Физика. Қозғалыс заңдары


9-сынып.
Сабақ тақырыбы: §1. Қозғалыс материяның ажырамас қасиеті.
Сабақ мақсаты:
1. Оқушыларға материя, материяның негізгі қасиеті- қозғалыс туралы түсінік беру.
2. Оқушыларды өз бетімен ғылыми ой қорытындыларын жасай білуге жетелеу.
3. Жауапкершілікке, тиянақтылыққа, еңбекке баулу.
Керекті құрал-жабдықтар: компьютер, видеопроектор, слайдтар.
Сабақ түрі: аралас
Сабақ әдісі: баяндау, сұрақ-жауап.
Сабақ барысы:
І. Ұйымдастыру кезеңі.
ІІ. Жаңа сабақ.
Денелердің қозғалысын физиканың негізгі бөлімі - механика зерттейді. Механика кинематика және динамика деген бөлімдерден тұрады.
Кинематика - механиканың қозғалыстарды сипаттайтын шамалар арасындағы байланысты қарастыратын бөлімі.
Кинематикада денелердің қозғалысын анықтайтын себептер қарастырылмайды,
оларды динамика қарастырады.
Дене кейбір дегене қатысты тыныштықта болғанымен, басқа бір денеге қатысты қозғалыста болады, сондықтан денелердің тыныштығы салыстырмалы болып табылады.
Материяның негізгі қасиеттерінің бірі -қозғалыс. Материясыз қозғалыс, қозғалыссыз - материя болмайды.
Материяның қасиеттерін, оның өзгерістерін зерттеу барысында көптеген физикалық шамалар енгізіледі. Бұл шамларадың арасындағы ең маңызды байланыстар ашылады да, олар математикалық қатынастар арқылы өрнектеледі. Сөйтіп, материя қасиеттерін сипаттайтын заңдар тағайындалады.
ІІІ. Пысықтау.
- Табиғатта абсолют тыныштықта тұратын дене бола ма?
- Тыныштықтың салыстырмалы болатынын қандай мысалмен түсіндіруге болады?
- Ғылымда материя деп нені айтады?
- Оның негізгі қасиеті қандай?
- Материяның қасиеттерін сипаттайтын заңдар қалай тағайындалады?
ІV. Қорытындылау.
V. Бағалау.
VІ. Үйге тапсырма: §1.
9-сынып.
Сабақ тақырыбы: §§2. 3. Векторлар және векторларға амалдар қолдану. Вектордың координаталар осьтеріндегі проекциялары. Проекцияларға амаладар қолдану.
Сабақ мақсаты:
1. Оқушыларға векторлар, векторлар проекциясы және оларға амалдар қолдану туралы түсінік беру.
2. Оқушыларды өз бетімен ғылыми ой қорытындыларын жасай білуге жетелеу.
3. Жауапкершілікке, тиянақтылыққа, еңбекке баулу.
Керекті құрал-жабдықтар: компьютер, видеопроектор, слайдтар.
Сабақ түрі: аралас
Сабақ әдісі: баяндау, сұрақ-жауап.
Сабақ барысы:
І. Ұйымдастыру кезеңі.
ІІ. Оқушылардың үй тапсырмасын қалай меңгергендерін тексеру:
1. Табиғатта абсолют тыныштықта тұратын дене бола ма?
2. Тыныштықтың салыстырмалы болатынын қандай мысалдармен түсіндіруге болады?
3. Ғылымда материя деп нені айтады? Оның негізгі қасиеті қандай?
4. Материяның қасиеттерін сипаттайтын заңдар қалай тағайындалады?
ІІІ. Жаңа сабақ.
Өзінің сандық мәнімен қоса кеңістіктегі бағытымен де сипатталатын шамалар векторлық шамалар деп аталады.
Кеңістікте белгілі бір бағыты болмайтын, тек сандық мәнімен ғана сипатталатын шамалар скалярлық шамалар деп аталады.
Векторларды қосу. Бірнеше векторларды қосу .
Векторларды азайту.
