесе тасымалдауға дайын.
Үш фазалы сепаратор 0, 6 МПа қысымда жұмыс істейді және BDNP-ге орнатылады, ол өз қысымымен немесе UPN-де ГӨЗ-ге мұнайдан бөлінетін газды жеткізуді қамтамасыз етеді. Олар бос қабатты суды ағызу және газдарды мұнайдан бөлу үшін қолданылады. Бір контейнерде екі бөлік бар: 3 сепараторы және тұндырғыш, олар бір-бірімен тамшы түзгіш арқылы байланысады.
Сепаратордың жұмысын келесідей сипаттауға болады.
Мұнай, су және газ қоспасы 1 құбыр арқылы 3 бөлгіш камераға түседі, онда тұрақты қысым сақталады, мысалы, тұндырғыш камерада, "сізге дейін"қысым реттегішімен тұрақты қысымға қол жеткізіңіз. Бөлінген газ газ өңдеу қондырғысына жеткізіледі, ал мұнай мен судың аз мөлшері бар қоспасы 3 бөлу камерасынан 12 тамшылау құрылғысы арқылы мұнай су мен газдан бөлінетін тұндыру камерасына түседі. Бөлінген газ ГӨЗ-ге жеткізіледі, ал мұнай мен судың аз мөлшері бар қоспасы 3 бөлгіш бөліктен 12 тамшы құрайтын құрылғы арқылы мұнай су мен газдан бөлінетін тұндырғыш бөлікке түседі. Мұнай 7 жоғарғы құбыр арқылы май багына айналады, су құрбандық деңгейінің реттегішінің 8 сенсорының іске қосу жетегі арқылы сепаратор корпусынан раковинаға шығарылады немесе өз қысымымен блок-коллекторға беріледі. Егер май үш фазалы сепараторға ұзақ әсер ететін эмульсия түрінде түссе, онда мұндай эмульсиялардың жойылуын жақсарту үшін беттік-белсенді заттар(беттік-белсенді заттар) бар ыстық ағынды су UPS-тен 12 тамшы түзетін құрылғыға жіберіледі. Майдан бөлінген суды ағызу 9 жетек және 10 су жинағыш (4, 5-клапан) арқылы жүзеге асырылады.
Сепаратордың корпусында эмульсия таратқышы 11 тесік түрінде және тесік түрінде 6 май жинағыш бар, сәйкесінше құрылғының бүкіл көлденең қимасында эмульсия мен май жинағышты біркелкі таратуға арналған.
![]()
Сурет 2. 1-көлденең сепаратордың дизайны
Сур. 2. 1: 1-қоспасы, 2-қысым реттегіш, 3-бөлу, 4- Газ бөлгіш, 5-коллектор, 6-мұнай тиегіш, 7-биік құбыр, 8-сұйықтық деңгейінің механизмі, 9-су жинағыш, 10-су жинағыш, 11-эмульсия сепараторы, 12-тамшы.
2. 3 Үш фазалы сепаратордың жұмыс принципі
Сур. 2. 2 үш фазалы сепаратордың құрылғысы мен сипаттамалары көрсетілген, оның кірісі газ бен дисперсті фазаға бөлінген қоспаны көрсетеді, дисперсті фаза біртіндеп эрозияға ұшырайды. [4]
![]()
Сурет 2. 2-үш фазалы сепаратор қалай жұмыс істейді
Үш фазалы бөлу кезінде бір уақытта төрт процесс жүруі мүмкін:
- Су және май фазалары мен көпіршіктерді еңсеру
- Резервуарға су тамшысын тұндыру
- Су қабатында май тамшылары көтеріледі
- Дисперсия аймағында коалесценция процесі жүреді, онда дисперсті тамшылар біртіндеп үздіксіз фазаға айналады.
