Процестердің негізгі теңдеуі


Оңтүстік қазақстан мемлекеттік фармацевтика академиясы
Дәрілер технологиясы кафедрасы
Дәріс кешені
Пән: Химия-фармацевтік өндірістің процестері мен
аппараттары
Пән коды: 2221 HFOPA
Мамандық: 5 В074800 - Фармацевтикалық өндіріс технологиясы
Оқу сағаттарының көлемі: 180 (4 кредит)
Курсы және оқу семестрі: 2 курс, 4 семестр
Дәріс көлемі: 1 5 сағат
Бекітілген
Сағындықова Б. А.
кафедра меңг., фарм. ғ. д., профессор ___ 2013 ж. хаттама № ___
2013 ж.
1 - ТақырыП: Химия-фармацевтік өндірістің негізгі процестерінің жіктелуі. Негізгі процестердің кинетикалық заңдылықтары. Аппараттар мен машиналарды есептеудің жалпы принциптері
2. Мақсаты: Химия-фармацевтік өндірістің негізгі процестерінің жіктелуімен, негізгі процестердің кинетикалық заңдылықтарымен, аппараттар мен машиналарды есептеудің жалпы принциптерімен, процестердің негізгі теңдеуімен танысу.
3. ДӘРІС ТЕЗИСТЕРІ:
- Фармацевтика өндірісінің негізгі процестерінің жіктелуі.
- Аппараттар мен машиналарды есептеудің жалпы принциптері.
- Процестердің негізгі теңдеуі.
Фармацевтикалық өнімдерді өндіру үшін көптеген тізбектелген біртипті процестер қолданылады. Мысалы: ысыту, майдалау, кептіру және т. б. Олардың әрқайсысында зат физикалық немесе химиялық өзгерістерге түседі. Бұл процестер әртүрлі өндірістерде әрекеттері ұқсас аппараттарда өткізіледі.
Фармацевтика технологиясында процестердің өту жылдамдығын анықтайтын негізгі заңдарға байланысты былай бөлінеді:
1) Гидродинамикалық процестер - өту жылдамдығы гидродинамиканың заңдарымен анықталады. Бұларға төмендегі процестер жатады: сұйықтарды тасымалдау, газдарды тасымалдау және сығу, сұйықты және газды әртекті жүйелерді ауырлық күштің (тұндыру), ортадан тепкіш күштің (центрафугалау) және қысым күшінің (сүзу) әсерлерімен ажырату, сұйық ортаны араластыру. Процестің қозғаушы күші қысымдар айырмасы немесе ортадан тепкіш күш болады.
2) Жылу процестері - өту жылдамдығы жылу тасымалдау заңдарымен анықталады. Бұларға: жылыту, суыту, конденсациялау, қату, балқу, булану және буландыру процестері кіреді. Процестердің қозғаушы күші - температуралар айырмасы.
3) Масса алмасу (диффузиялық) процестері. Мұндай процестер қоспаның бір немесе бірнеше құрамдастарының бір фазадан екінші фазаға өтуімен сипатталады. Бұларға: абсорбция, ректификация, айдау, экстракция, адсорбция, кристаллизация, кептіру процестері кіреді. Процестің қозғаушы күші концентрациялар айырмасы.
4) Химиялық процестер - өту жылдамдығы химиялық кинетиканың заңдарымен анықталады. Бұл процестерге каталитикалық, крекинг, пиролиз, гидротазалау және т. б. кіреді. Процестің қозғаушы күші әрекеттесетін заттардың концентрациялары болады.
5) Механикалық процестердің өту жылдамдығы қатты заттар механикасының заңдарымен анықталады. Бұларға: қатты денелерді ұсақтау, іріктеу, араластыру және тасымалдау процестері кіреді.
6) Микробиологиялық процестер - микроорганизмдердің өмір сүруінің биологиялық заңдарымен анықталады. Мысалы: ашытқы жасау, сүтті ашыту және т. б.