Бір түзудің бойында жатқан немесе бір-біріне параллель векторлар бір жаққа қарай не қарама
қарсы бағытталуы мүмкін.
Векторлар проекциясы.
Егер вектордың бас нүктесінің проекциясынан оның ұшының проекциясына қарай ось бағытымен жүретін болсақ, онда проекция оң деп, ал қарама-қарсы бағытта жүрсек, проекция теріс деп есептеледі.
Векторлардың қосындысы мен айырымының проекциялары .
Векторлар қосындысының бір осьтегі проекциясы қосылатын векторлардың сол осьтегі проекцияларының алгебралық қосындысына тең. \
Векторлар қосындысының не айырымының проекциясын табу үшін қорытқы векторды тауып, оның проекциясын анықтаудың қажеті жоқ, веторлардың проекцияларын, таңбаларын ескере отырып, қосса болғаны.
Дененің координаталары және орын ауыстыру векторының проекциялары.
-
орын ауыстыру векторының х не у осіндегі проекциясы сәйкес координатаның өзгерісіне тең.
ІV. Пысықтау.
V. Есептер шығару.
Рымкеевич есептер жинағы: №4, 5, 6.
VІ. Үйге тапсырма. §§2, 3, 2-жаттығу №1, 2, 3 .
VII. Бағалау.
VIII. Қорытындылау.
9-сынып.
Сабақ тақырыбы: §4. Түзусызықты тең айнымалы қозғалыс. Үдеу.
Сабақ мақсаты:
1. Оқушыларға бірқалыпты үдемелі қозғалыс, үдеу, оның бірлігі туралы түсінік беру.
2. Оқушыларды өз бетімен ғылыми ой қорытындыларын жасай білуге жетелеу.
3. Жауапкершілікке, тиянақтылыққа, еңбекке баулу.
Керекті құрал-жабдықтар: компьютер, видеопроектор, слайдтар.
Сабақ түрі: аралас
Сабақ әдісі: баяндау, сұрақ-жауап.
Сабақ барысы:
І. Ұйымдастыру кезеңі.
ІІ. Оқушылардың үй тапсырмасын қалай меңгергендерін тексеру:
1. Векторлық шамалар дегеніміз не?
2. Скаляр шамалар дегеніміз не?
3. Векторларға амалдарды қалай қолданамыз?
4. Векторлар проекциясы дегеніміз не?
5. Есептердің шығарылуын тексеру.
ІІІ. Жаңа сабақ.
Теңайнымалы қозғалыс деп дененің жылдамдығы кез келген бірдей уақыт аралығында бірдей шамаға өзгеріп отыратын қозғалысты айтады.
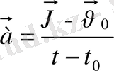
Үдеу дегеніміз - жылдамдықтың өзгеру шапшаңдығын сипаттайтын шама; ал жылдамдық өзгерісінің осы өзгеріс болған уақыт аралығына қатынасына тең.
ХБЖ-да үдеу бірлігі 1м/с 2 .
ІV. Есептер шығару. 3- жаттығу. №1. №2. №3
V. Қортындылау.
VІ. Бағалау.
VІІ. Үйге тапсырма :§4. 3- жаттығу. №4. Рымкевич: №50, № 52, №53.
9-сынып.
Сабақ тақырыбы: §5. Түзу сызықты теңайнымалы қозғалыс кезіндегі жылдамдық және орын ауыстыру.
Сабақ мақсаты:
1. Оқушыларға түзу сызықты теңайнымалы қозғалыс кезіндегі жылдамдық, орын ауыстыру туралы түсінік беру.
2. Оқушыларды өз бетімен ғылыми ой қорытындыларын жасай білуге жетелеу.
3. Жауапкершілікке, тиянақтылыққа, еңбекке баулу.
Керекті құрал-жабдықтар: компьютер, видеопроектор, слайдтар.
Сабақ түрі: аралас
Сабақ әдісі: баяндау, сұрақ-жауап.
Сабақ барысы:
І. Ұйымдастыру кезеңі.