2. 4 Үш фазалы сепараторға функционалдық сұлбақұру
Сурет 2. 3 - Бөлу процесінің жеңілдетілген функционалды схемасы
Бөлу процесінің жеңілдетілген функциясы суретте көрсетілген. Оған мыналар кіреді: Е1-суды ағызатын мұнай және газ сепараторы, FE-газды тұтыну датчигі, CMR басқару клапаны бар LC-mepc типті желілік жетек, LS-апаттық деңгейдегі дабыл, LT-деңгей өлшегіш (1 және 2 бөліктердегі май деңгейі және фазалық бөлу деңгейі), PC-тікелей әрекет ететін қысым реттегіші, PT-қысым датчигі. Мұнай-газ қоспасы коллектордан МГС -ға құбыр арқылы түседі. Сұйықтықтан бөлінген Газ тікелей қысым реттегіші мен Шығыс өлшегіші арқылы өз қысымымен газ құбырына түседі, содан кейін ол газ өңдеу зауытына тасымалданады.
МГС бірінші бөлігінде бөлінген мұнай екінші бөлікке түседі, ал бірінші бөліктен су блок-кластерлік сорғы станциясына (БК) жіберіледі. Сорғы қоршаған ортаны бөлу деңгейінің жағдайымен реттеледі. Екінші бөліктен майды сору бөліктің шарықтау деңгейімен реттеледі.
Бөлу процесін басқару мәселесінің дәстүрлі шешімі- МГС бақыланатын параметрлер санына тең сенсорлар жиынтығымен жабдықтау. Мұндай датчикті орнату үшін деңгей өлшегіш пен шекті деңгей индикаторының кемінде төрт люгі, сондай-ақ қысым датчигінің фланецті қосылуы талап етіледі.
2. 5 Техникалық құралдар кешенін таңдау
2. 5. 1 Деңгей датчигін таңдау және техникалық сиппаттамалары.
Дамыған басқару жүйесіне арналған датчигін таңдау үшін келесі өлшемдерді ескеру қажет: өлшеу аралығы, өлшеу қателігі, өлшенген ортаның температурасы, қоршаған ортаның температурасы және жарамдылығы. Бұл жұмыста ДУУ2М, UС1500-F65, ПМП-022 және Bаumеr 12/18 датчиктері салыстырылады.
2. 1 кесте - Деңгей датчиктерін салыстыру
Параметрлері
ДУУ2М
UС1500-
F65
ПМП-022
Bаumеr 12/18
Өлшеу аралығы, м
25
10
15
18
Өлшеу қателігі, мм
±1
±2 мм
±4
±2, 5
Өлшенетін орта
температурасы, °С
- 45тен
+120°С
-
25…+70°С
-40
°С . . . 121°С
-10…+60°С
Қоршаған орта
температурасы, °С
-45тен+75
°С
-
40…+85°С
-40 . . . 85°С
-30…+80°С
Жарамдылығы, жыл
14
8
10
12
Деңгей датчиктері (деңгей өлшегіштер) қалқыма ультрадыбыстық ДУУ2М әртүрлі сұйықтықтардың деңгейін, көп фазалы сұйықтықтардың (мұнай - эмульсия - тауарлық су және т. б. ) бөліну деңгейлерін өлшеуге, сондай-ақ бақыланатын ортаның температурасы мен қысымын өлшеуге арналған.
Қалқыма ДУУ2М датчиктері мұнай-газ, мұнай-химия, химия, энергетика, металлургия, тамақ және өнеркәсіптің басқа салаларының өндірістік объектілерін автоматтандыру жүйелерінде атмосфералық немесе артық (2, 0 МПа дейін) қысымы бар аппараттарда қолданылады.
Датчиктердің негізгі техникалық сипаттамалары мен пайдалану шарттары 2. 2 кестеде келтірілген.