7) Электрофизикалық процестер әлектр тогының әсерімен өтеді. Қозғаушы күші потенциалдар айырмасы - ∆U.
Ұйымдастыру тәсілдері бойынша былай жіктеледі:
1) Мерзімді әрекетті процестер. Белгілі уақыт ішінде аппаратқа шикізат материалы жүктеліп, ол өңделіп болған соң, дайын өнім алынады да, аппаратқа жаңадан шикізат жүктеледі. Процестің барлық сатысы бір жерде (яғни бір аппаратта), бірақ әртүрлі кезеңде өтеді.
2) Үздіксіз әрекетті прцестер. Апппаратқа шикізатты жүктеу және одан дайын өнім алу үздіксіз болады. Мұнда процестің барлық сатысы (стадиясы) бір уақытта, бірақ аппараттың әртүрлі нүктелерінде өткізіледі. Сонымен бірге аппарат көлемінің әр нүктесіндегі температураның, қысымның, концентрацияның және т. б. параметрлердің мәні уақыт бойынша өзгермейді.
3) Құрастырылған әрекеттегі процестер. Мұнда үздіксіз әрекеттегі процестің кейбір сатысы мерзімді әрекетте өтеді немесе керісінше.
Үздіксіз әрекеттегі процестердің мерзімді әрекеттегі процестерге қарағанда мынадай артықшылықтары бар:
А) Дайын өнім үздіксіз алынады.
В) Процесті механикаландыру және автоматтандыру оңай.
С) Алынатын өнімнің сапасы біркелкі болады, себебі, процестің өту режимі тұрақты.
Д) Жабдықтың ықшамдылығы, яғни материалдық және эксплуатациялық шығындары аз.
Г) Аппараттың жұмысында тыныс болмағандықтан, берілетін (немесе алынатын) жылу толығымен пайдаланылады және шыққан жылуды пайдалану мүмкіндігі бар.
Бөлшектердің аппаратта болу уақытының таралуы және соған байланысты процеске әсері бар басқа факторлардың температура, концентрация және т. б. уақыт бойынша өзгеруіне байланысты үздіксіз әрекетті аппараттың екі теориялық моделін қарастырады:
А) Идеалды ығыстырғыш, мұнда барлық бөлшек белгілі бағытта, ешқандай араласпастан, алдыңғы бөлшектерді толық ығыстырады, яғни қатты поршень тәрізді жылжиды. Мұндай аппараттарда юарлық бөлшектердің аппаратта болу уақыты бірдей болады.
Б) Идеалды араластырғыш, мұнда аппаратқа кірген бөлшектер, ондағы бөлшектермен лезде және толық араласып кетеді. Бөлшектер, аппараттар көлемінде біркелкі болып таралып, процесті сипаттайтын параметрлердің мәні лезде бірдей болады.
Бөлшектердің аппаратта болу уақыты бірдей емес. Нақтылы үздіксіз әрекеттегі аппараттаросы екі модельдің аралығында болады, яғни бөлшектердің болу уақыты, идеалды араластырғыш аппаратындағыдай ешқашан өзара тең болмайды.
Материалдық баланс. Массаның сақталу заңы негізінде материалдық баланс құрылады:
∑ G б = ∑ G c + G ш (1. 1)
Мұнда ∑ G б процесте қатынасатын бастапқы заттардың жалпы массасы; ∑ G c - процестің нәтижесінде алынған өнімдердің массасы; G ш - шығын болған заттардың массасы (буға айналу, саңлаулардан аңып кету және т. б. ) материалдық балансты поцеске қатысатын барлық материалдар үшін немесе сол материалдық баланс бір операцияға, ал үздіксіз әрекетті процестерде уақыт бірлігінде жазылады. Бұл баланстан қажет болған шикізат шығыны немесе алынатын өнімнің мөлшері есептеліп анықьалады.
Әнергетикалық баланс. Энергияның сақталу заңының негізінде Энергетикалық (жылулық) баланс құрылады:
∑Q b = ∑Q c + Q ш (1. 2)
Мұнда ∑Q b - аппаратқа бастапқы материалдармен енгізілетін жылуы; ∑Q c - аппараттан алынған өнімдермен шығатын жылу; Q ш - қоршаған ортаға таралған жылу шығыны.