ІІ. Оқушылардың үй тапсырмасын қалай меңгергендерін тексеру:
- Теңайнымалы қозғалыс деп қандай қозғалысты айтады?
- Теңайнымалы қозғалыс кезінде жылдамдық қалай өзгереді?
- Үдеу деген қандай физикалық шама?
- Үдеу дегеніміз қандай физикалық шама?
- Үдеу қандай формуламен өрнектеледі және өлшем бірлігі қанадй?
- Үдемелі қозғалыстың баяулайтын қозғалыстан айырмашылығы неде?
- Үдеумен қозғалатын дененің жыламдығы нөлге тең бола ала ма?
- Үдеу нөлге тең болғанда қозғалыс қандай сипат алады?
- Үйге берілген есептердің шығарылуын тексеру.
ІІІ. Жаңа сабақ.
формуласынан жылдамдықты табайық:
-бұл
бастапқы жылдамдығы бар, үдеуі оң таңбалы, яғни жылдамдығы артып отыратын қозғалыс теңдеуі.
Мұндай қозғалыстың графигі
Енді
бастапқы жылдамдығы нөлге тең, ал үдеу оң таңбалы болсын. Мұндай қозғалыс кезіндегі жылдамдық формуласы:
Мұндай қозғалыстың графигі
бастапқы жылдамдық нөлден өзгеше және таңбасы оң болсын. Бірақ үдеу теріс таңбалы, яғни жылдамдық кеміп отырады делік. Мұндай қозғалыс жылдамдығы
Мұндай қозғалыстың графигі
Түзу сызықты қозғалыстағы орын ауыстыру векторының модулі жүрілген жолмен сәйкес келеді.
Қозғалыстың басталу мына шартқа сәйкес келеді:
Осы кездегі жылдамдық графигі:
-теңүдемілі қозғалыс үшін. Ал теңбаяулайтын қозғалыс үшін
Ал бастапқы жылдамдығы нөлге тең болғанда
Үдеу, жылдамдық және жүрілген жол графиктері
Графиктерден бұл шамалардың бір-бірімен байланысты екенін көреміз.
ІV. Есептер шығару. 4- жаттығу. №5, №6, №7.
V. Қортындылау.
VІ. Бағалау.
VІІ. Үйге тапсырма :§5. 4- жаттығу. №1, №2, №3, №4.
9-сынып
Сабақ тақырыбы: §6. Дененің еркін түсуі. Еркін түсу үдеуі.
Сабақ мақсаты:
- Қозғалыс ұғымын қалыптастыруды жалғастыру. Дененің еркін түсуі, еркін түсу үдеуі туралы түсінік беру.
- Оқушылардың ғылыми дүниетанымын қалыптастыру.
- Жауапкершілікке, еңбексүйгіштікке тәрбиелеу.
Сабақ түрі: аралас
Сабақ әдісі: баяндау, сұрақ-жауап.
Сабаққа қажет құрал-жабдықтар: металл шарик, қағаз парағы, Ньютон түтікшесі.
Сабақ барысы:
І. Ұйымдастыру кезеңі.
ІІ. Үй тапсырмасы бойынша сұрақтар:
- Теңүдемелі қозғалыс жылдамдығы графигінің бірқалыпты қозғалыс графигінен айырмашылығы неде?
- Теңүдемелі қозғалыстағы дененің кез келген уақыт мезетіндегі жүрген жолын есептеп табу үшін нені білу керек?
- Теңүдемелі қозғалыс жолының формуласын қорытып шығарыңдар.
- Теңүдемелі қозғалыс жылдамдығы проекциясының графигі бойынша дененің орын ауыстыруы проекциясын қалай табуға болады?
- Үйге берілген есептердің шығарылуын тексеру.
ІІІ. Жаңа тақырып.
Ауасыз кеңістікте барлық денелер бірдей уақытта түседі
Бұл тұжырымды итальян ғалымы Галилео Галилей жасаған болатын
Ортаның кедергісі болмаған кездегі денелердің түсуі еркін түсу деп аталады.
Галилей өз ұйғарымын денелерді ауасыз кеңістікте түсіріп тексере алмады.
