Ландшафтты қалыптастырушы факторлар


Дәріс 7-8. Жердің ландшафтық дифференциациясының заңдылықтары
- Ландшафтардың кеңістіктік дифференциациясының сыртқы факторлары. Географиялық зоналылық.
- Ландшафтық зоналылық. Ландшафттық зоналардың бейзоналдылығы, секторлығы және жүйелері. Географиялық сектор және оның аймақтық ландшафт құрылымдарына әсері.
- Ландшафттық дифференциациядағы орографиялық факторлары және биіктік белдеулілік.
- Ландшафт компоненттері және ландшафты қалыптастырушы факторлар. Ландшафтты қалыптастырушы факторлар. Климат. Рельеф. Гидрология. Топырақ. Өсімдік жамылғысы. Беткейлер мен ландшафттардың экспозициясы. Алдын-ала ережесі.
- Геожүйелерді дифференциациясының жергілікті факторлары. Жазықтардың биіктіктегі ландшафтық дифференциациясы. Жазықтар мен таулардағы деңгей мен кедергі.
Дәріс №7. Ландшафттың аймақтық және аудандық бөліктері.
1. Ландшафтардың кеңістіктік дифференциациясының сыртқы факторлары. Географиялық зоналылық.
2. Ландшафтық зоналылық. Ландшафттық зоналардың бейзоналдылығы, секторлығы және жүйелері. Географиялық сектор және оның аймақтық ландшафт құрылымдарына әсері.
3. Ландшафттық дифференциациядағы орографиялық факторлары және биіктік белдеулілік.
1. Географиялық зоналылық. Эпигеосфераның әртүрлі қатардағы геожүйелерге бөлінуі жер бетінің жекелеген аудандарының даму ерекшеліктеріне байланысты. Физикалық-географиялық дифференцтацияның екі деңгейі бар - аймақтық және жергілікті жерлік немесе локальдық. Геожүйелердің аймақтық дифференциациясы эпигеосфераға сырттай болатын екі бас факторлардың - Күннің нұрлы энергиясы мен Жердің ішкі энергиясының қарым-қатынасына тәуелді болып табылады. Осы екі фактор кеңістікте де, уақыт бойы да бір қалыпты болмайды. Осылардың эпигеосфераның табиғатында арнайы байқалуы зоналылық және азоналдық деген жалпы географиялық заңдылықтардың бас себептері болып табылады.
Ендікті зоналылық, немесе географиялық зоналылық деп физикалық-географиялық процестердің, компоненттердің, кешендердің экватордан полюстерге қарай заңдылықты түрінде ауысуын түсінеміз. Зоналылықтың негізгі себебі - Жердің шар тәріздес болуының нәтижесінде географиялық ендік бойынша Күннің қысқа толқынды радияцияның біркелкі емес таралуы. Күн энергиясының таралуына және басқада факторлардың ықпалы бар, Жер мен Күнің арасындағы қашықтық, Жер осінің эклиптика жазықтығына еңкістігі (≈ 66° 30′), Жердің тәуліктік айналуы т. б.
Жер осінің еңкісітігі өте маңызды роль атқарады, оның себебінен жер бетінде маусымдар пайда болады, жылу мен судың таралуы күрделенеді.
Жер бетіннің біркелкі болмауы, яғни материктер мен мұхиттардың болуы, жер бедері мен тау жыныстардың әртүрлі болуы күн энергиясы түсуінің математикалық тәртібін бұзады. Жер бетіндегі барлық биологиялық, физикалық және химиялық процестердің жалғыз энергия көзі күн энергиясы, сондықтан, осы процестердің таралуы зоналылық сипатқа ие болады. Күн энергияның зоналылық таралуының бірінші нәтижесі жер бетінің радиациялық балансының зоналылығы болып табылады. Бірақ күн энергиясының таралуында ендікті зоналылық бұзыла бастайды. Күн радиацияның максимумы 20 - 30 ° ендіктерде байқалады, себебі бұл ендіктерде бұлтылық аз болады, ал экваторда бұлтылық жиі болуына байланысты күн сәулесі салыстырмалы аз түседі.