2. 2 кесте -ДУУ2М датчигінің негеізгі техникалық сиппаттамалары
Параметр атауы
Датчик ДУУ2М
от 4, 0 до 25, 0 м (икемді ЧЭ) *;
от 1, 5 до 4 м (қатты ЧЭ) *
от -45 до +65 °C**
(для ДУУ2М-01… -08, -10, -12, -14, -16, -01А…-08А, -10А, -12А, -14А, -16А) ;
от -45 до +120 °C**
(для ДУУ2М-02Т, ДУУ2М-02ТА) ;
от -10 до +100 °C**
(для ДУУ2М-10Т, ДУУ2М-10ТА)
до 0, 15 МПа (икемді ЧЭ) ; до 2, 0 МПа (қатты ЧЭ) **
от 600 до 1500 кг/м 3
1ExibIIBT4 X, 1ExibIIBT5 X, 0ExiaIIBT4 X, 0ExiaIIBT5 X
(в зависимости от номера разработки)
IP68 по ГОСТ 14254
ОМ1, 5 по ГОСТ 15150
от -45 до +75 °С**
от 84, 0 до 106, 7 кПа
III, IV (теңіз және теңіз жағалауы)
14 жыл
13, 5 кг
Жалпы өлшемдері:
1) қорғаныш қақпағы жоқ:
203, 8х112х (133, 5+LДУУ2М***) мм (штуцермен бірге) ;
186х112х (133. 5 + LДУУ2М***) мм
(бір бөліктен тұратын кабель қосылымымен) ;
278х112х (133. 5 + LДУУ2М***) мм
(алмалы-салмалы кабельді жалғаумен)
206, 8х130х (171, 5+LДУУ2М***) мм (штуцермен бірге) ;
189х130х (171, 5 + LДУУ2М***) мм
(бір бөліктен тұратын кабель қосылымымен) ;
278х130х (171, 5 + LДУУ2М***) мм
(алмалы-салмалы кабельді жалғаумен)
2. 5. 2 ДУУ2М деңгей датчигінің метрологиялық сипаттамалары.
Деңгей өлшеудің абсолютті негізгі қателігінің шектері датчиктермен поплавоктың жұмысына байланысты болады(2. 3 кесте) [17] .
2. 3 кесте
I
жазық цилиндр
II
қуыс сфера
IV
овоид
III, V
овоид
Деңгейді өлшеудің қосымша қателігі температураның жұмыс диапазонындағы сұйықтық тығыздығының өзгеруіне байланысты. Оның мөлшері қалқыманың түріне, оның геометриялық өлшемдеріне және қалқыманың тығыздығына, сондай-ақ өнімдегі айырмашылықтарға байланысты анықталады.
II немесе IV типті қалтқылар датчиктері үшін мұнай өнімдерінің деңгейін өлшеу кезінде қосымша температуралық кінәрат шегі жұмыс диапазонында Цельсий бойынша 2 - ден 10 градусқа дейін, III немесе v типті қалтқылар-мұнай өнімдері секциясының және көтерме су секциясының деңгейін өлшеу кезінде 5-тен 10с дейін құрайды.
Температураны өлшеу арнасы бар датчиктер үшін температураны өлшеу диапазоны бақыланатын ортаның температура диапазонына тең.
Температуралық өлшемдердің абсолютті қателігінің рұқсат етілген шектері:
- минус 10С-тан минус 2с-қа дейінгі температура диапазонында 45 градустан артық емес;
- минус 85-тен +0, 5 с дейінгі температуралық диапазонда 10 градустан артық емес;
- +85С температура диапазонында +120 градустан жоғары.
Манометрлік арнасы бар датчиктер үшін максималды өлшенген артық қысым 2 МПа дейін.
Қысымды өлшеудің ықтимал дисконтталған қателіктерінің шегі - 1, 5%.
Сонымен, төмендегі кестеде таңдалған кешенді өлшеу құралдары көрсетілген.
2. 6 Сепаратордағы сұйықтықтың деңгейін реттейтін АРЖ есебі
Процестің сипаттамасы.
Реттеу объектісі газ бөлгіш болып табылады.
Газ қысымын автоматты реттеу жүйесіндегі реттегіштің, сепаратордың параметрлерін есептеу қажет. Рұқсат етілген асып кету 20% - ға белгіленген.