∑Q b = Q 1 + Q 2 + Q 3 (1. 3)
Мұнда Q 1 - шикізатпен енгізілген жылу. Q 2 - процестің жылу эффектісі (егер процес нәтижесінде жылу сіңірілсе, онда теріс таңбалы болады) . Q 3 - сыртттан енгізілетін жылу.
∑Q c = Q 4 + Q 5 (1. 5)
Q 4 - алынған өнімдермен кететін жылу. Q 5 - жылутасымалдағышпен кететін жылу.
Процестер және аппараттарды есептеу төмендегі негізгі мақсаттарды көздейді:
- Жүйенің тепе - теңдік күйін есептеу.
- Шикізат материалының шығынын және алынған өнімнің мөлшерін, сонымен бірге жұмсалатын әнергия (жылу) және жылутасымалдағыштың мөлшерін есептеу.
- Аппараттың қолайлы режимін, жұмыс бетін немесе жұмыс көлемін анықтау.
Аппараттың негізгі өлшемдерін есептеу.
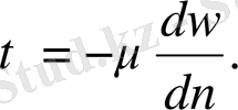
Жоғарыда айтылған процестердің барлығы қозғаушы күштің әсерінен ғана өтуі мүмкін. Қозғаушы күш жүйенің тепе - теңдік күйінен ауытқу дәрежесінсипаттайды. Мысалы, ол гидромеханикалық процестер үшін - қысымдар айырмасы, жылу процестер үшін - температуралар айырмасы, масса алмасу процестері үшін - концнетрациялар айырмасы болып табылады. Процестердің негізгі теңдеулерін төмендегінше жазуға болады:
M=K f F ∆τ , M=K v V ∆τ
Мұнда М - процесс нәтижесі; мысалы өткен жылу немесе зат мөлшері. K f K v - процесс жылдамдығының беттік немесе көлемдік коәффициенттері. ∆ - қозғаушы күш. τ - уақыт. F V -аппараттың жұмыс беті немесе көлемі.
4. Иллюстрациялық материалдар: Негізгі аппараттар бейнеленген плакаттар.
5. Әдебиет:
Негізгі:
- Промышленная технология лекарств, Том 1. Под ред. Чуешова В. И. - Х. : МТК-Книга, Издательства НФАУ, 2002 - 560 с.
- Касаткин А. Г. Основные процессы и аппараты химической технологии. 9-е изд. - М. : Химия, 1973
- Плаксин Ю. М., Малахов Н. Н., Ларин В. А. Процессы и аппараты пищевых производств. - М. : КолосС, 2008. - 760 с.
- Ақбердиев Ә. С. Тамақ өндірісінің процестері және аппараттары, Алматы; 1998 ж.
- Кавецкий Г. Д. Процессы и аппараты пищевой технологии. - М. : Колос, 2000.
Қосымша:
- Романков П. Г., Курочкина М. И. Гидромеханические процессы химической технологии. 3-е изд. - Л. : Химия, .
- Жужиков В. А. Фильтрование. 4-е изд. М. : Химия, 1986
- Фармацевтическая технология. Под ред. И. И. Краснюка и Г. В. Михайловой-Москва, Академия - 2006 г.
- Александров И. А. Ректификационные и абсорбционные аппараты. Методы рсчета и основы конструирования. 3-издание - М. : Химия,
- Кафаров В. В. Основы массопередачи - М. : Высшая школа, 1979
- Рамм В. М. Абсорбция газов. - М. : Химия, 1966. -768 с
6. Бақылау сұрақтар (кері байланыс) :
- «Аппарат» - ұғымын түсіндіріңіз.
- Мезгілді және үздіксіз әрекетті процестер.
- Кинетикалық заңдылықтарына байланысты процестердің жіктелуі.
- Прцестердің материалдық және энергетикалық баланстары.
