Жусанның тұқыммен таралуы


МАЗМҰНЫ:
Кіріспе . . . 2
1. ЖУСАН ХИМИЯЛЫҚ ҚҰРАМЫ МЕН ӨСІРУ АГРОТЕХНИКАСЫ . . . 4
1. 1 Жусан өсіру агротехникасы . . . 4
1. 2 Химиялық құрамы . . . 10
2. ЕМДІК ҚАСИТТЕРІ МЕН ДӘРІЛІК ШИКІЗАТЫН ДАЙЫНДАУ . . . 17
2. 1 Дәрілік өсімдіктерді дайындау және кептіру . . . 17
2. 2 Дәрілік өсімдік шикізатын қолдану . . . 21
Қорытынды . . . 26
Әдебиеттер тізімі . . . 27
Кіріспе
Дәрілік өсімдіктер бүгінде денсаулық сақтауда маңызды рөл атқарады, олардың дәрі-дәрмектер арсеналындағы үлесі өте үлкен. Ескі және жаңа дәрілік өсімдіктердің ашылуы саласында үнемі ғылыми зерттеулер жүргізілуде; бұл зерттеулер адамзат үшін өте маңызды бірқатар ашылуларға әкелді. Болашақта, кез-келген жағдайда, дәрілік өсімдіктердің рөлі төмендемейді, керісінше өседі деп ойлауға барлық негіз бар. Химияның болашағы қаншалықты жарқын болса да, зертханалар мен зауыттардан қандай ғажайыптар күтсек те, біздің ормандарымыз бен егістіктеріміздің қарапайым өсімдіктері адамзатқа ұзақ уақыт қызмет етеді.
Химия-фармацевтика өнеркәсібі мен дәріханалар үшін маңызды шикізат көздерінің бірі-әртүрлі ауруларды емдеу үшін қолданылатын көптеген дәрілік өсімдіктер. Олардың арасында жусан сияқты танымал өсімдік бар. Адамдар оны "ғажайып шөп" деп атайды. Ол үшін көптеген әндер, көптеген өлеңдер, халықтық астарлы әңгімелер, қастандықтар, аңыздар жасалды, онда оның емдік қасиеттері көрсетілген.
Арасында көптеген құралдар, пайдаланылатын ғылыми және халық медицинамен, ең көп мәні бар дәрі-дәрмектер дайындалатын әр түрлі өсімдіктер. Ежелгі медицинада "дәрігердің үш құралы бар: сөз, өсімдік және пышақ"деген сөз бекер айтылмаған. Шынында да, қазіргі медицинаның айтарлықтай ілгерілеуіне қарамастан, оны науқасқа медициналық көмектің жаңа және жаңа әдістерімен жыл сайын байытуға қарамастан, өсімдік тектес дәрі-дәрмексіз емдеу аз.
Өсімдіктерден алынған дәрі-дәрмектер жүректің, тамырлардың, асқазанның, ішектің, бүйректің, бауырдың, бронхтың әртүрлі созылмалы ауруларымен күресудің асыл ісіне қызмет ете алады және қызмет етуі керек.
Жусанға деген қызығушылық зерттелген көптеген түрлерде фармакологиялық белсенді заттар болып табылатын сесквитерпенді лактондар табылуымен түсіндіріледі. Жан-жақты зерттеу нәтижесінде медициналық тәжірибеде қолдану үшін жусанның кейбір препараттары ұсынылады.
Зерттеу мақсаты: жусанның химиялық қасиеттерін зерттеу.
Зерттеу нысаны: жусан.
Зерттеу пәні: жусанның емдік қасиеттері.
Өзектілігі: денсаулық-бұл табиғат адамға ұсынатын баға жетпес сыйлық. Онсыз өмірді қызықты және бақытты ету қиын. Денсаулықты жоғалту оңай екенін ұмытып, біз бұл сыйлықты қаншалықты жиі жоғалтамыз.
Қазіргі әлемде дәрі-дәрмектердің фармакологиялық көптігі бар. Бірақ біз Табиғат жасаған нәрседен жақсы ештеңе жоқ екенін түсінуіміз керек. Көптеген өсімдіктерде біздің ата-бабаларымыз кеңінен қолданған емдік қасиеттері бар заттар бар. Олардың бірі - жусан. Бұл өсімдік өзінің сапалық құрамы бойынша ерекше.