Сурет 2. 4- Газ қысымын реттеу жүйесінің сепараторының ауыспалы сипаттамасының графигі P (t) реттегіш РО
Газ қысымын реттеу жүйесінің сепараторының ауыспалы сипаттамасының графигі P (t) реттегіш РО жағдайының өзгеру қадамы өзгерген кезде.
Реттеу объектісінің математикалық моделі-кідіріспен бірінші ретті периодты емес байланыс.
Бұл сілтеменің берілу функциясы келесідей:
![]()
2. 7 Реттеу заңын таңдау. Реттеуіштің тиімді параметрлерін есептеу
Реттеу Заңын таңдау кезінде келесі ойларды ескеру қажет:
1. П-реттегіштер өздігінен тегістейтін объектілерді басқару үшін қолданылады (немесе тұрақты объект, егер қысқа мерзімді сыртқы әсерден кейін оның күйі уақыт өте келе бастапқы күйіне оралса) немесе өзін-өзі теңестірусіз (басқару объектілерінің осы санатына сыртқы әсер аяқталғаннан кейін сигнал өзгере беретін, бастапқы күйден алыстайтын тұрақсыз объектілер де, сыртқы әсер аяқталғаннан кейін тепе-теңдіктің белгілі бір күйінде тұрақтанатын бейтарап объектілер де кіреді) ., жүктеменің шамалы өзгеруі кезінде, егер технологиялық регламентте берілген мәннен қалдық ауытқуға жол берілсе (статикалық қате) ;
2. И-реттегіштерді объектілерде өздігінен тегістеусіз қолдануға болмайды, өйткені жүйе тұрақсыз болады. И-реттегіштің жылдамдығы аз болғандықтан, объектінің өзін-өзі тегістеуі айтарлықтай, кідіріс аз болуы керек, ал жүктемелердің өзгеруі тегіс болуы керек.
3. ПИ реттегіштері статикалық режимде жоғары дәлдікті реттеу қажет болған кезде жүктемелердің үлкен, бірақ тегіс өзгерістері бар тұрақты және бейтарап нысандарды реттеу үшін қолданылады.
4. ПД-реттегіштер және ПИД-реттегіштер үлкен өтпелі кідірісі бар объектілерді (мысалы, жылу алмасу және масса алмасу аппараттары), сондай-ақ реттеу объектілеріндегі жүктеме жиі және тез өзгеретін жағдайларда реттеудің салыстырмалы түрде жоғары сапасын қамтамасыз етеді.
Осылайша, реттеу заңын таңдау кезінде басқару объектісінің динамикалық қасиеттерін, бұзушы әсерлердің мөлшері мен сипатын, сондай-ақ басқару сапасының берілген көрсеткіштерін ескеру қажет. Технологиялық талаптарға сәйкес берілген өтпелі процесс ретінде үш үлгінің біреуі таңдалады:
- ең аз өтпелі уақытпен апериодтық;
- 20% - дық қайта реттеумен және тербелістердің бірінші жарты кезеңінің ең аз уақытымен;
- қате квадратының интегралының минималды мәні бар . Басқару объектісінің берілу функциясынан алынған мәліметтерге сәйкес, біз сепаратордағы судың дәрежесін реттейтін реттегіштің кескіні мен қолайлы сипаттамаларын танимыз.
Статикалық және астатикалық объектілерге арналған үздіксіз П -, ПИ - және ПИД реттегіштерін орнатудың шамамен параметрлері кестеде көрсетілген. Тиісінше 4 және 5. ПИД реттегішінің беріліс функциясы:
W p (P) =K p +1/T a p+T d p=K p (1+1/T И p+Т П р)
где K p - коэффициент усиления, T a - постоянная интегрирования, T d - постоянная дифференцирования. Параметрами настройки ПИД-регулятора являются: K p , время изодрома T И и время предварения Т П .