80 жылдан кейін Ньютон оны жүзеге асырды. . (Ньютон түтікшесімен тәжірибе көрсету) .
g-еркін түсу үдеуі.
g=9, 8 м/с 2 .
Белгілі бір h биіктіктегі дененің жерге қанша уақыттан кейін түсетінін және түскен сәтте оның жылдамдығы қандай болатынын есептеу қажет болсын. Бастапқы жылдамдық нольге тең. Дененің қозғалысын Жермен салыстырамыз. Дене төмен түсіп келе жатқанда төмен қарай бағытталған a=g үдеумен s=υ 0 t+at 2 /2 заңы бойынша вертикаль бойымен түзусызықты теңүдемелі қозғалады. Жолдың ұзындығын түсу басталған нүктеден, уақытты түсу басталған мезеттен есептейміз, ал төмен қарайғы бағытты оң бағыт ретінде аламыз.
Қозғалыс заңы s=gt 2 /2, v=gt, s=h. Осы теңдеулерден:
t=√2h/g, v=√2gh.
ІV. Пысықтау.
V. Есептер шығару.
Рымкевич есептер жинағынан №55, №56, № 57.
№1, №2, №3.
VІ. Қорытындылау.
VІІ. Бағалау.
VІІІ. Үйге тапсырма: §6. 5-жаттығу.
№ сабақ 9 -сынып . . .
9 -сынып . . .
Зертханалық жұмыс №1
Тақырыбы: Бірқалыптыі қозғалыс кезіндегі дененің үдеуін анықтау.
Жұмыстың мақсаты: көлбеу науамен домалайтын шардың үдеуін есептеу.
Сабақ мақсаты:
- Қозғалыс ұғымын қалыптастыруды жалғастыру. Дененің еркін түсуі, еркін түсу үдеуі туралы түсінік беру.
- Оқушылардың практикалық, ойлау дүниетанымын қалыптастыру.
3 Жауапкершілікке, еңбексүйгіштікке тәрбиелеу.
Сабақ түрі: зертханалық, аралас
Сабақ әдісі: , сұрақ-жауап.
Сабаққа қажет құрал-жабдықтар: металл шарик, қағаз парағы, Ньютон түтікшесі.
Сабақ барысы:
І. Ұйымдастыру кезеңі.
ІІ. Үй тапсырмасы бойынша сұрақтар:
- Бірқалыпты қозғалыс жылдамдығы графигінің бірқалыпты қозғалыс графигінен айырмашылығы неде?
- Бірқалыпты қозғалыстағы дененің кез келген уақыт мезетіндегі жүрген жолын есептеп табу үшін нені білу керек?
- Бірқалыпты қозғалыс жолының формуласын қорытып шығарыңдар.
- Бірқалыпты қозғалыс жылдамдығы проекциясының графигі бойынша дененің орын ауыстыруы проекциясын қалай табуға болады?
- Үйге берілген есептердің шығарылуын тексеру.
Аспаптар мен материалдар: өлшеуіш таспа, метраном, науа, шар, қысқышы бар тұрғы, металл цилиндр.
Жұмыстың орындау.
1. Тұрғы арқылы науаны көкжиекпен кішкене бұрыш жасайтындай етіп бекіту керек (33-сурет) . Науаның төменгі шетіне металл цилиндрді қоясыңдар.
2. Метроном дыбыс берген бойда шарды науаның жоғарғы басынан жіберіп, ол цилиндрге барып соғылғанға дейін метрономның неше рет соққанын санаңдар. Тәжірибе жүргізерде метраномды минутына 120 рет соғатын етіп қойыңдар.
3. Науаның көкжиекке көлбеулік бұрышын өзгерте отырып, шарды жіберген мезеттен бастап, оның цилиндрге барып соғылуына дейін метроном 4 рет соғатындай етуге болады.
4. Шардың қозғалыс уақытын есептеңдер.
