Желілі күшейткішті есептеу


Мазмұны:
І бөлім. Күшейткіштің структуралық схемасының таңдау құрылымы.
ІІ бөлім. Күшейту каскадтарының санының есептелу жоспары.
ІІІ бөлім. Күшейткіштің принципиалды схеманың таңдау құрлымы.
IV бөлім. Соңғы каскадтың есептелуі.
V бөлім. Тұрақты токтағы схема элементтерінің есептелу.
VІ бөлім. Жалпы КТБ тереңдігінің есептелуі.
VІІ бөлім. Күшейткіштегі күшейту коэффиценттің тексерудің есептелуі.
VІІІ бөлім. Жалпы КТБ тізбегіндегі ұзаруын есептеу.
ІХ бөлім. Есептелу нәтижесінің қорытындысы.
Х бөлім. Ұсынылған әдебиеттердің тізімі, күні, оқушының қолы.
Желілі күшейткіш тақырыбы бойынша курстық проектінің тапсырмасы.
Жүктемеге берілетін қуат P н мВт
Жұмыс диапазонының төменгі жиілігі f н кГц
Жұмыс диапазонының жоғарғы жиілігі f в кГц
Күшейткіштің номиналды күшеюі S дб
Бейсыздықтың өшуі, екінші гармоника кезіндегі шығатын нолдік деңгейде а 2 r 0 дб
Бейсыздықтың өшуі, үшінші гармоника кезіндегі шығатын нолдік деңгейде а 3 r 0 д б
Күшейткіштің тұрақсыздығы
S
t
; д б
Салмақпен және сигналдың кедергідегі тоқ көзі R тоқ = R н Ом
Күшейткіштің шығатын және кіретін кездегі шағылу коэфиценті б =б кіру =б шығу
25
60
552
35
75
94
0, 7
145
0, 05

Кіріспе
Күшейткіштердің құрылыс техникасы мен даму теориясының тарихын 1910 -1912 жылдардан бастауға болады. В. И. Коволенков алғашқы үлгісіне электронды лампаның электрлік сигнал күшейткіштің күшеюін алады.
1914 - 1916 жылдары Н. Д. Напалекси мен М. К. Бонч - Бруевич лампаның конструкциясын жақсартты және оны электрлік сигналды күшейтуге қолданды. Бірақ олардың жұмыстарын Орыс хандығы қолдамады. Радио өнеркәсібі ұлы қазан революциясына дейін Ресейде мүлде болған жоқ. 1918 жылы Лениннің қолдауымен Нижегород лаборатория ашылды. Онда М. А. Бонч - Бруевич басшылығымен алғаш рет электролампаның күшейткішінің өнеркәсібі ашылды. 1920 жылдың басында алғаш рет электролампаның күшейткішінің өнеркәсібі шығарылды. Дәл осы уақытта А. И. Берг қарапайым күшейткіш схема теорияларын шығарды, сонымен қатар инженерлік есептеудің методикасын шығарды.
1933 - 1934 жылдары күшейткіш схемалары ұсынылды, кері байланысты өңдеу арықылы. Бұл сапалы көрсеткіш жоғары қуатты күшейткішті өңдеуге көмектесті және жоғары сапалы күшейткішпен, жоғары ПӘК теориялық зерттеу схемасымен, қайтымды байланыстар Боде және Блек деген шетел ғалымдарының жұмыстарында берілген.
Келесі жылдары елде көп өзгерістер болды, соның ішінде электр байланыстарында, ақпаратты және жаңа техника теледидар ақпараттарында, тағы басқаларда.
1960 жылдары электрлік аппараттуралар кең қолданыла бастады. Соның кең тарағаны транзисторлар. Бірақ олар аз габаритті өлшемдер мен аз токта жұмыс істеді. Күшейткіш техникасының дамуы әрі қарай жақсара бастады. Олар мыңдаған элементтерден тұратын
информациялық ағымды электр аппаратурасын пайдаланды. Сонымен бірге трансформатр компактілі тез істейтін, жоғары сенімді және тоқты аз пайдаланатын болып шықты. Сол кездегі өмірге техникалық кибернетика мен радиоэлектроника сай келеді. Алғашқы қадамын жартылай өткізгішті электроникамен бастады. Арықарай техникалық методтар арқылы жартылай өткізгіште интегралды схемаларды дамытты. Микроминиатюразиялық есебін шығарғанда екі жолмен шеше алды:
1. Транзистор принципін сақтау үшін жартылай өткізгішті максимал кристалында орналастыру қажет және кішкентай микроскопиялық элементтерді, диодты сиымдылықты, кедергімен соған енгізу керектігі.