- мұндағы Kp-пайда, Ta-интегралдау тұрақтысы, Td- дифференциалдау тұрақтысы. ПИД реттегішінің параметрлері: Kp, TИизодромының уақыты және ТПалдын-ала уақыты.
2. 3 кесте - Статикалық нысандардағы реттегіштердің параметрлерін есептеу үшін тәуелділіктер







2. 4 кесте - Астатикалық нысандардағы реттегіштердің параметрлерін есептеу үшін тәуелділіктер




;
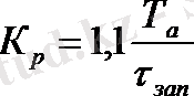
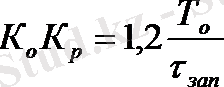
Сепаратордағы зерттелген қысым AРЖ статикалық болып табылады. Параметрлерді есептеу үшін біз өтпелі диаграмманы және суретте көрсетілген техниканы қолданамыз. 2. 5:
![]()
![]()
![]()
![]()
Сурет 2. 5- Өтпелі сипаттамалары
,
,
.
Қатынасы
0, 21-ге тең. Осылайша, реттегіш құрылымын таңдау бойынша ұсыныстарға сәйкес, Басқару процесінің сапасы тұрғысынан ең қолайлы-ПИ реттеушісі (сурет. 2. 5) .
2. 8 Модельдеу ортасын таңдау
Дискретті динамикалық процестермен бір қатарда ұсынылған жұмыста-VіsSіm, Mаtlаb, LаbVІЕW модельдеудің қазіргі күнгі белсенді жүйесінің бағдарламалық әдістері қарастырылады. 2. 7-кестеде модельдеу жүйесін салыстырмалы талдау нәтижелері Берілген. Бірлескен тәжірибеде бағдарламалау пакеттерін таңдау көптеген оқиғаларға байланысты. Біздің жағдайда бағдарламалаудың жайлылығы, сыналған математикалық әдістердің болуы, модельдеу нәтижелерін көрсетудің қарапайымдылығы және лицензия құнын есептемегенде анағұрлым маңызды болып саналады.
2. 5 кесте -Имитационды модельдеу жүйелерінің сипаттамалары
Бағдарламалық қамтама
Кемшіліктері
VіsSіm
- жаңартулар жүргізілуде;
- алуан графигін тұрғызу.
- VіsSіm жеңіл тіл болып саналады.
-компоненттің ұқсастығы;
-фукнциясы толық емес;
Mаtlаb
- сигналдарды, дыбыстарды, суреттерді өңдеумүмкіндігі;
- 2-3 өлшемді нысандармен жұмыс істеуге мүмкіндік береді;
- жаңа.
- құрамында блоктар саны
жеткілікті;
- математикалық есептеулер жүргізуөте тиімді;
- өтпелі процесстерді көру және зерттеу мүмкіншілігі бар;
-тілі күрделі болып табылады;
-лицензиясы қымбат.
LаbVІЕW
- көптегенинтер фейстері бар;
- күрделі жүйелерді моделдеу;
- тәжірибені қашықтақтан
басқару мүмкіндігі;
- визуалдау жүйесін қамтиды.
-жабық кодтар негізіндегі
программалық жабдық;
-Wіndоws орталарына
8, 2 нұсқасынан бастап
активация талапетеді.
Жоғарыда келтірілген кестеден көріп отырғаныңыздай, қарастырылған бағдарламалық құралдардың кез-келгені қажетті функционалдылыққа ие. Аталған қабілеттер модельдеуді енгізу арқылы қиын жүйелерді құру және талдау үшін VіsSіm, Mаtlаb, LаbVІЕW жоғары өнімділігі туралы айтады. Соңында, осы бағдарламалық орталардан MATLAB бағдарламалық ортасы таңдалады.
MАTLАB-бұл жоғары деңгейлі бағдарламалау тілі, сандық есептеулер мен нәтижелерді визуализациялауға арналған интерактивті орта. Mаtlаb қолдауымен деректерді бөлшектеуге, әдістерді әзірлеуге, шаблондар мен қосымшалар жасауға болады.