Гипотеза: егер сіз жусанның фармакологиялық қасиеттерін білсеңіз, оны заманауи дәрі-дәрмектердің орнына қолдануға болады.
Зерттеу міндеттері:
Жусанның бар түрлерін анықтау.
Химиялық құрамын анықтау
Ғылыми зерттеулердің деректері мен фактілеріне талдау жүргізу.
Зерттелген әдебиеттер мен жүргізілген зерттеулер негізінде өсімдікті дәрілік зат ретінде пайдалануды болжау.
Зерттеу әдістері:
Түр құрамы бойынша әдебиеттерді талдау.
Зерттеу нәтижелерін жалпылау.
1. ЖУСАН ХИМИЯЛЫҚ ҚҰРАМЫ МЕН ӨСІРУ АГРОТЕХНИКАСЫ
1. 1 Жусан өсіру агротехникасы
Жусан (Artemisia) Asteraceae (Asteraceae) тұқымдасына жататын өте кең тұқымға жатады, оны көбінесе Asteraceae деп атайды. Табиғатта флораның бұл өкілінің таралу аймағы өте кең-оған Солтүстік жарты шардың барлық жерлері, Еуразияның қоңыржай климаты, Африка континентінің солтүстік және оңтүстік аудандары және Солтүстік Америка кіреді. Жалпы, The Plant List мәліметтері бойынша тұқымда 481 түрі бар. Ресейдің өзінде және онымен шектесетін елдерде жусанның 180-ге дейін түрін санауға болады, ал олар барлық жерде өседі. Қазақстанның да, күнгей Кавказдың да, Украинаның да дала және шөлді аймақтарында бұл өсімдіктің қопасы сирек емес.
Жусан латынша өзінің ғылыми атауын "сау" деп аударылатын "artemns" терминімен байланысты грекше "artemisia"сөзінің арқасында алды. Бірақ басқа нұсқа бойынша, бұл атау аң аулау мен құнарлылықтың қамқоршысы-Артемида - пәк қыздың есімімен байланысты. Бірақ латын тілінде флораның бұл өкілі" absinthium " деп те аталды, ол ежелгі грек тіліне ғана емес, парсы тамырларына да қатысты болды және бұл тек ащы жусан (Artemisia absinthium) түріне қатысты болды. "Емшан" немесе "евшан" (түрікмендер жусан деп атайды) сияқты лақап аттарды жиі естисіз, сондай-ақ біздің жерлерде жапырақтардың пішініне байланысты атаулар бар - аскөк ағашы немесе Құдай ағашы.
Барлық сорттарда көпжылдық өсу циклі бар, бірақ екі жылдық немесе жалпы жылдық өсу кезеңімен сипатталатын түрлер бар. Олар шөпті де, бұталы пішінді де алады. Бұл жағдайда қашу биіктігі 20-200 см аралығында өзгеруі мүмкін. жусанның тамыры қалыңдатылған және ағашты. Кәдімгі сабақтар түзу өседі. Барлық беттер (сабақтар немесе жапырақтар) ақшыл немесе сұр түстің жасаруымен сипатталады. Мұндай жабын киіз немесе күміс болуы мүмкін, содан кейін ол күн сәулесінен қорғайды. Бірақ жапырақтары мен қашуының бай қара-жасыл түсі бар түрлер бар.
Жапырақ тақталарында көбінесе пиннат немесе скапулярлы бөліну бар. Жапырақтары сабақтарда келесі ретпен орналасады. Парақ табақшасы бөлінген, бірақ сирек жағдайларда ол қатты немесе тұтас. Егер бөлу болса, онда жапырақ лобтары кішкентай және жұқа контурлармен сипатталады. Сабақтарының төменгі бөлігінде жапырақтары үлкен, ұзартылған жапырақшалары бар, бірақ орталық бөлігінде және жоғарғы жағында жапырақтары кішірек, олардың бөлінуі соншалықты күшті емес және олар көбінесе жапырақшалардан айырылады.
Гүлдену кезінде жусанда өте кішкентай гүлдер ашылады, олар әдетте жапырақшалардың сары түсімен сипатталады, бірақ қызыл реңк бар. Бүршіктерден сфералық, овоидті немесе шыныаяқ тәрізді кішкентай капитальды соцветиялар жиналады. Соцветиялар диаметрі 1-10 мм жететін себеттермен ұсынылған. сонымен қатар, ол плитка түрінде орналасқан орамның жапырақтарымен қоршалған. Соцветиялар екі жыныстың түтікшелі гүлдерінен пайда болады. Шеткі гүлдердің филиформалық құрылымы бар, олар бір жынысты және пистиллят.