5. Өлшеуіш таспаның көмегімен шардың s орын ауыстыруының ұзындығын табыңдар. Науаның көлбеулігін өзгертпей метрономның төртінші соғуы мен шардың металл цилиндрге соғылуы дәл келетіндей етіп алып, тәжірибені бес рет қайталау керек.
6.
формуласы бойынша орын ауыстыру модулінің орташа мәнін, ал содан соң үдеу модулінің орташа мәнін табыңдар:
7. Өлшеу және есептеу нәтижелерін кестеге жазыңдар:




Қорытындылау.
Үйге тапсырма. Қайталау
9-сынып.
Сабақ тақырыбы: §§7. 8. Қисықсызықты қозғалыс. Материялық нүктенің шеңбер бойымен бірқалыпты қозғалысы. Сызықтық және бұрыштық жылдамдықтар.
Сабақ мақсаты:
1. Оқушыларға қисық сызықты қозғалыс, қисық сызықты қозғалысты сипаттайтын шамалар туралы түсінік беру.
2. Оқушыларды өз бетімен ғылыми ой қорытындыларын жасай білуге жетелеу.
3. Жауапкершілікке, тиянақтылыққа, еңбекке баулу.
Керекті құрал-жабдықтар: компьютер, видеопроектор, слайдтар.
Сабақ түрі: аралас
Сабақ әдісі: баяндау, сұрақ-жауап.
Сабақ барысы:
І. Ұйымдастыру кезеңі.
ІІ. Оқушылардың үй тапсырмасын қалай меңгергендерін тексеру:
- Галилей еңбектерінің маңызы неде?
- Дененің еркін түсуі дегеніміз не?
- Дененің еркін түсуі қозғалыстың қай түріне жатады?
- Еркін түсу үдеуі қандай шама және оның сандық мәні неге тең?
- Ендікке байланысты еркін үдеуінің сандық мәні қалай өзгереді?
- Еркін түсу үдеуі дененің массасына байланысты бола ма?
- Еркін түсу үдеуі дененің жылдамдығына тәуелді бола ма?
- Оқушылардың есептерді қалай орындағандарын тексеру.
ІІІ. Жаңа сабақ.
Дененің қисық сызықты трактория бойымен қозғалысы қисықсызықты қозғалыс деп аталады.
Дененің қисықсызықты траекторияның кез келеген нүктесіндегі қозғалыс жылдамдығы траекторияның осы нүктесіне жүргізілген жанаманың бойымен бағытталады.
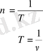
Нүктеің шеңбер бойымен бірқалыпты қозғалысын сипаттау үшін айналу периоды және айналу жиілігі деп аталатын шамалар енгізіледі.
Айналу периоды секундпен өлшенеді. Айналу жиілігі Гц-пен өлшенеді
Бұрыштық жылдамдық деп дененің бұрылу бұрышының осы бұрылуға кеткен уақытқа қатынасымен өлшенетін шаманы айтады.
Өлшем бірлігі
ІV. Пысықтау.
V. Есептер шығару.
6-жаттығу.
№1, №2, №3.
VІ. Қорытындылау.
VІІ. Бағалау. VІІІ. Үйге тапсырма. §7. §7. 5-ж. №4, №5, №6, №7.
9-сынып.
Сабақ тақырыбы: §9. Центрге тартқыш үдеу.
Сабақ мақсаты:
1. Қисық сызықты қозғалыс туралы ұғымды қалыптастыруды жалғастыру, центрге тартқыш үдеу туралы түсінік алуға жағдай жасау.
2. Оқушыларды өз бетімен ғылыми ой қорытындыларын жасай білуге жетелеу.
3. Жауапкершілікке, тиянақтылыққа, еңбекке баулу.
Керекті құрал-жабдықтар: компьютер, видеопроектор, слайдтар.
Сабақ түрі: аралас
Сабақ әдісі: баяндау, сұрақ-жауап.
Сабақ барысы:
І. Ұйымдастыру кезеңі.
ІІ. Оқушылардың үй тапсырмасын қалай меңгергендерін тексеру:
- Қисық сызықты қозғалыс деп қандай қозғалысты айтады?