2. Электр - құрылыстардың жаңа принциптерін ізденулермен шектеледі. Ең жақсы болып есептелінген мыналар электронды диэлектрлік пен оптоэлектроника 1963 - 1965 жылдары фотоқабылдағыштар мен жартылай өткізгішті жарықтандырғыштар пайда бола бастады. Оптоэлектриктер күшейткіштер, генераторлар, телекомдтаторлар, цифралық есептеу машиналары тағы басқалар. Басты мақсаты электроникалық диэлектрлік потенциалды мүмкіндігін қарау .
Приборлардың жұмыс істеу принципі электроникалық диэлектрліктің электровакумдық шамдарға жақын болады. Диэлектрлікті диод пен бос орынды электрон арасында диэлектрлік қиықшасы бар және оның қолындағы жүз бөлігінен тұрады. Диод қатарында диэлектрик диодтарда құрылды. Күшеюлер әртүрлі классификациямен белгіленеді. Сигналдың күшею мінездемесі және жиілікте, күшейткіштің қоюында және күшейткішті элементтердің қолдануында. Күшею сигналының сипаттамасы барлық күшейткіштерді екіге бөлуге болады:
1. Гармоникалық сигналдардың күшейткші.
2. Әртүрлі өлшемдері мен формасы квазигармоникалық сигналдар.
Периодты сигналдар және гармоникалық сигналдарды баяу жүретін тізбекте күшейткіштерге мыналарды жатқызуға болады: микрофон, трансляциялық және магнитафонды күшейткіштер, қатты сөйлегіш күшейткіш, дыбыс киносы және тағы басқалар. Импульсті сигнал күшейткіштеріде периодтық және периодтық емес сигналдар үшін өлшемдері мен формалары болады. Стационарлы емес процесте тізбектегі күшейткіш тез өту керек. Импульсті күшейткішке мыналар жатады: импульстық күшейткіштің байланыс системасы, теледидарлық көріністің күшейткіш сигналы, ЭВМ құрлысындағы радиоимпульсті реттеу және басқару системасы.
Тұрақты тоқ күшейткішіндегі электрлік тербелісті күшейту үшін жиілік сызығында f н >0 - ден f в жоғары жиілікке дейін өседі. Оларды кернеулі электронды және термомиханикалық аппаратурасында қолданылады.
f н төменгі жиіліктен f в жоғары жиілікке дейінгі сызықты сигналдар ауыспалы тоқтағы күшке күшейткіштердің көбі жатады. Жоғарғы жиілікті күшейткіштер электрлі жоғарғы жиілікті тербеліс модуляциялары үшін қолданылады. Мысалы: радиоқабылдағыш антенасының аппараттары дыбыс қабылдау үшін арақашықтық күшейткіш жиілігі қолданылады.
f в жоғары жиілікпен f н - төменгі жиілік спектр арасындағы шығу күшейткішінің бірге тақау (f в / f н < 11) орналасады.
Төменгі жиілікті күшейткіш пен жоғарғы жиіліктің күшейткіштері электрлік тербелістері үшін жасалмған. Төменгі жиілік күшейткіштер үшін дыбыс тербелісі пайдаланады. Ол күшейтілген элетрлік тербелістер адамның есту мүшесі мен (құлақпен) қабылданады. Дыбыс жиіліктері радиоақпаратта, радиобайланыста, байланыс тізбегінде, дыбыс шығару мен жазылуында қолданылады. «Төменгі жиілікті күшейткіштер» - өз атын алғаш өздік сан сигналының бірінші кГц - тің жоғарылауынан және басқа сигналдардың салыстыруымен олардың ішінде жиілігі төмен
болғанда ғана алады.