Бірі-апельсин гүлі жиналады ұзын саусақтары, егіннің дәнді бастарын жинадық не метелочки. Соцветиялар құбырлы сипаттағы шеткі гүлдердің жалғыз қатарынан пайда болатын сорттар бар, ал дискіде бисексуалдық гүлдердің көп саны бар (мысалы, Субгенус Артемисия) . Басқа түрлер диск тәрізді стамен гүлдерімен сипатталады (мысалы, Draclinculus субгенусында) немесе барлық гүлдер түтікшелі және бисексуальды (Seriphidium субгенусындағыдай) . Алайда, Гүлдену аскөк ағашының басты артықшылығы емес болғандықтан, олар өсімдіктен күш алмайтындай етіп гүлшоғырлар алынып тасталады.
Жел тозаңданғаннан кейін, жусан тегіс беті бар тұқым тәрізді жемістердің пісуін бастайды. Мөлшері семянок ұсақ, хохолка жоқ.
Құдайдың ағашы сияқты өсімдік сәндік және дәрілік ретінде қолданыла алады. Ол төзімділік пен қамқорлықтың қарапайымдылығымен сипатталатындықтан, оны отырғызу және өсіру оңай және жеткілікті тәжірибесі жоқ бағбан.
Ашық жерде өсірілген кезде жусан отырғызу және оған күтім жасау ережелері
Жақсы жарықтандырылған және ашық жерде отырғызу үшін орынды таңдау ұсынылады, өйткені табиғатта аскөк ағашын тартатын осындай шөлейт жерлер бар. Сирек жағдайларда жеңіл жартылай көлеңке де қолайлы болуы мүмкін.
Жусанға арналған топырақ оның табиғи артықшылықтарын ескере отырып таңдалуы керек. Субстрат нашар және құрғақ болуы керек, ең жақсы таңдау құмды және жақсы құрғатылған топырақ қоспасы болады. Егер онда көптеген қоректік заттар немесе қарашірік болса, онда даму баяулайды және бұталар қурап қалады.
Жусанды отырғызу мамыр айының басынан бастап қайтарылатын аяздардың өтуі үшін жүргізілуі керек. Отырғызу кезінде тамыр жүйесінен гөрі тесік қазып алу керек, өйткені соңғысы өсу қабілетіне ие. Құрғақ және борпылдақ топырақ қолайлы болғандықтан, отырғызу кезінде шұңқырдың түбіне өзен құмының қабаты төселеді. Егер отырғызу қатарларда немесе шаршы ұя салу әдісін қолдана отырып жүргізілсе, онда көшеттер жолақтары арасындағы қашықтық 50-60 см, ал жол аралығы шамамен 25-30 см қалады. Шаршы ұя салу үшін қажетті тамақтану алаңы 50-60х50-60 см аралығында сақталуы керек.
Жусанға күтім жасау кезінде суару өте маңызды талап емес, өйткені өсімдік құрғақшылыққа төзімділікпен сипатталады. Егер ауа-райы суық болса, онда топырақтағы артық ылғал тіпті аскөк ағашының өліміне әкелуі мүмкін.
Жусанға күтім жасау кезінде кесу бұталардың қажетті пішіні мен ықшам мөлшерін сақтау үшін қажет. Жыл сайын өсімдіктерді тым ұзартылған сабақтарын кесу арқылы жасарту керек. Құдайдың ағашы кесуге өте жақсы жауап береді. Рәсімі жою цветоносов үшін низкорослых сорттарын болады бөлу үшін декоративтік ерекшеліктерін жапырақтарды.
Құдайдың ағашын өсіру кезінде тыңайтқыштарды қолданудың қажеті жоқ, өйткені табиғатта өсімдік өте нашар топырақта орналасқан. Сонымен қатар, егер топырақ құрамында көптеген қоректік заттар болса, онда сабақтар жата бастайды.