- Аппараттарды есептеу мақсаттары.
- Жылуалмасудың негізгі теңдеуі.
1. Тақырыбы 2: Гидростатика және гидродинамика негіздері.
2. Мақсаты: Гидростатиканың және гидродинамиканың негізгі теңдеулерін қолдану әдістерін, сонымен қатар сұйықтардың әртүрлі пішінді арналарда ламинарлы және турбулентті ағуларынң заңдылықтарын оқу.
3. ДӘРІС ТЕЗИСТЕРІ:
- Нақты сұйықтардың негізгі мінездеме параметрлері.
- Гидростатиканың негізгі теңдеуі.
- Бернулли теңдеуі. Құбырлардың гидравликалық кедергілері.
- Денелердің сұйықта қозғалуы.
Гидравлика сүйықтардын тепе-теңдігі мен қозғалыс заңдарын және іс жүзінде осы заңдарды инженерлік мәселелерді шешуде қолдану тәсілдерін қарастыратын ғылым. Гидравликада сүйықтар үздіксіз материалдың орта ретінде қарастырылады. Гидравликаның негізгі заңдылықтарын қарастыруды оңайлату үшін идеал сұйық деген үғым енгізіледі.
Идеал сұйық қысым әсерінен сығылмайды, температура мен қысым өзгергенде тығыздығы өзгермейді және оның ішкі үйкелісі (тұтқырлығы) жоқ деп есептеледі.
Гидравлика, гидростатика және гидродинамика деген екі бөлімнен қүралады.
Гидростатикада сүйықтардың тепе-теңдік заңдары, ал гидродинамикада олардан қозғалыс заңдары қарастырылады.
Тығыздық және меншікті салмақ
.
Сұйықтың көлем бірлігінің массасын тығыздық деп атайды және
әрпімен белгіленеді.
Сұйықтың көлем бірлігінің салмағын меншікті салмақ деп атайды және
әрпімен белгіленеді.
Қысым. Аудан бірлігіне нормаль бағытында әсер ететін күштің мөлшерін абсолюттік қысым деп атайды. Қысымның негізгі өлшем бірлігі ретінде паскаль [Па] пайдаланылады.
Қысым мен сұйық бағанасының арасындағы байланыс:
(1. 7)
Абсолют қысым
:
(1. 8)
(1. 9)
Тұтқырлық . Ағатын денелердің (сұйықтар мен газдар) олардың бір бөлігінің екінші бөлігімен салыстырғанда қозғалуына кедергі туындату қасиеті. Нәтижесінде қозғалуға шығындалған жұмыс жылу түрінде шашылады.
Сұйықтар мен газдардағы ішкі үйкеліс сұйықтың қозғалу бағытына перпендикуляр бағытта импульстің тасымалдануы нәтижесінде туындайды. Ішкі үйкелістің жалпы заңы - Ньютон заңы:
Мұнда
- тұтқырлықтың динамикалық коэффициенті. Инженерлік есептеулерде тұтқырлықтың кинематикалық коэффициенті жиі қолданылады
Мұнда
- тығыздық;
- тұтқырлықтың динамикалық коэффициенті, Па∙с.
Гидростатика. Теңдіктің дифференциалды Эйлер теңдеуі
Тыныштық күйдегі сұйық көлемінде көлемі
және қабырғалары
параллелепипед қарастырылады.
Қарапайым параллелепипедтің теңдік шарты мына теңдеулер жүйесімен сипатталады:
(1. 13)
(1. 13) теңдеуі теңдіктің дифференциалды Эйлер теңдеуі болады.
Гидростатиканың негізгі теңдеуі.
(1. 13) теңдеуі бойынша тыныштық күйдегі сұйықтың қысымы биіктік бойынша ғана өзгереді. Частная производная
жекеше туынды
-қа алмастырылуы мүмкін. Олай болса
Бұдан
(1. 14)
Оң және сол жақтарын
бөліп, және таңбаларын ауыстырсақ
Сығылмайтын сұйық үшін тығыздық тұрақты, сондықтан
немесе
Бұл өрнекті интегралдасақ
(1. 16)
(1. 16) теңдеуін гидростатиканың негізгі теңдеуі деп аталады.