- Айналу периоды дегеніміз не?
- Айналу жиілігі дегеніміз не?
- Шеңбер бойымен бірқалыпты қозғалыс дегеніміз не?
- Период пен жиілік арасында қандай байланыс бар?
- Бұрыштық жылдамдық деген не? Ол неге тең?
- Сызықтық жылдамдық деген не? Ол неге тең?
- Сызықтық жылдамдық пен бұрыштық жылдамдық арасында қандай байланыс бар?
- Берілген есептерді тексеру.
ІІІ. Жаңа сабақ.
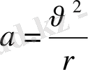
Шеңбер бойымен бірқалыпты қозғалатын дененің үдеуі шеңбердің кез келген нүктесінде радиус бойымен оның центріне қарай бағытталады. Сондықтан оны центрге тартқыш үдеу деп атайды.
ІV. Пысықтау.
- Модулі тұрақты жылдамдықпен шеңбер бойымен қозғалатын дененің үдеуі қалай бағытталған?
- Центрге тартқыш үдеу дегеніміз не?
- Неліктен центрге тартқыш үдеуді нормалыь үдеу деп атайды?
- Центрге тартқыш үдеудің формуласы қандай?
- Центрге тартқыш үдеуді айналу периоды арқылы қалай өрнектеуге болады?
- Центрге тартқыш үдеуді жиілік арқылы қалай өрнектеуге болады?
V. Есептер шығару.
7-жаттығу.
№1, №2, №3.
VІ. Қорытындылау.
VІІ. Бағалау. VІІІ. Үйге тапсырма. §9. №4, №5.
9-сынып.
Бақылау жұмысы.
Мақсаты:
- Оқушылардың «Кинематика» бөлімі бойынша алған білімдерін тексеру, тиянақтау, қорытындылау.
- Оқушылардың ғылыми дүниетанымын қалыптастыру.
- Жауапкершілікке, тиянақтылыққа, еңбекқорлыққа тәрбиелеу.
Сабақ барысы:
І. Ұйымдастыру кезеңі.
ІІ. Бақылау жұмысын орындау.
І нұсқа.
1. Хоккейші шайбаға 2 м/с жылдамдық бере отырып, жайлап клюшкамен соқты. Егер шайба мұзға үйкеліс нәтижесінде 0, 25 м/с 2 үдеумен қозғалса, соққыдан кейін 4 секунд өткеннен кейін шайбаның жылдамдығы қандай болады?
2. Велосипедші төбешіктен 5 секунд ішінде 0, 5 м/с 2 үдеумен қозғала отырып түсті. Егер велосипедшінің бастапқы түсу жылдамдығы 18 км/сағ-қа тең болса, төбешіктің ұзындығын анықтаңдар.
3. Биіктігі 80 см столдан еденге қарындаш құлап түсті. Қарындаштың құлау уақытын табыңдар. (g≈10 м/с 2 ) .
4. Автомобиль түзусызықты қозғалып келеді. Автомобильдің жылдамдық векторының проекциясының уақытқа тәуелділік теңдеуі: υ х =10+0, 5t. Автомобильдің бастапқы жылдамдығының модулі мен бағытын және үдеуін анықтаңдар. Жылдамдық проекциясының уақытқа тәуелділік графигін салыңдар.
ІІ нұсқа.
1. Шайбаны клюшкамен соғып қалғанда шайба 5м/с жылдамдық алып, мұз үстінде 1 м/с 2 сырғанайды. Шайбаның жылдамдық векторының уақытқа тәуелділік теңдеуін жазып, осы теңдеуге сәйкес график тұрғызыңдар.
2. Велосипедші тыныштық күйден 0, 2 м/с 2 үдеумен қозғалады. Қанша уақыттан кейін велосипедшінің жылдамдығы 2 м/с-қа тең болады?
3. Жердің өз осін айналу периоды 24 сағат. Жер бетіндегі нүктелердің айналуының бұрыштық жылдамдығы мен сызықтық жылдамдығын табыңдар. Жер радиусын 6400 км деп есептеңдер.