Жусан дайындау. Зауыт дәрі-дәрмектерді өндіру үшін пайдаланылатындықтан, сіз шикізатты жинау ережелерін білуіңіз керек. Жапырақтары гүлденудің басында немесе басында кесіледі, ал сәл кейінірек жапырақтары бар сабақтардың шыңдарына келеді. Дайындау кезең-кезеңімен екі кезеңмен жүзеге асырылады. Гүлдену алдында және гүлдену кезеңінде жапырақ тақталары жапырақшалары жоқ базальды аймақта жиналады. Сабақтарының шыңдары ұзындығы 20-25 см болатындай етіп кесіледі, егер сіз осы уақыт аралығында кешіксеңіз, жапырақтардың мәні аз болады. Кезде жинау жүргізілетін болады кейінірек, онда гүлдер буреют мен үшін жарамды дайындамаларды. Жиналған шикізат жасыл түске ие болуы үшін оны жақсы желдетілетін жерлерде (шатырда, шатырдың астында) көлеңкеде тез кептіру керек, ал таза матаға жайылған қабатты жиі аудару керек. Кептіргіштерді де қолдануға болады, олардағы температураны 40-50 градусқа дейін ұстап тұруға болады, ал шикізат қабаты 3-5 см болуы керек. Кептіру аяқталғандығы туралы сигнал-бұл сабақтар оңай бұзылады. Содан кейін барлық кептірілген материал тығыз матадан жасалған сөмкелерге бүктелген немесе ағаш контейнерлерге салынған. Сақтау мерзімі екі жылдан аспайды.
Ландшафт дизайнында жусанды қолдану. Тұқымда әртүрлі қашу биіктігі бар өсімдіктер болғандықтан, оларды әртүрлі идеялар үшін пайдалануға болады. Ергежейлі түрлер гүлзарлар мен шекараларда керемет көрінеді. Олар рокериядағы тастар, рок бақтары немесе флораның басқа өкілдері арасында жақсы көрінеді. Жусанның күміс жапырақтары, мысалы, раушан сияқты жарқын гүлдері бар өсімдіктер үшін керемет фон ретінде қызмет етеді. Аскөк ағашы дәрілік және ащы дақыл болғандықтан, ол шалфей мен тасшөптің жанындағы хош иісті төсекке, сондай-ақ тар жапырақты лавандаға жақсы көрінеді.
Құдайдың ағашының хош иісі жәндіктер үшін репеллент болғандықтан, мұндай екпелерді сайттағы немесе шұңқырлардағы шығатын жерлердің жанында алу ұсынылады. Осыған байланысты мұндай бұталарды көкөністердің жанына отырғызбау керек.
Жусанды қалай көбейту керек?
Әдетте аскөк ағашын көбейту үшін вегетативті әдісті қолдану ұсынылады - бұтаны бөлу, кесу және тамыр мен тұқым сегменттерін тамырлау.
Жусанның тұқыммен таралуы. Бұл әдіс өте оңай. Қолайлы себу үшін де көктемгі және күзгі кезеңде. Сіз көшеттерді өсіре аласыз немесе тұқым материалын сәуірдің келуімен немесе мамырдың бірінші аптасында бақшаға отырғызып, жылыжай жағдайларын жасай аласыз. Топырақ борпылдақ және жеңіл болуы керек, бірақ топырақтың жоғарғы қабаты 20-40 см-ден асып кетуі үшін тым құнарлы емес. тікелей топыраққа отырғызған кезде жол аралығы 15-20 см-ге төтеп береді. ойықтар таяз тереңдік қалыптастырады. Тұқымдар оларға орналастырылған, бірақ жабылмаған немесе оларды 0, 5 см аспайтын субстрат қабатымен себу ұсынылады. 2-3 аптадан кейін сіз көшеттерді көре аласыз және қалған үлгілер арасындағы қашықтық 10-15 см болатындай етіп жұқаруды жасай аласыз. келесі жылдың көктемі келгенде, сәуір-мамыр айларында сіз жаздың барлық айларында күздің басына дейін бақта тұрақты жерге көшеттерді трансплантациялай аласыз. Өсімдіктер толығымен тамыр алған кезде, оларды тауық тамшыларымен тұндырылған ерітіндімен суару ұсынылады. Әдетте тұқым әдісі жылдық түрлер үшін қолданылады.