Күннің нұрлы энергиясы жер бетіне түсіп жылу энергиясына айналады. Бұл энергия басым булануға және атмосфераға жылу беруге жұмсалады.
Жылудың ендік бойынша біркелкі емес таралуының маңызды нәтижесі - ауа массалардың, атмосфера циркуляциясының және ылғал айналымының зоналылығы. Жер бетінің біркелкі емес қызуы мен төсеніш беттінен булануы ықпалымен температуралық көрсеткіштерімен, ылғалдылығымен, тыңыздығымен т. б. көрсеткіштерімен айырықша болатын ауа массалар қалыптасады. Ауа массаларының төрт негізгі типі ажыратылады: экваторлық (жылы және ылғалды), тропиктік (құрғақ, жылы), бореалдық (салқын, ылғалды) және арктикалық, оңтүстік жарты шарда антарктикалық (суық, құрғақ) . Бірдей емес қызу және нәтижесінде ауа массалардың әртүрлі тығыздығы немесе әртүрлі атмосфералық қысым, тропосферадағы термодинамикалық тепе-теңдіктің бұзылуына және ауа массалардың ауысуына немесе циркуляциясына алып келеді. Тропосферада бірнеше циркуляциялық зоналар қалыптасады, олар ауа массалар түрлеріне сәйкес болып келеді. 1. Экваторлық зонада төмен атмосфералық қысым, ауаның жоғарға көтерілу; 2. Тропиктік зонада жоғары қысым, шығыс желдер; 3. қоңыржай зонасында төмен қысым, батыс желдер; 4. поляр зонасында жоғары қысым, шығыс желдер. Одан басқа және үш өтпелі зонаны ажыратады: субарктикалық, субтропиктік және субэкваторлық, мұнда ауа массалары маусым бойынша ауысып тұрады.
Атмосфераның циркуляциясы - жылу мен ылғалдың қайта бөлістіруінің күшті механизмы. Осыған байланысты жер бетіндегі зоналылық температуралық айырмашылықтар салыстырмалы тегістелінеді. Жер бетіндегі ауа теспературасы өзгеруінің континуальдық сипаты белдеулердің айқын жүйесін орнатуға және оларды шектеу критерияларын негіздеуге мұмкіндік бермейді. Әдетте төмендегідей белдеулерді ажыратып көрсетеді: ыстық (орташа жылдық температура +20°С), екі орташа, немесе қоңыржай (орташа жылдық изотерма +20°С пен ең жылы айының орташа изотермасы +10°С аралығында) және екі суық (ең жылы айының орташа температурасы +10°С) . Соңғы екеуінің ішінде мәңгі аяз облыстарын ажыратады (ең жылы айының орташа температурасы 0°С) .
Атмосфера циркуляциясының зоналылығымен ылғал айналым мен ылғалданудың зоналылығы тығыз байланыста. Ол, атмосфералық жауын-шашынның таралуында айқын байқалады. Жауын-шашынның таралуында үш максимум (бас максимум - экваторда, екі екіншідәрежелі қоңыржай ендіктерде) және төрт минимум (поляр және тропиктік ендіктерде) .