Дәл қазіргі уақытта бұл термин күшейткіштердің көбіне сай келмейді. Өйткені ақырғы жиіліктері төмен болуынан. Күшейтілген түрлендіргіш сигналдың жиілікті күшеюлері - түрлендіргіш күшейткіштер деп аталады. Күшейткіштердің қолдануы бойынша: магнитафондық, радиолокациондық, трансляциялық, шамдық, магниттік, диодтық, молекулярлық тағы басқалары болып бөлінеді.
Транзисторлы және электронды шамның күшейткіштері - электронды деп аталады. Өйткені жұмыс принциптері жартылай өткізгіште және вакумда пайдаланады. Транзисторлар мен электронды шамдарды орындалған және универсалды элемент күшейткіштері болып табылады. Олар кең жолақтағы жиілікте және қарапайым қосуда үлкен күшею болады. Эксплотацияда баптау және бастырманы қажет етпейді. Осы себептен транзисторлар және шамды күшейткіштер кең қолданбалы болып есептеледі және кең қолданылады. Олардың жұмыс істеу принципінің есептелуі мен конструкциясы қазіргі кезде көп қарастырылады.
Магниттік, диоттық, молекулалық типтердің күшейткіштері арнайы курстарда оқытылады. Бір күшею элементінен бүлінген күшейткіш практикаға жеткілікті емес, онда бірнеше күшею элементтер қолданылады және ьбіреуден екіншіге, одан үшіншіге өтетін күшейткіштер қолданылады. Сондықтан күшею элементінің біреуінің байланыс элементі күшею каскад немесе жай каскад деп аталады. Қазіргі кезде каскадтардың көбі көп каскадты болып табылады. Берілген күшейткіштердің сипаттамасы мен енгізілген бұрмалануды негізгі көрсеткіштер деп атайды. Онда кіру және шығу берілуі, күшею коэффиценті жиілікті КПД, фазалық және ауыспалы сипаттамасы, меншікті өріс деңгейі, сызықты еместігі, бірқалыпты және сенімді болады.
Система аппаратурасы үлкен сандағы сигналдың электрлік күшеюін, берілуін құрайды. Ең күрделі болып сызықты күшейткіштер
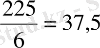
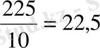
болып табылады. Олар аралық күшейткіш пункта орналасқан және сөну коменсациясы болып қолданылады. Сызықты күшейткіштің параметрі - жақсартылған күшейткіш деңгейінің мәні анықталған, оның бастапқы проектісінде мыналар қолданылады. [Іс. 10. 25. ] - техникалық сұрауында берілген, жұмыс диапазонының номиналдық жиіліктің күшейткіші, кіру және шығу кедергісі сызықты емес сөнуі, тұрақты емес күшейткіші және тағы басқа жұмыс диапазонының жиілік күшейткіші сызқты спектр системасының берілуімен анықталынады. k - 6011 берілген системасындағыдай күшейткіш жұмыс диапазонына 12 - 15 кГц, берілу системасында k - 120 бір бағыттағы жұмыс диапазонына 70 - 552 кГц, ал бағыттағы жұмыс диапазоны 60 - 552 кГц - ке тең.
Наминалды күшею күшейткіші f күшейткіш жиілік диапазонында жоғары жиіліктің жұмыс өлшемінде наминалдық сөну күшейткішке дейін көрсетіледі. Номиналдық мәндегі күшейткіш өлшемдегі сызықты күшейткішінде алдын - ала реттеушілік болады. Ол үшін артық тек кері байланыстың тізбекке ауыспалы ұзартуы енгізілген осы байланыс техникасындағы күшейткіштің мәні оның шамасының күшейткіш жұмысына тәуелді болады.
Кедергі келісуінде күшейткіші мына формуламен анықталады.
S
p
=10
lg
.