Мұнда
- нүктелердің нивелирн биіктіктері
нүктелердегі гидростатикалық қысым.
2. 2 сурет. Гидростатиканың негізгі теңдеуіне
Сұйықтың екі нүктелерін қарастырамыз. 1 нүктенің биіктігі
жазықтығынан, ал нүктенің биіктігі
. Осы нүктелердегі қысымдар
және
(2. 2 сурет) .
(1. 16) теңдеуі бойынша
(1. 17)
немесе
(1. 18)
шамасын статикалық немесе пьезометрлік тегеурін деп аталады.
Сұйық қозғалуының негізгі мінездемелері Ағынның көлденең қимасы арқылы уақыт бірлігінде өтетін сұйық мөлшерін сұйық шығыны деп атайды. Сұйықтың көлемдік ( м 3 /сек ) және массалық ( кг/сек ) шығындарын ажыратады.
Ағынның көлденең қимасының әртүрлі нүктелерінде жылдамдық бірдей емес және жылдамдықтың таралуы белгісіз, сондықтан есептеулерде нақты жылдамдық орнына орташа жылдамдық қолданылады. Орташа жылдамдық көлемдік шығынды (
) көлденең қима ауданына (
) бөлгенге тең.
(
м/сек
) (2. 24)
Бұдан көлемдік шығын
Equation. 3 (2. 25)
Массалық шығын
Equation. 3 (2. 25, а)
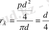
Гидравликалық радиус және эквивалентті диаметр
Сұйық кез келген пішінді көлденең қима ауданы арқылы қозғалғанда, қима пішіні дөңгелектен бөлек болғанда, мінездеме өлшем ретінде гидравликалық радиус немесе эквивалентті диаметр қолданылады.
Сұйық аққан арнаның еркін қимасы ауданының оның ылғалданған периметріне қатынасын гидравликалық радиус (
) деп атайды.
(
м
) (2. 26)
Дөңгелек қима үшін
Сонда
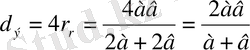
Гидравликалық радиус арқылы өрнектелген диаметрді эквивалентті диаметр деп атайды.
(2. 27)
(2. 26) теңдеуіне сәйкес
Тікбұрышты қима үшін
эквивалентті диаметр
Сақиналы қима үшін
Дөңгелек құбыр үшін
Сұйықтың ағу режимі. Сұйықтың барлық бөлшектері параллель траекториялармен ағатын болса, мұндай қозғалысты ламинарлы қозғалыс деп атайды.
Сұйық бөлшектерінің ретсіз немесе құйынды қозғалысын турбулентті қозғалыс деп атайды.
Ламинарлы қозғалыстан турбулентті қозғалысқа сұйықтың массалық жылдамдығы
және құбыр диаметрі
өскен сайын және тұтқырлық
кеміген сайын жылдам өтеді
Бұл шамаларды бірінші болып Рейнольдс өлшемсіз комплекске біріктірді, оның сандық мәні сұйықтың қозғалу режимін анықтауға мүмкіндік береді. Осы комплексті Рейнольдс ұқсастық саны деп атайды.
(2. 28)
Рейнольдс ұқсастық саны қозғалатын ағындағы инерция күштерінің тұтқырлық күштеріне қатынасын сипаттайды.
- кинематикалық тұтқырлық деп атайды, сонда
(2. 29)
Re<2320 - тұрақты ламинарлы қозғалыс аймағы.
2320<Re<10 000 өтпелі режим.
Re>10 000 дамыған турбулентті режим.
Бернулли теңдеуі . Қозғалудың Эйлер теңдеуін шешу, гидродинамикада кеңінен қолданылатын және маңызды теңдеуі, Бернулли теңдеуін алуға мүмкіндік береді.