Жауын-шашын мөлшері табиғи процестерді жалпы ландшафтты ылғалмен қамтамсыздандыруды немесе ылғалдану жағдайын анықтамайды. Мысалы, дала зонасында жылдық жауын-шашын мөлшері 300 - 500 мм шамасында болғанымен, мұнда ылғал жетіспеушілік байқалады, ал тундра зонасында жылдық жауын-шашын мөлшері 300 - 400 мм шамасында, ол артық ылғалдануын көрсетеді. Ылғалдың жеткілікті туралы түсінік алу үшін геожүйе функциолануы үшін қажетті ылғал мөлшерін білу қажет. Оны, булаңғыштық арқылы анықтауға болады, яғни шексіз су қоры болған жағдайдағы булануды түсінеміз. Булаңғыштық теориялық шама, ол буланудан айырықша болады, Булану дегеніміз, түскен жауын-шашынмен және геожүйеде бар ылғалдың мөлшерімен шектелген физикалық булану. Жылдық жауын-шашынның жылдық булаңғыштыққа қатынасы климаттық ылғалдану көрсеткіші болып табылады, мұндай көрсеткішті 1905 ж. Г. Н. Высоцкий еңгізді. Н. Н. Иванов осы қатынастың Жер беті бойынша изосызықтарын құрып шықты, оны ол ылғалдану коэффициенті деп атады. Оның жасаған схемасында, ылғалдану коэффициенттінің белгілі бір көрсеткіштері ландшафттық зоналардың шекараларымен сәйкес келетіні анықталды: тайга мен тундарда ылғалдану коэффициенті 1 жоғары, орманды дала зонасында 1, 0 - 0, 6 аралығында, дала зонасында - 0, 6 - 0, 3, шөлейт зонасында 0, 3 - 0, 12, ал шөл зонасында 0, 12 төмен.
Көптеген физикалық-географиялық процестердің жиілігі жылу мен ылғалданудың арақатынасына тәуелді. Бірақ, жылу мен ылғалданудың зоналылық өзгеруі әртүрлі бағытта болады, жылу экватордан полюске қарай төмендесе, ылғалдану сол бағытта толқын түрінде өзгереді. Климаттық зоналылық барлық географиялық құбылыстарда сәулеленеді, гидрологиялық режимде, батпақтану процестерінде, үгілу қабаты және топырақ пайда болуда, химиялық элементтердің миграциясында, органикалық дүниесінде. Әсіресе зоналалық өсімдік дүниесінде айқын байқалады, сондықтан ландшафттық зоналар өсімдіктер сипатына қарай аталған.
Кейбір авторлар, ландшафттың геологиялық фундаменттінде және жер бетінің жер бедерінде зоналалық байқалмайды деген пікірде, сондықтан, ол компоненттер «азоналдық» деп атайды. Бірақ, географиялық компоненттерді «зоналдық» немес «азоналдық» деп бөлген дүрыс емес, мысалы, жер бедері ішкі күштердің әсерін қалыптасып, оның дамуында экзогендік күштеүлкен роль атқарады. Сыртқы күштердің ықпалымен қалыптасқан жер бедерінің пішінін скульптуралық деп атайды (тектоникалық немесе вулкандық себептен пайда болған жер бедерінің пішіні құрылымдық деп аталады) .
Сонымен зоналылық - жер бетіндегі геожүйелердің орналасуында және барлық ландшафт қалыптасу процестерінде айқын байқалатын универсалдық географиялық заңдылық. Бірақ, оны климаттың тікелей салдары ретінде қарастыруға болмайды. Зоналылық құбылысын талдау генетикалық көз қарасты талап етеді. Зоналар бірден пайда болмайды, оның жасы мен тарихы болады. Ландшафттық зоналар ерте геологиялық кезеңдерде де болған, қазіргі зоналық құрылым кайнозойда қалыптасқан. Ең ежелгі ландшафттық зона экваторлық, шамамен неоген кезеңінде пайда болған. Полюстерге жақындаған сайын зоналылық сүреті түрақты емес болады. Қоңыржай және полярлық ендіктердің зоналары неоген мен төрттік кезеңінде күшті өзгерген. Өзгерудің негізгі бағыттары аридизация мен суық кезең келуімен байланысты. Әсіресе соңғы төрттік кезеңіндегі мұз басу процестері ландшафттық зоналардың дамуында өте маңызды роль атқарды. Ең күшті мұз басу кезеңінде мұздықтардың жалпы ауданы 40 млн км² шамасында болған, ал қәзір не бары 14 млн км² тең.