Транзисторда және сол сияқты күшейткіш шамдарда ретінің схемалалары кеңінен пайдаланылады. Осы айтқан күшейткіштердің реттеушілігі, құрылғының күшеюіндегі өте үлкен көмек көрсетеді. Күшейткіш элементтердің ауысуында олардың тізімінде және өзгеру жүйесіндегі реттеушілікке көмек көрсетуіне рұқсат беріледі. Шығу сигналының өзгеру деңгейінде және күшею сақтандырғыштағы, оның артық жүгінен сақтануы, жоғары деңгейдегі сигналында жай өзгертуге болады. Оны күшейткіш реттеуде бір қалыпты жағдайда ғана және бір қалыпты емес жағдайда істеуге болады. Күшейткіш реттеушілігі мына
жолдармен жүреді: потенциялдық реттеушілікте, кері байланыстың күшеюіндегі реттеушілікте. Күшею реттеушілік әдетте кері тізбегіне және оның алғашқы каскадына енгізіледі. Күшею элементтерде артық жүк болмау керек, ол үшін:
Мысалы: радиоаппаратурада қажетті деңгейде қою үшін және амплитуалдық реттеушілік модуляциялық сигналында, осы күшею реттеушілік міндетті жөнделген түйінде және эмиттерді ауыстырғаннан кейін де қажет болады.
Күшейткіштің реттеушісі механикалық, автоматты және жүргізу дистанциялық кернеу түрінде ғана жүре алады. Қолтанбалы
реттеушіліктер приборларды көрсетеді, олардың өзгеріп отыратын коэффиценттері тікелей оператормен байланысты екенін көрсетеді, қолданбалы реттеушілік бір қалыпты және бір қалыпты емес болады. Реттеуіш деңгейі кең мөлшерде жүре алады, тіпті 100 дб-ға дейін және одан да көп мөлшерге дейін жетеді. Ең қарапайым реттеуіш ауыспалы резистор алдына немесе бір каскадтан кейін қосылғаннан соң ауыспалы резистор пайда болады. Күшейткіштің алдында да потенциалды қосылуы, оның артық жүкті бірінші каскадтан кейін ғана жүреді.
І - бөлім.
Күшейткіш структуралық схемасының таңдау құрылысы.
Структуралық схема күшейткіш туралы жалпы мәлімет береді. Сондықтан структуралық схеманың күшейткіші өте жақсы. Техникалық принципиальді схемасы құрылған. Күшейткіш қуаты, кернеуді немесе тоқ сигналының кіру кезіндегі арттыру үшін қолданылады.
Шығатын сигнал кіретін сигналға қатынасты болуы керек. Немесе анықталған параметрі ажыратылуы керек. Қуат сигналы шығу кезіндегі күшейткіш үлкен, кіру кезінен көрі. Сондықтан энергияның сақталу күші құрылымын тоқ көзін құрау керек. Шығатын және кіретін кедергілер болу керек және тізбекте қосылу керек. Шығатын және кіретін кедеогілер құрылымы күшейткіште трансформаторлы және дифференциалды жүйесі қолданылды. Терең жалпы теріс қайтымды кіретін трансформатор көмегімен кіретін және шығатын кедергісі келістіру үшін қолданылады. Соңғы каскад күшейткіш берілген күшейткіштегі қуат сигналын анықтайды. Сол шақта іс - әрекет жалпы негізгі схемасының сызықты емес бұрмалауын қарастырады. Тоқтың жеткілікті мәнінің сигналын жетектеу үшін қажет. Алдын - ала күшейткіш каскадын қамтамасыздандырады. Сапалы көрсеткіш мәні өтетін сызықты емес т. б. көрсетеді. Максималды тереңдігі жалпы негізгі схеманы қамтамасыз етеді. Бүкіл күшейткіш каскадында жалпы негізгі схеманың жалпы тізбегі өтетін компенсация күшейткішінің бөлігі және коррекциясы.
Кіргізетін сызық амплитудасының жиілік бұрмалануы қосыалды.
Ауыспалы ұзартқыш бастапқы еңкею автоматикалық контуры (АРК) .
Салмақты және сигналды ток көзі болып сызықты байланыс болып табылады. Бірінші суретте сызықты структуралық күшейткіштің схемасы көрсетілген.
ІІ - бөлім.