4. Дененің басапқы координаттары х 0 =-2 м және у 0 =4 м. Дене координаттары х=2 м және у =1 м нүктеге орын ауыстырады. Х және У осьтеріндегі орын ауыстыру векторының проекциясын табыңдар. Орын ауыстыру векторын салып оның модулін табыңдар.
ІІІ нұсқа.
- Алтыншы қабаттың терезесінен (h= 20 м) тасталған тас Жерге қанша уақытта жетеді? Жерге түскен сәттегі оның жылдамдығы қандай? (g=9, 8 м/с2) .
- Дене радиусы 50 м шеңбер доғасының бойымен қозғалады. Оның 10 с ішіндегі бұрылу бұрышы 1, 57 радианға тең екені белгілі. Дене қозғалысының сызықтық жылдамдығы мен жүрген жолын табыңдар.
- Автобус орнынан қозғалған сәтте-ақ 1, 5 м/с2тұрақыт үдеуге ие болды. Ол қанша уақыттан кейін 72 км/сағ жылдамдық алады?
- Уақыттың алғашқы мезетінде дене координаттары x0=-3 м және у0=5 м болатын нүктеде еді. Дене координаттары х =4 м және у =2 м нүктеге орын ауыстырды. Орын ауыстыру векторының х және у осьтеріндег проекцияларын табыңдар. Дененің орын ауыстыру векторын сызып, модулін табыңдар.
ІІІ. Бағалау.
ІV. Үйге тапсырма: қайталау.
9-СЫНЫП.
Сабақ тақырыбы: §10. Ньютонның бірінші заңы. Инерциялық санақ жүйесі.
Сабақ мақсаты: 1. Санақ денесі, санақ жүйесі, инерция, Ньютонның бірінші заңы туралы түсінік алуға жағдай жасау.
2. Оқушылардың ғылыми дүниетанымын қалыптастыру.
3. Жауапкершілікке, еңбекқорлыққа тәрбиелеу.
Сабақ түрі: аралас
Сабақ әдісі: баяндау, сұрақ-жауап
Сабақ барысы:
І. Ұйымдастыру кезеңі.
ІІ. Оқушылардың өткен тақырыпты қалай меңгергендерін тексеру:
1. Орташа жылдамдық дегеніміз не?
2. ? 3. Орташа жылдамдық пен лездік жылдамдық арасындағы ұқсастық пен айырмашылық неде?
4. Үйге берілген есептерді тексеру.
ІІІ. Жаңа сабақ.
Берілетін ұғымдар: санақ денесі, санақ жүйесі, Ньютонның бірінші заңы.
Қозғалмайтын деп қабылданған дене - санақ денесі деп аталады.
Санақ денесі, онымен байланысқан координат жүйесі мен синхрондалған сағаттар жиынтығы санақ жүйесі деп аталады.
Ньютонның бірінші заңы: егер денеге басқа денелер әсер етпесе, онда бұл дене түзусызықты және бірқалыпты қозғалады; оның жылдамдығы модулі бойынша да, бағыты бойынша да өзгермейді.
Инерция заңы орындалатын санақ жүйелері бар. Мұндай жүйелерді инерциялық санақ жүйелері деп аталады.
ІV. Пысықтау.
V. Есептер шығару.
№115. Автомобиль горизонталь тас жолмен двигателі сөндірілуі тұрғанда бір қалыпты қозғалыс жасай ала ма?(автомобиль жолдың горизонталь бөлігімен бірқалыпты қозғала алмайды, себебі оған басқа денелердің әсері теңгерілмейді. Автомобильге Жер (төмен қарай тартады), жол жабындысы (серпімді түрде жоғары итереді және горизонтальды қозғалысқа үйкеліспен кедергі жасайды), ауа (қозғалысқа әсер етеді) . Жердің тартуы және жолдың серпімді реакциясы вертикаль бойымен әсер ететін өзара теңгеріледі, горизонталь әсер ететін жол және ауа кедергісі теңгерілмейді.