Ландшафттық зоналардың азоналдығы, секторлығы және жүйелері. Жердің тектоникалық даму барысында жер беті күшті өзгерген (дифференциацияланған), мұндай процестердің негізінде Жердің ішкі энергиясы жатыр. Мұндай өзгерістер азоналдық заңдылықтарымен сипатталады, жер бетінің материктер мен мұхит облыстарына бөлінгені арқылы байқаймыз.
Су қабаттың жер бетімен арасындағы физикалық қасиеттерінің айырмашылығына байланысты олардың үстінде әртүрлі континенттік және мұхиттық ауа массалары пайда болады. Нәтижеде ауа массалардың континентті-мұхиттық тасмалдау пайда болады, ол атмосфераның немесе зоналылық циркуляцияны күрделелендіреді.
Территорияның атмосферадағы континентті-мұхиттық циркуляция жүйесінде орналасуы физикалық-географиялық дифференциациясының маңызды факторы болып табылады. Материктің ішкі аудандарына еңгейін сайын теңіздік ауа массаларының қайталануы төмендейді, яғни климаттың континенттігі күшейеді, ал жауын-шашын мөлшері азаяды.
Теңіз ағыстары жылудың қайта бөліструіне қосымша фактор болып келеді, олар атмосфераның жалпы циркуляциясына бағынышты болғанымен материктердің орналасуына және пішініне тәуелді болады.
Ауа массалардың континентті-мұхиттың тасмалдаудың термикалық эффекті қысқы маусымда айқын байқалады. Мысалы, Батыс Скандинавияның қаңтар айының орташа температурасы мен Сібірдің Солтүстік-Шығыс аймағының қаңтар айының орташа температурасы арасындағы айырмашылық 47°С жетеді.
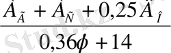
Материктердің термикалық режиміне мұхиттық ықпалдың дәрежесі туралы жалпыластырылған түсінік климаттың континентік көрсеткіштері береді. Континенттіктің мөлшерлі көрсеткішін айқындаудың әртүрлі тәсілдері бар. А. Г. Исаченко бойынша ең жақсы 1959 ж. үсынған Н. Н. Ивановтың көрсеткіші, оның формуласы мынадай:
К ═
100
Мұнда, К - планетарлық орташа көрсеткішінен (100% есебінен алыңған) пайызбен алыңған континенттік; Аг - ауа температурасының жылдық ауытқуы; Ас - ауа температурасының тәулік бойы ауытқуы; До - ең құрғақ айындағы ауының салыстырмалы алғалдылықтың жетіспеушілігі; φ - берілген пунктің географиялық ендігі.
Н. Н. Иванов жер шары үшін климаттың континенттік диапазонын 10 сатыға бөледі:
Мұхит жағалауынан материктің ішкі аудандырана еңгейін сайын топырақ типтері, өсімдік және жануарлар дүниесі заңдылықты түрде ауысып отырады. 1921 ж. В. Л. Комаров мұндай құбылысты меридиональдық зоналылық деп атады, қазір ол секторлық деген терминімен аталады. Секторлық зоналылық сияқты жалпы заңдылық. В. Л. Комаров материктерде үш «меридиональдық зоналарды» ажырата көрсетті - батыс, орталық және шығыс. Секторлық Еуразияның қоңыржай ендіктерінде айқын байқалады. Мұнда секторлардың барлық түрлері дамыған, батыс маңы мұхит маңы секторынан, шығыс мұхит маңы секторына дейін.
Пассаттар немесе тропиктік белдеулерде секторлық шұғыл асимметриялы болып келеді, құрлықтың шығыс жағалауында орманды кешендер бар, ал қалған барлық территорияда тропиктік шөл және шөлейт ландшафттары дамыған.
Субтропиктік ендіктерде секторлық дифференциация өтпелі сипатқа ие, бірақ тропиктікке жақындау болады. Субэкваторлық және экваторлық ендіктерде секторлық айқын байқалмайды, тек ғана Шығыс Африка ерекшеленеді.