Күшейткіш каскадының есептеу санының есептелуі.
Күшейткіш каскады дегеніміз - күшейткіштің функциясын сақтайтын минималды бөлігін айтамыз. Сонымен бір дәрежелі күшею құрылумен сипатталады.
Егер бір каскад пен күшеюде құрса және ол жеткіліксіз болса, онда каскадтарды тізбектей қосып тербеліс күшеюінің бірінші каскадтың екіншісіне, үшіншісіне, т. б. кете береді. Осы жағдайда күшейткіш бір, екі, үш немесе көп каскадты болуы мүмкін. Күшейткіш каскадының саны мына төменгі формула бойынша анықталады.
N=
Мүндағы: S қай к. б - қайтымды каскад байланысы күшейткіші (дБ) .
S каск - бір каскад күшейткіші.
S қай к. б = S + А ос
Мұндағы: S - номиналды күшейткіш.
А ос - ООС тереңділігі 20- 30дБ-да жүрді.
S каск =20 дБ
S қай к. б = 25 + 20 = 45
N=
Күшейткіш каскадының саны 3-ке тең болады.
ІІІ - бөлім.
Күшейткіштің принципиалды схемасының таңдау құрлымы.
Қарапайым үш каскадты сызықты күшейткіштің принципиалды схемасы. Сызықты үш текті каскадтан тұрады, жалпы элементтер схемасы V 1 ; V 2 ; V 3 транзистордағы және электр схемасындағы күшейткіш үш каскадтан тұрады. Тұрақтандыру эмиттер схемасының көмегімен каскадтың әр тыныштық тогы тұрақтандырады. Бірінші мен екінші каскад арасындағы байланыс бөлгіш конденсатор екінші кіру каскадына элемент схемаларының санын үнемдеу және ток қоректендірудің әрбіреуін үнемдеуге немесе бөлгіш конденсатордың жоқтығынан амплитуда жиілік бұрмалауды төмен жиілікте бөлу. Бірақ ұқсастық байланысты қолданғанда жетіспеушілік болады. Ол үлкен кернеу қоректендіруді қажет етеді. Өйткені екінші каскад күшейткіш, кернеу бірінші каскадқа жұмыс атқарады. Бірінші каскад барлық тербеліс режимін, екінші каскадтың режимінің екінші каскадтың режимін шақырады. Сондықтан осы схемада бірінші каскадтың тұрақтандыру режимі ең маңыздысы болып табылады. Жиынды қайта байланысты азайту үшін, каскадтардың арасына жалпы қоректендіру көзі тізбекті қоректендіруі бар сүзгілер тізбек құрайды.
R 6 ; С 3 ; R 11 ; С ; Т 1 ; Т 2 - дифференциалды транзисторларда күшейткіштің кіру мен шығу құрылғылары жасалған R 1 ; R 16 ; резисторлары байланысты. Күшейткіште жалпы ЖТКБ - ны пайдалануды және кіру мен шығу құрылғысымен қарастырылған. Белсенді тізбек бөлігінде АРҚ контуры және айнымалы ұзарту R 7 , R 10 , R 12 - де қиыстырғыш байланыс орны бар және айнымалы токта пайдаланылады. Сондықтан ЖТКБ тізбегінің кіру мен шығуында бөлгіш конденсатор С 2 , С 11 құрастырылған С 11 , С 7 , С 10 - конденсаторлары жоғары жиілікті айлану белсенді бөлік ЖТКБ ілмегін құрайды.
IV - бөлім.
Соңғы касскад есептелуі.
Соңғы каскад салмақта берілген қуат сигналы алуын қамтамасыз етуі. Сонымен қатар сызықты емес бұрмалауды енгізу қажет. Сызықты күшейткіште жүйе аппаратураны тарату жэ транзисторы қосылған бір тактілі трансформатор соңғы каскады қолданылады.