Ағынның кез келген екі көлденең қимасы үшін мына теңдеуді жазуға болады:
(2. 37)
(2. 37) теңдеуі идеал сұйыққа жазылған Бернулли теңдеуі деп аталады.
шамасын толық гидродинамикалық тегеурін деп атайды.
Олай болса идеал сұйықтың тұрақталған ағынының барлық көлденең қималарында гидродинамикалық тегеурін тұрақты болады.
z - нивелирлік биіктік немесе геометриялық тегеурін (
), нүктеде орналасудың меншікті потенциалдық энергиясын сипаттайды.
- статикалық немесе пьезометрлік тегеурін (
), нүктеде қысымның меншікті потенциалдық энергиясын сипаттайды.
- жылдамдық немесе динамикалық тегеурін, нүктедегі меншікті кинетикалық энергияны сипаттайды.
Тұрақталған қозғалуда потенциалдық және кинетикалық знергиялардың қосындысы тұрақты болады.
Сондықтан Бернулли теңдеуі ағындар үшін энергияның сақталу заңының жекеше түрі және ағынның энергетикалық балансын өрнектейді.
Құбырлардағы г идравликалық кедергілер
Құбырдағы шығын жалпы жағдайда үйкелу кедергісінен және жергілікті кедергілерден болады.
Үйкелу кедергісі нақты сұйық қозғалғанда құбырдың барлық ұзындығында байқалады және оған сұйықтың ағу режимі әсер етеді.
Жергілікті кедергілер ағын жылдамдығы шамасы мен бағытының кез келген өзгерістерінде туындайды. Олардың қатарына сұйықтың құбырға кіруі және шығуы, құбырдың кеңеюі және тарылуы, бұрылыстар, иіндер, үштіктер және реттеу құрылғылары жатады. Сондықтан тегеурін шығыны екі шамалардың қосындысынан тұрады:
h Г = h ТР + h м. с. (2. 52)
Бернулли теңдеуіне сәйкес, горизонталь құбыр үшін (
) және (
), сонда үйкелуге шығындалған тегеурін
Бұдан
Ламинарлы қозғалыста сұйық шығыны Пуазейль теңдеуімен анықталады:
(2. 53)
мәнін қойсақ және
=
ескерсек:
Мұнда
және
d
- құдырдың ұзындығы және диаметрі.
Бұдан, қысқартқаннан кейін,
табамыз:
Бөлшектің бөлімін және алымын 2w көбейтсек:
Сонымен құбырдағы ламинарлы қозғалыс кезінде:
(2. 54)
Мұнда
- үйкелу коэффициенті (2. 55)
- кедергі коэффициенті (2. 56)
Олай болса (2. 54) теңдеуін былай жазамыз:
(2. 57)
немесе
үшін (
)
(2. 58)
Квадрат қима үшін
Сақина қима үшін
Тегіс құбырдағы турбулентті қозғалу кезінде
(2. 59)
Абсолют бүдірлік
деп құбыр ішіндегі бүдірлердің орташа биіктігін айтады.
Абсолют бүдірліктің
құбыр диаметріне қатынасын салыстырмалы бүдірлік
деп атайды:
(2. 60)
Турбулентті қозғалудың барлық аймақтарына дұрыс теңдеу:
(2. 61)
Тегеуріннің жергілікті кедергілердегі шығынын жылдамдық тегеуріні арқылы өрнектейді. Тегеуріннің жергілікті кедергілердегі шығынының
h
м. с.
жылдамдық тегеурініне
қатынасын жергілікті кедергі коэффициенті ζ
м. с.
деп аталады. Сонда әртүрлі жергілікті кедергілер үшін:
;
;
;
Немесе олардың қосындысы
(2. 62)
Тегеуріннің жалпы шығыны үйкелуге және жергілікті кедергілерге шығындалады, сондықтан:
(2. 63)
Сонда тегеурін шығынын мына теңдеумен анықтаймыз:
(2. 64)
Қысым шығыны
(2. 65)
Ауырлық күші әсерімен бөлшектердің тұнуы
Бөлшектің ортадағы қозғалу үдеуі нолге тең және бөлшек тұрақты жылдамдықпен қозғалу жылдамдығын тұну жылдамдығы деп атайды.