Поляр ендіктерінде, біркелкі ауа массалар басым болуына байланысты секторлық байқалмайды.
Секторлық пен зоналылық арасындағы қарым-қатынас өте күрделі болып табылады. Ауа массалардың континентті-мұхиттық алмасуы ендік және бойлық бойынша да болады. Ауа массалар құрлыққа солтүстіктен, немесе оңтүстіктен келген жағдайда секторлық эффекті күшейе түседі. Мысалы, Солтүстік Американың және Еуразияның солтүстік бөліктеріннің жазғы маусымдағы термикалық режиміне, Солтүстік Мұзды мұхиттың ықпалы өте маңызды. Ал, керісінше, Оңтүстік Еуразияда жазғы муссон құрлыққа көп жауын-шашын алып келеді.
Зоналылық пен секторлық арасындағы өзара қатынастары туралы жалпы пікірге келгенде, ландшафттық зоналардың бір емес, бірнеше жүйелері бар десек болады.
Ландшафттық зоналардың жүйесі деген, құрлықтың белгілі бір бойлық секторына тән ландшафттық зоналардың үздіксіз қатары. Континенттік және мұхит маңы қатарлар болады. Континенттік қатарға шөл, шөлейт, дала зоналары тән осы қатарға және Еуразияның ішкі аймақтарында орналасқан тайга зонасы да жатады. Ал мұхит маңы қатарға әртүрлі ендіктердегі орманды зоналар орналасқан. Зоналардың батыс және шығыс қатарлар бір-бірінен айырықша болады. Материктердің шығыс шеттері ылғылдадылау болып келеді, ал батыс жағалауларда, әсіресе тропиктіктерде шөл зонасы теңіз жағасына шығып жатады.
Ландшафттық зоналардың үш негізгі жүйесі арасында өтпелі секторлар байқалады, әсіресе Еуразияның шығыс бөлігінде байқалады.
Ландшафт морфологиясының биіктікке байланысты өзгеруі
- Ландшафттық дифференциациядағы орографиялық факторлар
- Биіктік белдеулілік
Жылу қамтамасыздануыдың және ылғалданудың зоналық және секторлық өзгерістерден кейінгі физикалық-географиялық дифференциацияның маңызды факторы - құрлықтың теңіз деңгейінен биіктігі. Осы фактордың әсерінен ландшафттық сфера сатылы құрылымға ие болады: әртүрлі биіктік белдеулерге өзіне сәйкес ландшафттар класы қалыптасады. Гипсометриялық орналасуы жазықтықтық ландшафттарда алғашқы жұздеген метр биіктіктен-ақ байқалады, белгілі бір биіктікке дейін осы зонаның типтік белгілері сақталады, ал одан жоғары ландшафттық белдеулердің ауысуы байқалады, солтүстік жарты шарды әдетте көршілес солтүстік ландшафттық белдеудің белгілері пайда болады.
Биіктік белдеулілік қалыптасуының басты себебі биіктеген сайын жылу балансы көрсеткіштері азаяды, ал ауа температурасы төмендейді. Тіктік температуралық градиент горизонтальдық градиенттке салыстырғанда жұздеген есе артады, сондықтан, биіктік бойынша бірнеше километр аралығында экватордан мұз зонасына дейін созылған көптеген физикалық-географиялық өзгерістерді бақылауға болады.
Жоғары көтерілген сайын ылғалдану процесі де өзгереді, бірақ бұл өзгеріс өзінің қарқындылығымен және бағытымен ендікті-зоналылықтымен сәйкес келмейді. Биіктеген сайын ауаның ылғалдылығы азаяды. Таудағы жауын-шашын мөлшері жер бедерінің тосқауылдық эффектіне байланысты болады. Таудағы тосқауылдық эффекттің әсерінен ауа массалары жоғары көтеріледі, белгілі бір біктікке дейін ылғалдану конденсациясы күшейеді және жауын-шашын мөлшері көбейеді. Максимальдық жауын-шашын деңгейі құбылмалы, ылғалды аймақтарға салыстырғанда, құрғақ аймақтарда биіктігі жоғары болады, мысалы, Альпі таударында - 2000 м биіктікте, Кавказ тауларында - 2400 - 3000 м, Тянь-Шань тауларында - 3000 - 4000 м биіктік аралығында.