Күшейткіш элемент осындай каскадтарда А режимінде жұмыс істейді. Сызықты емес бұрмалауды алу үшін осы режимді пайдаланады. Өйткені транзистор соңғы каскады мүлде үлкен сигнал режимінде жұмыс істейді. Каскадтың параметрлері графоаналистордың тәсілге сенеді және транзистордың вольтлитлік сипаттамасының кіру мен шығу статистикалық тобы қолданылады. Соңғы каскадың транзистор түрі максималді колектор қуатының шашырауымен таңдалады. Р k max осы шарттар орындалуы тиіс.
f
гр
> (40
100) f
в
Р
k max
(4
5) R
н
Мұндағы: Р c - салмаққа берілетін қуат. Ал схемамызда транзисторы алынған оның мәндері таблицада енгізілген.
f
гр
>50*1304кГц = 65200кГц = 65. 2МГц
Р kmax >5*39 =195 мвт
Біздің схема үшін транзистор ГТ308А алынады.
f гр
МГц
Р кmax
МВт
I кmax
мА
I б
Ом
Суреттен жұмыс аймағының транзистор сипаттамасын анықтаймыз. Ол үшін шығатын сипатамасы транзистордың жаңа максимальды сипаттамасы қуаттқа жеткілікті шашырайды.
I
к
=
Кернеу осінде бұл мәндерде құрады. Пепендикуляр өтуіне байланысты және салыстырмалы мәндеріне U kэ тоқ I к мәндерін қоямыз. Содан кейін алынатын нүктені баяу сызықпен қосады. Одан кейін U kэ max мен U қалдыққа қатысты сызық өткізіледі. U қалдық мәнін график бойынша анықтаймыз, ол үшін кернеу осіне перпендикуляр түсіру керек. Майысу нүктесінен үстінгі вольт - амперлік сипатамадан тыныштық кернеуін анықтаймыз, транзисторада максималді жеткілікті кернеуінің максимальді кернеуін табамыз.
сызық жүргізу қажет, сәйкесінше U kэ max және U ост мәні графикалық анықтау вольтамперлік жоғарғы шығу нүктесінен ось кернеу перпендикулярына дейін майыстыру керек. Тарнзистор кернеу тыныштығын анықтайды, максималды кереу рауалында U kэ max .
U
kо
=
U kо мәнін табу үшін толық шамаға дейін қуатты анықтау, трансформатор ПӘК есептеу, транзисторға ПӘК есебі арқылы қуатты анықтау.
тең.
=39/0. 95=41. 1MBT
Каллектор транзистордағы қуаттың шашырауын мына формуламен табамыз.
P
kо
=
Мұндағы:
- А режимдегі КПД каскадының максимальдылығы, ол 0, 4- ке тең.
- тізбектегі сигналдың номеріндегі коэффициенті, ол 0, 9- ға тең.
Р kо = 41. 1/0. 4*0. 9 = 41. 1/0. 36 = 114 мвт
Транзистор каллекторының қуатынан тоқтың тыныштығының мөлшерін аламыз.
І
ko3
=
=
Тандалған транзистор сипаттамасының шығуында белгілейміз. U kо1 І ko және тыныштық база нүктесінен табамыз. І бo алынған мәні кіру сипаттамасын белгілейді және U бо кернеуінің ауытқуының сәйкестігін анықтаймыз. Еркін нүктенің координатын шығарамыз.
U kо3 = 6. 5 В
І бo = 0. 21В
І ko 3 = 11 В
Сигналдың шығу кернеуінің амплитудасын анықтаймыз.
U
km
U
kо
-
U
ост
U
km
6. 5-1=5. 5
U
km
5. 5
Шығу сигналы тоғының амплитудасын анықтаймыз.
І
km
=
І
km
=
Түзу аралық тоғының қосымша күшін құраймыз. Ол үшін транзистордың шығу сипатамасының тыныштық координат нүктесінен тоқтың өшпей төменге қарай амплитудада тоғын І km алып қоямыз. Жүргізу жиынтығы І ko - І km =11-9. 5=1. 5мА және U kо -U km =6. 5+5. 5=12В= U km =М нүктесі арқылы анықталады, тағы да ТП және М арқылы қосымша күш арқылы түзу ауыспалы тоқты жүргіземіз.
