Функцияның нүктедегі үзіліссіздігі


Функциянң нүктедегі үзіліссіздігі.
Жоспары:
- Үзіліссіздіктің әр түрлі аныќтамалары
- Үзіліссіз функциялардыњ кейбір локальды қасиеттері
Анықтама-1. Егер
f(x) =f(x 0 ) (1) шарты орындалса, f(x) функциясы x 0 нүктесінде үзіліссіз деп аталады. Бұның мағынасы:
1. f функциясының х 0 нүктемінде анықталғандығы қажет.
2. f функциясы белгілі бір
>0 саны үшін (x
0
-
x
0
+
), (x
0
-
x
0
), (x
0
, x
0
+
) жиындарының бірінде анықталуы қажет.
3. х нүктесі х 0 -ге сол жағынан да ақырсыз жақындағанда f(x) f(x 0 ) -ге ақырсыз жақындау керек.
х-х 0 =һ=∆x сандары функцияның аргументінің х 0 нүктесіндегі өсімшесі деп, ал оған сәйкес: ∆y=f(x) -f(x 0 ) =f(x 0 +h) -f(x 0 ) =f(x 0 +∆x) -f(x 0 ) саны функцияның өсімшесі деп аталады.
«Өсімше» терминін қолданып, үзіліссіздіктің анықтамасын былай айтуға болады:
Анықтама-2. Егер тәуелсіз айнымалының х 0 нүктесіндегі өсімшесі нольге ұмтылғанда оған сәйкес f функциясының өсімшесі нольге ұмтылса, онда f функциясы х 0 нүктемінде үзіліссіз деп аталады.
Шектің анықтамасын тікелей қолдансақ, онда үзіліссіздіктің келесі екі анықтамасына келеміз.
Анықтама-3
. (үзіліссіздіктің “
” тіліндегі анықтамасы) .
Егер кез-келген
саны бойынша
саны табылып, х-тің
теңсіздігін қанағаттандыратын барлық мәндерінде
теңсіздігі орындалса, онда f функциясы х
0
нүктесінде үзіліссіз деп атлады.
Анықтама-4.
(үзіліссіздіктің тізбектер тіліндегі анықтамасы) .
f функциясы Х аралығында анықталсын. Егер
үшін
(n=1, 2…),
(
) шарттарын қанағаттандыратын әрбір
тізбегіне сәйкес
тізбегінің шегі бар және f(x
0
) санына тең болса, онда f функциясы х
0
нүктесінде үзіліссіз деп аталады.
Енді үзіліссіз функциялардың кейбір локальды қасиеттерін келтірейік.
1-теорема. Әрбір функцияның үзіліссіздік нүктесі локальды шенелу нүктесі де болады.
2-теорема. Егер f функциясы х 0 нүктесінде үзіліссіз болып, сол нүктеде қабылданған f(x 0 ) мәні оң (теріс) болса, онда х 0 -дің белгілі бір маңайында f функциясының барлық мәндері де оң (теріс) болады.
3-теорема. Егер f және g функциялары х 0 нүктесінде үзіліссіз болса, онда f+g,
f-g, f*g және f/g функциялары да сол нүктеде үзіліссіз болады (әрине, соңғы жағдайда g(x 0 ) ≠ 0 шарты орындалуы тиіс) .
Мысал. Sinx функциясы барлық нақты сандар жиынында үзіліссіз, яғни әрбір х
0
нақты саны үшін
Шешу. Кез-келген
және х
0
нақты сандары берілсін, онда
теңсіздігін қанағаттандыратын барлық х сандары үшін
болады, яғни sinx функциясының үзіліссіздігі дәлелденді.
Анықтама. Егер f(x) функциясы х 0 нүктесінде үзіліссіз функция болмаса, х 0 нүктесі f(x) функциясының үзіліс нүктесі деп аталады.
Бұл анықтамаға сәйкес, егер х
0
нүктесі функцияның үзіліс нүктесі болса, функция f(x) үшін
шарты орындалады.
Жоғарыда берілген анықтама оң жақтықь үзіліс және сол жақтық үзіліс нүктелері үшін мына түрде айтылған болар еді:
Егер f(x) -тің х
0
нүктесіндегі мәні ол функцияның осы нүктедегі оң (сол) жақтық шегіне тең болмаса, яғни
шарты орындалса, х
0
берілген функция f(x) -тің оң (сол) жақтық үзіліс нүктесі деп аталады.
Үзіліс нүктелері былайша сұрыпталады:
- Егер х0нүктесінде f-тің ақырлы шегі де, f(x0) мәні де бар болып, бірақ олар өзара тең болмаса, яғниболса, х0нүктесі жөнделінетін үзіліс нүктесі деп аталады.
х 0 -ге “жөнделінетін үзіліс нүктесі” деп атақ берудің себебі мынада: егер f(x) функциясының бір-ақ мәнін, атап айтқанда, х 0 нүктесіндегі мәнін өзгертіп, f(x 0 ) -тің орнына f(x 0 -0) =f(x 0 +0) -ті алсақ, функциямыздың х 0 нүктесінде үзіліссіз болуы толық қамтамасыз етіледі.
Мысалы, егер
Фугкциясы берілсе, х
0
= 0 нүктесі ол функция үшін жөнделінетін үзіліс нүктесі болады. Оған дәлел:
және f(0) =2, яғни
- Егер х0нүктесінде f-тің ақырлы да, ақырсыз да шегі жоқ болса, х0нүктесі ол функцияның үзіліс нүктесі деп аталады.