Тауда жел тарапындағы беткейдегі жауын-шашынның мөлшері ық беткейге салыстырғанда бірнеше есе көп болады. Дегенмен, орографиялық ерекшеліктеріне қарай таудағы жауын-шашын мөлшері бірдей емес (беткейдің экспозияциясы, таулардың тілімденуі т. б. факторлардың ықпалымен) .
Биіктік белдеулер мен ендікті зоналар арасында тек сыртқы үқсастық ғана байқалады. Кейбір биіктік белдеулердің ендікті-зоналық аналогтар, яғни үқсастықтар жоқ. Сондықтан, биіктік белдеулер қатары жазықтықтағы ландшафттық зоналардың тура көшірмесі болмайды.
Әрбір ландшафттық зонаға өзіне тән биіктік белдеу типі немесе белдеу қатары байқалады, осыған байланысты белдеулер саны, орналасу ерекшеліктері, биіктік шекаралары әрқалай болып келеді. Экваторға жақындаған сайын белдеулер саны көбейеді, белдеулер қатарының құрамы өзгереді.
Климаттың континеттігіне, ылғалдану режимі мен қарқындылғына байланысты әрбір физикалық-географиялық сектордағы биіктік белдеулердің өзіне тән ерекшеліктері бар. Мысалы, альпі шалғындары мұхит маңы секторларда дамыған, ал ішкі континенттік тау жүйелерінде оның орнында таулы тундра дамыған. Континенттік секторлардағы тауларда таулы дала белдеуі болады, керісінше мұхит маңында мұндай белдеу сирек кездеседі, немесе кездеспейді.
Абсолюттік биіктіктен басқа таулардың ландшафттық дифференциациясының маңызды факторы болып беткей экспозициясы табылады, ол таулардың жалпы көтерілу ерекшеліктермен тығыз байланысты. Экспозицияның екі түрі болады: солярлық немесе инсоляциялық және желдік немесе циркуляциялық.
Солярлық экспозцияға беткейдің жылу және су режимдері тәуелді. Солтүстік жарты шарда, оңтүстік беткейлері солтүстік беткейлерге салыстырғанда қатты қызады, сондықтан салыстырмалы құрғақтау болады, оның нәтижесінде оңтүстік беткейдегі ландшафттық зоналар солтүстік беткейге салыстырғанда жоғары қарай ауысқан. Солярлық экспозицияның ықпалы қоңыржай ендітерінде айқын байқалады.
Желдік экспозция солярлық экспозиция эффектін күшейтеді. Ол басым батыстан шығысқа қарай созылған тау жүйелерде айқын байқалады, Альпі, Қрым, Кавказ, Орта Азияның таулары. Мұнда солтүстік беткейлері суық ауа массаларының ықпалында болады, ал оңтүстік беткейлері салыстырмалы түрде солтүстік желдерден қорғалған. Сондықтан, осындай тау жүйелері маңызды климаттық шекара болып табылады.
Желдік экспозцияның беткейдің ландшафттары мен климатына және бір ықпалы, беткейлердің ылғалды ауа массалардың және циклондардың жолында орналасуы. Батыс тасмалдау белдеуінде жауын-шашынның басым бөлігі батыс беткейлерге түседі, муссондық секторда - шығыс беткейлерге.