М нүктесін қосымша күштегі түзу ауыспалы тоқ
деңгейіне сәйкес келеді және І
бmin
ал Nнүктесіне І
бmах
деңгейіне сәйкес келеді. Бұл тоқ мәнінің жазылуы:
І бmах =0. 38мА
І бmin =0, 1мА
Ток кіру сигналының амплитудасын анықтау.
І
б. m
=
;
Транзистордың таңдалған режимінің қуатқа берілуін анықтаймыз.
Алынған шаманы салыстырамыз
P
~
және
. егер транзистор жұмыс режимі дұрыс алынса, онда ол шартты орындау тиіс.
P
~
39. 9
39. 9
Транзистордың кіру сипаттамасында токты І б max , І бo , І б min деп белгіленеді және кіру кенрнеуін осы ток мәні анықтайды. Осы кірулерінің мәніннің жазылуы U бэ k max = 0, 35В; U бо = 0, 75В; U бэ k min = 0, 2В. кернеу кірулерінің сигналын амплитудасын анықтаймыз.
U
бm
=
.
Кернеудің күшею коэффицентін анықтау.
k
3
Транзистор кедергісінің анықталуы.
R
кір3
=
Салмақ кедергісінің тізбектегі шығуын анықтау.
R
~3
=
Транзистор шығу тізбегінде қоректендіру көзі тұтынатын қуатты анықтау.
Р о = І ko · U kо = 11 · 6. 5 = 71. 5 Вт
Шығу тізбегіндегі факторлық коэффицентінің маңызды әсерін анықтау.
U kо3
(В)
І koз
(мА)
U боз
(В)
І бoз
(мА)
R кіру3
(Ом)
R ~3
(Ом)

f
мек
(40
100) f
ж
; 1304 ·40 - 1304 ·100
f
мек
52160 кГц - 130400 кГц.
Р
kmax
(4
5) Р
н
І
k
=
Р
kmax
= 225 мВт.
І
k1
=
мА І
k2
=
мА І
k3
=
мА І
k4
=
мА І
k5
=
мА І
k6
=
мА
Калектор транзистордағы таралу қуатын анықтау.
мұндағы
= 0, 4;
= 0, 9;
І
ko
=
=
мА
І бo = 15 мА ; U kо = 0, 1 В.
U
km
U
kо
-
U
ост
= 11, 1 - 2, 2 = 8, 9. В
І ko - І km = 7, 9 - 7 = 0, 9 мА
U kо + U km = 11, 1 + 8, 9 = 20 В
... жалғасы- Іс жүргізу
- Автоматтандыру, Техника
- Алғашқы әскери дайындық
- Астрономия
- Ауыл шаруашылығы
- Банк ісі
- Бизнесті бағалау
- Биология
- Бухгалтерлік іс
- Валеология
- Ветеринария
- География
- Геология, Геофизика, Геодезия
- Дін
- Ет, сүт, шарап өнімдері
- Жалпы тарих
- Жер кадастрі, Жылжымайтын мүлік
- Журналистика
- Информатика
- Кеден ісі
- Маркетинг
- Математика, Геометрия
- Медицина
- Мемлекеттік басқару
- Менеджмент
- Мұнай, Газ
- Мұрағат ісі
- Мәдениеттану
- ОБЖ (Основы безопасности жизнедеятельности)
- Педагогика
- Полиграфия
- Психология
- Салық
- Саясаттану
- Сақтандыру
- Сертификаттау, стандарттау
- Социология, Демография
- Спорт
- Статистика
- Тілтану, Филология
- Тарихи тұлғалар
- Тау-кен ісі
- Транспорт
- Туризм
- Физика
- Философия
- Халықаралық қатынастар
- Химия
- Экология, Қоршаған ортаны қорғау
- Экономика
- Экономикалық география
- Электротехника
- Қазақстан тарихы
- Қаржы
- Құрылыс
- Құқық, Криминалистика
- Әдебиет
- Өнер, музыка
- Өнеркәсіп, Өндіріс
Қазақ тілінде жазылған рефераттар, курстық жұмыстар, дипломдық жұмыстар бойынша біздің қор #1 болып табылады.

Ақпарат
Қосымша
Email: info@stud.kz