№116. Итеру кезінде вагонға мыналар әсер етеді: бірін-бірі теңгеретін вертикаль бағыт бойынша Жердің тартылуы және рельс серпімді реакциясы, ал тепловоздың тартуы және рельске және ауаға үйкелуі горизонталь бағыт бойынша. Егер тепловоздың тартуы үйкелістен артып кетсе, вагонға әсер теңгерілмейді және ол үдеу бойынша қозғалады. Вагон кемімелі қозғалады.
№117, №118, №119 VІ. Қорытындылау. VІІ . Бағалау VІІІ. Үйге тапсырма: §1. 4, 4-жаттығулар.
9-сынып.
§§11. 12. Күш. Ньютонның екінші заңы.
Сабақ мақсаты:
- Денелердің өзарар әрекеттесуі туралы ұғымды қалыптастыруды жалғастыру, күш, күштердің түрлері, тең әрекетті күштер туралы түсінік алуға жағдай жасау.
- Оқушыларды өз беттерімен ғылыми ой қорытындыларын жасай алуға жетелеу, ғылыми дүниетанымын қалыптастыру.
- Жауапкершілікке, еңбекқорлыққа, тиянақтылыққа тәрбиелеу.
Сабақ түрі: аралас
Сабақ әдісі: баяндау, сұрақ-жауап.
Сабақ барысы:
І. Ұйымдастыру кезеңі.
ІІ. Оқушылардың үй тапсырмасын қалай меңгергендерін тексеру.
Берілетін сұрақтар:
- Қандай санақ жүйесі инерциалық деп аталады?
- Жермен байланысқан санақ жүйесі инерциялық жүйеге жата ма?
- Ньютонның бірінші заңын дәлелдейтін мысалдар келтіріңдер.
- Қандай санақ жүйесі инерциялық емес санақ жүйесіне жатады?
ІІІ. Жаңа түсінік беру.
Ауырлық күші деп денелердің Жерге тартылу күшін айтады. Бұл күш әрекетінен денелер Жерге құлайды. Дененің ауырлық күші әрекетінен ғана қозғалуын еркін түсу деп атайды.
Серпімділік күші дененің пішіні мен көлемі өзгерген кезде пайда болатын күшті айтады. Бұл күш денелерді қысу, созу, майыстыру немесе бұрау кезінде пайда болады.
Гук заңы: │F c │=k∆ℓ
- Іс жүргізу
- Автоматтандыру, Техника
- Алғашқы әскери дайындық
- Астрономия
- Ауыл шаруашылығы
- Банк ісі
- Бизнесті бағалау
- Биология
- Бухгалтерлік іс
- Валеология
- Ветеринария
- География
- Геология, Геофизика, Геодезия
- Дін
- Ет, сүт, шарап өнімдері
- Жалпы тарих
- Жер кадастрі, Жылжымайтын мүлік
- Журналистика
- Информатика
- Кеден ісі
- Маркетинг
- Математика, Геометрия
- Медицина
- Мемлекеттік басқару
- Менеджмент
- Мұнай, Газ
- Мұрағат ісі
- Мәдениеттану
- ОБЖ (Основы безопасности жизнедеятельности)
- Педагогика
- Полиграфия
- Психология
- Салық
- Саясаттану
- Сақтандыру
- Сертификаттау, стандарттау
- Социология, Демография
- Спорт
- Статистика
- Тілтану, Филология
- Тарихи тұлғалар
- Тау-кен ісі
- Транспорт
- Туризм
- Физика
- Философия
- Халықаралық қатынастар
- Химия
- Экология, Қоршаған ортаны қорғау
- Экономика
- Экономикалық география
- Электротехника
- Қазақстан тарихы
- Қаржы
- Құрылыс
- Құқық, Криминалистика
- Әдебиет
- Өнер, музыка
- Өнеркәсіп, Өндіріс
Қазақ тілінде жазылған рефераттар, курстық жұмыстар, дипломдық жұмыстар бойынша біздің қор #1 болып табылады.

Ақпарат
Қосымша
Email: info@stud.kz