Диаметрі d шар тәрізді бөлшекті қозғайтын күш оның салмағы мен кері ығыстыратын архимед күші (сұйық салмағына тең) айырмашылығына тең.
Ортаның кедергі күші кедергі заңы теңдеуімен өрнектелуі мүмкін:
Күштердің теңесуі:
бұдан
(2. 67)
4. Иллюстрациялық материалдар: Виртуалды қондырғылар. Негізгі аппараттар бейнеленген плакаттар.
5. Әдебиет:
Негізгі:
- Промышленная технология лекарств, Том 1. Под ред. Чуешова В. И. - Х. : МТК-Книга, Издательства НФАУ, 2002 - 560 с.
- Касаткин А. Г. Основные процессы и аппараты химической технологии. 9-е изд. - М. : Химия, 1973
- Плаксин Ю. М., Малахов Н. Н., Ларин В. А. Процессы и аппараты пищевых производств. - М. : КолосС, 2008. - 760 с.
- Ақбердиев Ә. С. Тамақ өндірісінің процестері және аппараттары, Алматы; 1998 ж.
- Кавецкий Г. Д. Процессы и аппараты пищевой технологии. - М. : Колос, 2000.
Қосымша:
- Романков П. Г., Курочкина М. И. Гидромеханические процессы химической технологии. 3-е изд. - Л. : Химия, .
- Жужиков В. А. Фильтрование. 4-е изд. М. : Химия, 1986
- Фармацевтическая технология. Под ред. И. И. Краснюка и Г. В. Михайловой-Москва, Академия - 2006 г.
- Брагинский Л. Н., Бегачев В. И., Барабаш В. М. Перемешивание жидких сред. - М. :-Химия, 1984. -336 с.
- Александров И. А. Ректификационные и абсорбционные аппараты. Методы рсчета и основы конструирования. 3-издание - М. : Химия,
- Кафаров В. В. Основы массопередачи - М. : Высшая школа, 1979
6. БАҚЫЛАУ сұрақтар (кері байланысы) :
- «Гидростатика» және «Гидродинамика» тарауларында сұйықтардың қандай заңдары оқылады?
- Гидростатикалық қысымның қандай қасиеттері бар?
- Ыдыстағы абсолют қысымды қалай анықтайды?
- Гидростатиканың негізгі теңдеуі нені сипаттайды?
- Сұйықтар құбырлар мен арналарда қандай күштердің әсерімен қозғалады?
- Сызықтық өлшем ретінде қай кезде эквивалентті диаметр қабылданады?
- Бернулли теңдеуін қарастырғанда қандай қорытындылар жасауға болады?
- Гидравликалық кедергі коэффициентін қалай есептейді?
- Сұйық қозғалысының ламинарлы және турбулентті режимдерін қалай ажыратады?
1. Тақырыбы 3: Гидромеханикалық процестер. Біртекті емес жүйелерді бөлу.
2. Мақсаты: Студенттерді біртекті емес жүйелермен және оларды бөлу әдістерімен таныстыру.
3. ДӘРІС ТЕЗИСТЕРІ:
- Біртекті емес жүйелердің жіктелуі.
- Біртекті емес жүйелерді бөлу әдістері.
- Бөлу процестерінің материалдық балансы.
Екі және оданда көп фазалардан құралған жүйелерді әртекті жүйе дейді. Фазалардың физикалық күйіне байланысты әртекті жүйелердің төмендегі түрлері болады:
Суспензиялар- сұйық және оның ішінде қатты бөлшектер таралғаннан пайда болған әртекті жүйелер. Қатты бөлшектердің өлшеміне байланысты шартты түрде суспензиялар ірі, майда, өте майда және коллоидты ерітінді болып бөлінеді (4. 1-кесте) .