Биіктікті-белдеулілік дифференциацияның қосымша факторлары, тау жүйелерінің орографиялық ерекшеліктері. Күрделі тау жүйелері бірнеше тау жоталарынан тұрады, оның ішкі тауларымен сыртқы тау жоталары арасындағы табиғи жағдайы әртүрлі болады. Ірі тау жүйелерде тұйық таулы қазаң шұңқырларда атмосфералық процестер ерекше болады.
Сонымен, биіктік белдеуліліктің табиғаты азоналды болғанымен, оның қазіргі формалары ендікті зоналылық және секторлық ықпалында қалыптасады.
Әдебиеттер:
- Голованов А. И., Кожанов Е. С., Сухарев Ю. И. Ландшафтоведение. - М., Колос, 2005.
- Исаченко А. Г. Ландшафттану негіздері. - А., Мектеп, 1996.
- Физическая география Республики Казахстан. - Под. общ. Ред. К. М. Джаналиевой. А., Қазақ университеті, 1998.
- Исаченко А. Г. Ландшафтоведение и физико-географическое районирование. - М., 1991.
- Сочава В. Б. Введение в учение о геосистемах. - Н., 1978
- Мильков Ф. Н. Основные проблемы физической географии. - М., Высшая школа, 1986.
- Молдағұлов Н. Ландшафттану негіздері және Қазақстанның ландшафт негіздері. А., 1994.
Лекция № 8. Ландшафт компоненттері және ландшафты қалыптастырушы факторлар.
1. Ландшафт компоненттері және ландшафты қалыптастырушы факторлар. Ландшафтты қалыптастырушы факторлар. Климат. Рельеф. Гидрология. Топырақ. Өсімдік жамылғысы. Беткейлер мен ландшафттардың экспозициясы. Алдын-ала ережесі.
2. Геожүйелерді дифференциациясының жергілікті факторлары. Жазықтардың биіктіктегі ландшафтық дифференциациясы. Жазықтар мен таулардағы деңгей мен кедергі.
1. Ландшафтты табиғи географиялық компоненттер құрайды. Географиялық компоненттер деп төмендегілерді түсінеді:
1. жер қыртысының қатты қабатын;
2. гидросфера массасын (жер үсті және жер асты сулары) ;
3. атмосфераның ауа массасын;
4. өсімдіктер, жануарлар және микроорганизмдер жиынтығын;
5. топырақ жамылғысын.
... жалғасы- Іс жүргізу
- Автоматтандыру, Техника
- Алғашқы әскери дайындық
- Астрономия
- Ауыл шаруашылығы
- Банк ісі
- Бизнесті бағалау
- Биология
- Бухгалтерлік іс
- Валеология
- Ветеринария
- География
- Геология, Геофизика, Геодезия
- Дін
- Ет, сүт, шарап өнімдері
- Жалпы тарих
- Жер кадастрі, Жылжымайтын мүлік
- Журналистика
- Информатика
- Кеден ісі
- Маркетинг
- Математика, Геометрия
- Медицина
- Мемлекеттік басқару
- Менеджмент
- Мұнай, Газ
- Мұрағат ісі
- Мәдениеттану
- ОБЖ (Основы безопасности жизнедеятельности)
- Педагогика
- Полиграфия
- Психология
- Салық
- Саясаттану
- Сақтандыру
- Сертификаттау, стандарттау
- Социология, Демография
- Спорт
- Статистика
- Тілтану, Филология
- Тарихи тұлғалар
- Тау-кен ісі
- Транспорт
- Туризм
- Физика
- Философия
- Халықаралық қатынастар
- Химия
- Экология, Қоршаған ортаны қорғау
- Экономика
- Экономикалық география
- Электротехника
- Қазақстан тарихы
- Қаржы
- Құрылыс
- Құқық, Криминалистика
- Әдебиет
- Өнер, музыка
- Өнеркәсіп, Өндіріс
Қазақ тілінде жазылған рефераттар, курстық жұмыстар, дипломдық жұмыстар бойынша біздің қор #1 болып табылады.

Ақпарат
Қосымша
Email: info@stud.kz