Сызықтық программалау есептері. Көп айнымалы үшін оңтайландыру шарты


л-Фараби атындағы Қазақ ұлттық университеті
Ақпараттық технологиялар факультеті
5B070200, Автоматтандыру және басқару мамандығы
Пән Операцияларды зерттеу
Сызықтық программалау есептерін канондық, стандартты және жалпы түрлеріне айналдыру жолдарын жазыңыздар
(30 балл)
Ойындар теориясы. Негізгі ұғымдары Ойындарды топтастыру
(30 балл)
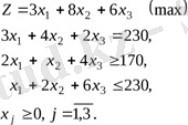
Симлекс кестені пайдаланып төмендегі есептерді шығарыңыздар
(40 балл)
М. О.

әл-Фараби атындағы Қазақ ұлттық университеті
Ақпараттық технологиялар факультеті
5B070200, Автоматтандыру және басқару мамандығы
Пән Операцияларды зерттеу
Тасымалдау есебін ең кіші элемент (ең кіші құн) әдісімен шығару жолын келтіріңіздер
(30 балл)
Дөңес функциялардың қасиеттерін жазыңыздар
(30 балл)
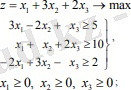
Симлекс кестені пайдаланып төмендегі есептерді шығарыңыздар
(40 балл)
М. О.

әл-Фараби атындағы Қазақ ұлттық университеті
Ақпараттық технологиялар факультеті
5B070200, Автоматтандыру және басқару мамандығы
Пән Операцияларды зерттеу
Сызықтық программалаудың есебінің қойылуын және сызықтық программалаудың жалпы және негізгі есептерін сипаттап беріңіздер
(30 балл)
Көп айнымалы үшін оңтайландыру шарты. Көп айнымалы үшін төңіректік оңтайландырудың қажетті шартын жазыңыздар
(30 балл)
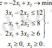
Симлекс кестені пайдаланып төмендегі есептерді шығарыңыздар
(40 балл)
М. О.

әл-Фараби атындағы Қазақ ұлттық университеті
Ақпараттық технологиялар факультеті
5B070200, Автоматтандыру және басқару мамандығы
Пән Операцияларды зерттеу
Сызықтық программалау есебінің канондық және негізгі түрде берілуін, сызықтық программалау есебінің жалпы түрде берілуін жазып көрсетіңіздер
(30 балл)
Сызықтық емес программалау есебінің қойылымын сипаттаңыздар
(30 балл)
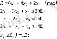
Симлекс кестені пайдаланып төмендегі есептерді шығарыңыздар
(40 балл)
М. О.

әл-Фараби атындағы Қазақ ұлттық университеті
Ақпараттық технологиялар факультеті
5B070200, Автоматтандыру және басқару мамандығы
Пән Операцияларды зерттеу
Экономикалық-математикалық модель. Экономикалық-математикалық модельдеудің кезеңдерін келтіріңіздер. Экономикалық-математикалық модельдерді құру алгоритмін жазыңыздар
(30 балл)
Көп айнымалы үшін оңтайландыру шарты. Көп айнымалы үшін төңіректік оңтайландырудың қажетті шартын жазыңыздар
(30 балл)
Төмендегі есептерді Жасанады базис әдісімен шешіңіздер
(40 балл)
М. О.

әл-Фараби атындағы Қазақ ұлттық университеті
Ақпараттық технологиялар факультеті
5B070200, Автоматтандыру және басқару мамандығы
Пән Операцияларды зерттеу
Амалдардың моделі мен тиімділігі. Оңтайландыру есептерінің жалпы түрде қойылуын анықтап беріңіздер
(30 балл)
Дөңес функциялардың дифференциалдық, экстремалдық қасиеттерін келтіріңіздер
(30 балл)
Симлекс кестені пайдаланып төмендегі есептерді шығарыңыздар
(40 балл)
М. О.

81997

әл-Фараби атындағы Қазақ ұлттық университеті
Ақпараттық технологиялар факультеті
5B070200, Автоматтандыру және басқару мамандығы
Пән Операцияларды зерттеу
Сызықтық программалау есебін симплекс әдісімен шығару алгоритмін жазыңыздар
(30 балл)
Дөңес функциялардың қасиеттерін жазыңыздар
(30 балл)
Симлекс кестені пайдаланып төмендегі есептерді шығарыңыздар
(40 балл)
М. О.