Эмульсиялар - бір сұйық ішінде онымен араласпайтын екінші сұйық бөлшектері таралғаннан пайда болған әртекті жүйелер.
Көбіктер- сұйық және оның ішінде газ көпіршіктері таралғаннан пайда болатын әртекті жүйелер. Бұл газды - сұйықты қоспалар өздерінің қасиеттері бойынша эмульсияларға жақындау.
Ш а ң д a p және түтіндер- газ оның ішінде қатты бөлшектер таралғаннан пайда болатын әртекті жүйелер. Шаңдар көбінесе қатты әаттарды үхақтағанда, араластырғанда және тасымалдағанда пайда болады. Шаңдағы қатты бөлшектердің өлшеміне байланысты олар түтін, тұман және аэрозоль болып бөлінеді.
Біртекті емес жүйелерді бөлудің мына әдістері қолданылады: тұндыру, сүзу, центрифугалау, ылғалды бөлу.
Тұндыру - сұйықта немесе газда ұшып жүрген қатты немесе сұйық бөлшектерді тұтас фазадан ауырлық күші, инерция күші немесе электростатикалық күш әсерімен бөлу. Ауырлық күші әсерімен тұндыруды тұну деп атайды.
Сүзу - сұйықты немесе газды өткізіп, асылып жүрген қатты бөлшектерді ұстайтын кеуек бөгеттердің көмегімен бөлу процесі.
Центрифугалау - ортадан тепкіш күштер өрісінде суспензияны және эмульсияны бөлу процесі.
Ылғалды бөлу - қандай да бір сұйықтың көмегімен газда асылып жүрген бөлшектерді ұстау арқылы бөлу процесі.
Бөлу процесінің материалдық балансы
Тұтас фазадан және онда ұшып жүрген бөлшектерден тұратын жүйені бөлу керек деп есептейміз. Мына белгілеулерді енгіземіз:
Gқ, Gm, Gt - берілген қоспа, мөлдірленген сүйық және тұнба мөлшерлері, кг. Хқ, Х м , Х т - b затының қоспадағы, мөлдірленген сұйықтағы және тұнбадағы массалық үлестері.
Егер заттардың шығыны болмаса, онда ажыратудың материалдық тепе-теңдігін былай жазуға болады:
заттардың барлық мөлшері бойынша:
дисперсті фаза (Ь заты) бойынша;
- Іс жүргізу
- Автоматтандыру, Техника
- Алғашқы әскери дайындық
- Астрономия
- Ауыл шаруашылығы
- Банк ісі
- Бизнесті бағалау
- Биология
- Бухгалтерлік іс
- Валеология
- Ветеринария
- География
- Геология, Геофизика, Геодезия
- Дін
- Ет, сүт, шарап өнімдері
- Жалпы тарих
- Жер кадастрі, Жылжымайтын мүлік
- Журналистика
- Информатика
- Кеден ісі
- Маркетинг
- Математика, Геометрия
- Медицина
- Мемлекеттік басқару
- Менеджмент
- Мұнай, Газ
- Мұрағат ісі
- Мәдениеттану
- ОБЖ (Основы безопасности жизнедеятельности)
- Педагогика
- Полиграфия
- Психология
- Салық
- Саясаттану
- Сақтандыру
- Сертификаттау, стандарттау
- Социология, Демография
- Спорт
- Статистика
- Тілтану, Филология
- Тарихи тұлғалар
- Тау-кен ісі
- Транспорт
- Туризм
- Физика
- Философия
- Халықаралық қатынастар
- Химия
- Экология, Қоршаған ортаны қорғау
- Экономика
- Экономикалық география
- Электротехника
- Қазақстан тарихы
- Қаржы
- Құрылыс
- Құқық, Криминалистика
- Әдебиет
- Өнер, музыка
- Өнеркәсіп, Өндіріс
Қазақ тілінде жазылған рефераттар, курстық жұмыстар, дипломдық жұмыстар бойынша біздің қор #1 болып табылады.

Ақпарат
Қосымша
Email: info@stud.kz