Жусанның шламмен таралуы. Бұл үшін ең жақсы уақыт-мамырдан шілдеге дейінгі кезең. Бұл жағдайда сіз отырғызу қоры ретінде көптеген көшеттерді ала аласыз. Бланкілердің астына ұзындығы 10-15 см қашудың шыңдарын кесіп, оларды құмды топырақ қоспасына, қарашірікпен (пропорциялар тең) отырғызу ұсынылады. Үшін болды шатасуы отырғызу кезінде жақсы нижний кесу дайындамалар орындауға наискосок. Қону шамамен 25-30 см тереңдікте немесе жылыжайда жүзеге асырылады. Отырғызу тереңдігі 3-4 см болуы керек, кесінділер арасындағы шегініс шамамен 5-8 см болуы керек. Отырғызу аяқталғаннан кейін Сізге мол суару және баспана қажет. Ол үшін шыны немесе пластикалық контейнерлер, сондай-ақ рамалар қолданылады. Сондай-ақ, төсенішпен немесе төсенішпен көлеңкелеу туралы қамқорлық жасау керек. Тамырлау шамамен 10-15 күнде жүреді, содан кейін олар көшеттерді бақтағы тұрақты жерге трансплантациялайды немесе келесі вегетация маусымын күту керек.
Бұтаның бөлінуі арқылы жусанның таралуы да қиын емес. Манипуляция уақыты көктем-жаз мезгілінде таңдалады. Содан кейін өсімдік топырақтан алынады және оның тамыр жүйесі бөліктерге бөлінеді. Кейін отырғызу керек деленки дайындалған орны мен шыланған некеге тіркелу өтінімін берушіге келесілер.
Жусан өсірудегі қиындықтар
Аскөк ағашының бұталары зиянкестерден зардап шекпейді, ал өсімдіктің өзі бақшаны немесе бақшаны олардан қорғайды. Мұны істеу үшін жапырақты бөліктен немесе жусанның жапырақтарынан инфузия дайындаңыз. Өсімдіктің өсінділері ұсақтап кесілгеннен кейін, олар 20 литрлік шелек суға құйылады және контейнерді қақпақпен жауып, күн шуақты жерге қойылады. 7-14 күннен кейін (бұл ауа-райына тікелей байланысты, өйткені сізге жарқын күн қажет) инфузия жұқа електен сүзіліп, пластикалық бөтелкелерге құйылады. Сақтайды, осындай ерітіндісі прохладе және қараңғыда. Бұл құралды кеш зақымдануға, сондай-ақ ұнтақты көгеруге және саңырауқұлақ тектес басқа ауруларға қарсы бүркуге көмектеседі.
Дәл осындай құрал бақтың немесе бақтың зиянкестерімен - тли, құрт және басқа жәндіктермен күресуде жақсы көмек болады.
Егер жусан бұталары жүгіре бастаса, онда отырғызу орны дұрыс таңдалмаған, дәлірек айтқанда топырақ, өйткені егер композиция құнарлы болса, онда ол өсімдікке жарамайды. Сондай-ақ, топырақтағы ылғалдың тоқырауы Құдайдың ағашына теріс әсер етеді. Бұталар өте көп өседі, сондықтан тамыр жүйесін шектеу туралы алдын-ала ойлану керек. Ол үшін қону контейнерлерде жүзеге асырылады немесе субстратқа 20 см-ден астам тереңдікке қазылған таспа қолданылады.
1. 2 Химиялық құрамы
Өсімдіктер жануарлар денесінде пайда болмайтын күрделі химиялық қосылыстардың көп мөлшерін шығарады. Бұл әртүрлілікті қалай түсінуге болады және дәрілік өсімдіктерде қандай заттарды ең құнды деп санауға болады? Фармакогнозияда өсімдікте кездесетін барлық заттар биологиялық белсенді және ілеспе болып бөлінеді.
Медицинада биологиялық белсенді немесе физиологиялық белсенді заттар немесе белсенді заттар деп аталатын қосылыстар емдік қасиеттерге ие. Олар ең құнды, бірақ өсімдік оларды әдетте аз мөлшерде сақтайды. Ілеспе заттар негізгі терапевтік әсерге ие негізгі қосылыстың әсерін өзгертетін заттар деп аталады. Олар, мысалы, белсенді заттың сіңуін жоғарылатуы мүмкін, сондықтан оның сіңуін едәуір жылдамдатады, пайдалы әсерді күшейтеді немесе оның зиянды әсерін азайтады; басқа жағдайларда, керісінше, зиянды әсер етуі мүмкін, содан кейін оларды алып тастау керек.
Ілеспе заттардың болуы табиғи дәрі-дәрмектердің синтетикалық жолмен алынған дәрілік заттардан маңызды айырмашылықтарының бірі болып табылады. Көптеген жағдайларда ілеспе заттардың болуы өсімдіктерден оқшауланған күрделі дәрілердің маңызды артықшылығы болып табылады.