Тілдер, құралдар және интеграцияланған математикалық функциялар барлық макеттерді оқып, c/C++немесе басқа тілдер сияқты электрондық кестелерді немесе классикалық бағдарламалау тілдерін үйренуден гөрі қызықты. MATLAB келесі салаларда кеңінен қолданылады:
- Сигналдарды өңдеу және байланыс;
- Бейне және бейнені өңдеу;
- Басқару жүйесі;
- Сынақтар мен өлшеулерді автоматтандыру;
- Қаржылық технологиялар;
- Есептеу биологиясы және т. б.
Бүкіл әлем бойынша миллионнан астам инженерлер мен ғалымдар MATLAB қолданады
Тілдегі техникалық есептеулер.
MATLAB MathWorks өнімдерінің бүкіл тобының негізі болып табылады және дизайн мен басқару жүйелерін, байланыс жүйелерін, дизайнды, кескін мен кескінді өңдеуді, сигналдарды өлшеу мен тестілеуді, аксиомалық модельдерді, есептеу биологиясын және т. б. модельдеу негізі болып саналады. Simulink интерактивті ортасы электрлік, механикалық және гидравликалық жүйелерді модельдеу үшін дайын блок кітапханаларын қолдану үшін алдын-ала анықталғанбасқару жүйелерін, цифрлық байланыс құралдарын және аспаптарды нақты уақыт режимінде әзірлеуге арналған модельдік-бағдарланған макеттерді рұқсат етеді, сондай-ақ пайдаланады.
2. 9 Автоматты реттеу жүйесінің құрылымдық сұлбасын құру
Сепаратор деңгейін өлшеудің құрылымдық сызбасын құрамыз (сурет. 1) . 2. 7) . Элементтің берілу функциясы 2. 8-кестеде көрсетілген.
![]()
2. 7 сурет -Автоматты реттеу жүйесінің құрылымдық сұлбасы
Осы сұлбаны модельдеу ортасында жиналып, зерттелінеді
2. 8 кесте -Элементтердіңберіліс функциясы
Беріліс
функциясы
Атауы
Параметрлері
Беріліс функциясы
мәндері

k 1=3. 03
T 1=81


k 2 =0. 89
T =135
τ=30


k 3 =1

- Іс жүргізу
- Автоматтандыру, Техника
- Алғашқы әскери дайындық
- Астрономия
- Ауыл шаруашылығы
- Банк ісі
- Бизнесті бағалау
- Биология
- Бухгалтерлік іс
- Валеология
- Ветеринария
- География
- Геология, Геофизика, Геодезия
- Дін
- Ет, сүт, шарап өнімдері
- Жалпы тарих
- Жер кадастрі, Жылжымайтын мүлік
- Журналистика
- Информатика
- Кеден ісі
- Маркетинг
- Математика, Геометрия
- Медицина
- Мемлекеттік басқару
- Менеджмент
- Мұнай, Газ
- Мұрағат ісі
- Мәдениеттану
- ОБЖ (Основы безопасности жизнедеятельности)
- Педагогика
- Полиграфия
- Психология
- Салық
- Саясаттану
- Сақтандыру
- Сертификаттау, стандарттау
- Социология, Демография
- Спорт
- Статистика
- Тілтану, Филология
- Тарихи тұлғалар
- Тау-кен ісі
- Транспорт
- Туризм
- Физика
- Философия
- Халықаралық қатынастар
- Химия
- Экология, Қоршаған ортаны қорғау
- Экономика
- Экономикалық география
- Электротехника
- Қазақстан тарихы
- Қаржы
- Құрылыс
- Құқық, Криминалистика
- Әдебиет
- Өнер, музыка
- Өнеркәсіп, Өндіріс
Қазақ тілінде жазылған рефераттар, курстық жұмыстар, дипломдық жұмыстар бойынша біздің қор #1 болып табылады.

Ақпарат
Қосымша
Email: info@stud.kz