Бұлай болу мына жағдайларда ғана кездеседі:
1) х
0
нүктесінде f-тің оң жақтық және сол жақтық ақырлы шектері бар болғанмен
олар өзара тең болмаса, яғни
болған жағдай. Бұл жағдайда х
0
нүктесі f(x) функциясы арқылы секірмелі болатын үзіліс нүктесі деп аталады да, ал
саны f(x) функциясының х
0
-дегі секірмесі деп аталады.
Мысалы, егер
Функциясы берілсе, х 0 =2 нүктесі ол функцияның ақырлы секірмелі болатын үзіліс нүктесі болады, өйткені f (2-0) = 1 және f (2+0) = 3;
Сонымен бірге
саны функцияның х
0
= 2 нүктесіндегі секірмесінің шамасын көрсетеді.
2) х 0 нүктесінде f(x) функциясының бір жақтық шектері f(x 0 -0) пен f(x 0 +0) -тердің ең болмағанда біреуі шексіздікке айналатын не мүлде жоқ болған жағдай.
Мысалы, егер
Функциясын алсақ, ол х
0
=0-де оң жағынан үзілісті функция, өйткені
Сонымен қатар бұл функция x
0
=0 нүктесінде сол жақтан үзіліссіз функция, өйткені f(0) =0 және f(-0) =
, яғни f(-0) =f(0) .
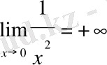
3. х 0 нүктесінде f(x) функциясының шегі шексіздікке айналса, х 0 ол функция үшін үзіліс нүктесі болады.
Мысалы,
функциясы үшін х
0
=0-дің үзіліс нүктесі екенін байқау қиын емес, себебі
Жөнделінетін үзіліс нүктелері мен функцияның ақырлы секірмесі бар болатын үзіліс нүктелерін бірінші түрдегі үзіліс нүктелері деп атайды. Функцияның үзіліске ұшырайтын басқа нүктелерінің барлығы екінші түрдегі үзіліс нүктелері деп аталады.
Функцияның үзіліссіздігі. Функцияның нүктедегі үзіліссіздігі ұғымын беру үшін 3 шартты келтіреміз:
1. функциясы нүктесінде анықталған (яғни мәні бар) ;
2. ( шамасы -ге ұмтылғанда) болғанда функциясының ақырлы шегі бар;
3. шегі функцияның нүктесіндегі мәніне тең:
1−анықтама. Егер функциясы келтірілген үш шартты қанағаттандырса, онда оны нүктесінде үзіліссіз дейді. Функцияның нүктесіндегі үзіліссіздігінің анықтамасының формуласын былай жазуға болады: Функция нүктесінде үзіліссіз болса, онда оның графигін нүктесі арқылы үзіліссіз сызуға (қарындашты қағаздан алмай) болады. Енді үзіліссіздіктің екінші анықтамасын берейік. аргументіне өсімшесін берсек, функциясы өсімшесін алады. Ол формуласымен анықталады.
2−анықтама. Егер функциясы нүктесінде анықталса және теңдігі орындалса, онда ол функцияны нүктесінде үзіліссіз дейді. Үзіліссіздіктің осы екі анықтамасы өзара эквивалентті. Егер функциясы нүктесінде үзіліссіз болмаса, онда бұл нүкте функциясының үзіліс нүктесі деп аталады. Үзіліс нүктесінің екі түрі бар.
Анықтама. y=f(x) функциясы нүктесінде үздіксіз деп аталады, егер:
1) функция нүктесінде және сол нүктені қамтитын оның бір аймағында анықталған болса;
2) нүктесінде функцияның бір жақты шектері бар және олар өзара тең
3) функцияның бір жақты шектері оның осы нүктесіндегі мәніне тең болады
Анықтама. Егер нүктесінде функция үздіксіз болса, онда нүктесі берілген функцияның үздіксіздік нүктесі деп аталады.
... жалғасы- Іс жүргізу
- Автоматтандыру, Техника
- Алғашқы әскери дайындық
- Астрономия
- Ауыл шаруашылығы
- Банк ісі
- Бизнесті бағалау
- Биология
- Бухгалтерлік іс
- Валеология
- Ветеринария
- География
- Геология, Геофизика, Геодезия
- Дін
- Ет, сүт, шарап өнімдері
- Жалпы тарих
- Жер кадастрі, Жылжымайтын мүлік
- Журналистика
- Информатика
- Кеден ісі
- Маркетинг
- Математика, Геометрия
- Медицина
- Мемлекеттік басқару
- Менеджмент
- Мұнай, Газ
- Мұрағат ісі
- Мәдениеттану
- ОБЖ (Основы безопасности жизнедеятельности)
- Педагогика
- Полиграфия
- Психология
- Салық
- Саясаттану
- Сақтандыру
- Сертификаттау, стандарттау
- Социология, Демография
- Спорт
- Статистика
- Тілтану, Филология
- Тарихи тұлғалар
- Тау-кен ісі
- Транспорт
- Туризм
- Физика
- Философия
- Халықаралық қатынастар
- Химия
- Экология, Қоршаған ортаны қорғау
- Экономика
- Экономикалық география
- Электротехника
- Қазақстан тарихы
- Қаржы
- Құрылыс
- Құқық, Криминалистика
- Әдебиет
- Өнер, музыка
- Өнеркәсіп, Өндіріс
Қазақ тілінде жазылған рефераттар, курстық жұмыстар, дипломдық жұмыстар бойынша біздің қор #1 болып табылады.

Ақпарат
Қосымша
Email: info@stud.kz