Жусандағы негізгі биологиялық заттар-эфир майлары, органикалық қышқылдар, май қышқылдары, таниндер.
Эфир майлары-бұл негізінен өсімдіктерде пайда болатын және әртүрлі кластарға жататын, негізінен терпиноидтерге, алифатты және хош иісті қосылыстардың сирек кездесетін органикалық иісті, Ұшпа майлы заттардың күрделі қоспалары.
Эфир майлары құбылмалылығы мен тән иісі үшін, ал майлы консистенциясы үшін майлар деп аталды.
Жусан.
Гүл себеттері, жапырақтары мен сабақтарының жас шыңдарында сантонин мен эфир майы бар. Сантонин (9) -Бұл а-селинен типіндегі бициклді сесквитерпендерге жататын лактон. Мазмұны сантонина бұл гүлді корзинках құбылып отырады кең шегінде. Оның ең аз мөлшері GF X 2, 5% құрайды, бірақ оны 7% - ға дейін сақтауға болады (ашылмаған гүл себеттері) . Шөп шикізатында сантонин кем дегенде 1, 75% болуы керек. Гүл себеттерінде бетаин, холин, ащы және бояғыш заттар, Малик және сірке қышқылдары бар. Жарықтың әсерінен сантонин сарыға айналады және хромосантониннің изомеріне өтеді. . Себеттер мен шөптердегі эфир майы 1, 5-тен 3% - ға дейін. Ол негізінен цинолдан (1) (70-80%), камфордан (2), карвакролдан (3), терпиненнен (5, 6, 7), терпинеолдан (8), сесквиатермисолдан және азуленнен (4) тұрады. Дегидратация кезінде Сесквиатермизол гвайазулендерге жататын артемазуленге (10) өтеді. Флавоноид артемин, таниндер, каротин (12), аскорбин қышқылы (11) анықталды.
Эфир майының құрамы
Азулен 1, 4-Цинеол Камфора Карвакрол
(1) (2) (3) (4)
Другие БАВ
Каротин
(12)
Тавриялық Жусан.
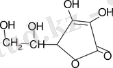
Бүршіктену фазасында жиналған Таврия жусанының шөпінде эфир майының 1, 5%-на дейін сақталады, оның негізгі компоненті-сесквитерпенді бициклді лактон тауремизин (13) (оның құрамы фенофаза мен жыл жағдайларына, өсу аймағына байланысты), А-селинен туындыларына, сондай-ақ басқа сесквитерпиноидтарға жатады: таурин, артемин; флавоноидтар: аксилярозид, нухензеин; жоғары май қышқылдары. Құрамында 0, 5-2% улы эфир майы және сантонинге байланысты лактон таурицин бар.
Эфир майының құрамы
Тауремезин
(13)
Жусан ащы.
... жалғасы- Іс жүргізу
- Автоматтандыру, Техника
- Алғашқы әскери дайындық
- Астрономия
- Ауыл шаруашылығы
- Банк ісі
- Бизнесті бағалау
- Биология
- Бухгалтерлік іс
- Валеология
- Ветеринария
- География
- Геология, Геофизика, Геодезия
- Дін
- Ет, сүт, шарап өнімдері
- Жалпы тарих
- Жер кадастрі, Жылжымайтын мүлік
- Журналистика
- Информатика
- Кеден ісі
- Маркетинг
- Математика, Геометрия
- Медицина
- Мемлекеттік басқару
- Менеджмент
- Мұнай, Газ
- Мұрағат ісі
- Мәдениеттану
- ОБЖ (Основы безопасности жизнедеятельности)
- Педагогика
- Полиграфия
- Психология
- Салық
- Саясаттану
- Сақтандыру
- Сертификаттау, стандарттау
- Социология, Демография
- Спорт
- Статистика
- Тілтану, Филология
- Тарихи тұлғалар
- Тау-кен ісі
- Транспорт
- Туризм
- Физика
- Философия
- Халықаралық қатынастар
- Химия
- Экология, Қоршаған ортаны қорғау
- Экономика
- Экономикалық география
- Электротехника
- Қазақстан тарихы
- Қаржы
- Құрылыс
- Құқық, Криминалистика
- Әдебиет
- Өнер, музыка
- Өнеркәсіп, Өндіріс
Қазақ тілінде жазылған рефераттар, курстық жұмыстар, дипломдық жұмыстар бойынша біздің қор #1 болып табылады.

Ақпарат
Қосымша
Email: info@stud.kz