81997

әл-Фараби атындағы Қазақ ұлттық университеті
Ақпараттық технологиялар факультеті
5B070200, Автоматтандыру және басқару мамандығы
Пән Операцияларды зерттеу
Сызықтық программалау есептерін жасанды базис әдісімен шешу алгоритмін жазыңыздар
(30 балл)
Шартты оңтайландыру есебі. Төңіректің оңтайландырудың шарттарын беріңіздер
(30 балл)
Симлекс кестені пайдаланып төмендегі есептерді шығарыңыздар:
(40 балл)
М. О.

81997

әл-Фараби атындағы Қазақ ұлттық университеті
Ақпараттық технологиялар факультеті
5B070200, Автоматтандыру және басқару мамандығы
Пән Операцияларды зерттеу
Тасымалдау есебінің базистік шешімінің тиімділік критериін сипаттаңыздар
(30 балл)
Матрицалық ойындар анықтамаларын келтіріңіздер
(30 балл)
Төмендегі есептерді Жасанады базис әдісімен шешіңіздер
(40 балл)
М. О.

81997

әл-Фараби атындағы Қазақ ұлттық университеті
Ақпараттық технологиялар факультеті
5B070200, Автоматтандыру және басқару мамандығы
Пән Операцияларды зерттеу
Берілген сызықтық программалау есебіне қосжақты есепті құру алгоритмін жазыңыздар
(30 балл)
Шартсыз оңтайландыру есебін шығару жолын келтіріңіздер
(30 балл)
Симлекс кестені пайдаланып төмендегі есептерді шығарыңыздар
(40 балл)
М. О.

81997

әл-Фараби атындағы Қазақ ұлттық университеті
Ақпараттық технологиялар факультеті
5B070200, Автоматтандыру және басқару мамандығы
Пән Операцияларды зерттеу
Берілген сызықтық программалау есебіне қосжақты есепті құру алгоритмін жазыңыздар
(30 балл)
Көп айнымалы үшін оңтайландыру шарты. Көп айнымалы үшін төңіректік оңтайландырудың жеткілікті шарты. Сильвестр критериін қолданып экстремум табуды сипаттаңыздар
(30 балл)
Симлекс кестені пайдаланып төмендегі есептерді шығарыңыздар
(40 балл)
М. О.

81997

әл-Фараби атындағы Қазақ ұлттық университеті
Ақпараттық технологиялар факультеті
5B070200, Автоматтандыру және басқару мамандығы
Пән Операцияларды зерттеу
Сызықтық программалау есебін симплекс кесте құру әдіспен шығару алгоритмін сипаттаңыздар
(30 балл)
Жабық модельдегі тасымалдау есебін шығару алгоритмін жазыңыздар
(30 балл)
Симлекс кестені пайдаланып төмендегі есептерді шығарыңыздар
(40 балл)
М. О.

81997

әл-Фараби атындағы Қазақ ұлттық университеті
Ақпараттық технологиялар факультеті
5B070200, Автоматтандыру және басқару мамандығы
Пән Операцияларды зерттеу
Сызықтық программалаудың қосжақты есептерінің құрылымы және олардың қасиеттерін келтіріңіздер
(30 балл)
Бір айнымалы үшін оңтайландыру шарты. Бір айнымалы үшін төңіректік және ауқымды экстремум нүктелерін анықтау алгоритмін жазыңыздар
(30 балл)
Симлекс кестені пайдаланып төмендегі есептерді шығарыңыздар
(40 балл)
М. О.

81997

әл-Фараби атындағы Қазақ ұлттық университеті
Ақпараттық технологиялар факультеті
5B070200, Автоматтандыру және басқару мамандығы
Пән Операцияларды зерттеу
Берілген сызықтық программалау есебіне қосжақты есепті құру алгоритмін жазыңыздар
(30 балл)
Көп айнымалы үшін оңтайландыру шарты. Көп айнымалы үшін төңіректік оңтайландырудың қажетті шартын жазыңыздар
(30 балл)
Симлекс кестені пайдаланып төмендегі есептерді шығарыңыздар
(40 балл)
М. О.

81997

әл-Фараби атындағы Қазақ ұлттық университеті
Ақпараттық технологиялар факультеті
5B070200, Автоматтандыру және басқару мамандығы
Пән Операцияларды зерттеу
Операцияларды зерттеудің ұғымдары, принциптері мен операцияларды зерттеудің негізгі кезеңдерін сипаттаңыздар
(30 балл)
Көп айнымалы үшін оңтайландыру шарты. Көп айнымалы үшін төңіректік оңтайландырудың жеткілікті шарты. Сильвестр критериін қолданып экстремум табуды сипаттаңыздар
(30 балл)
Төмендегі есептерді Жасанады базис әдісімен шешіңіздер
(40 балл)
М. О.

81997

әл-Фараби атындағы Қазақ ұлттық университеті
Ақпараттық технологиялар факультеті
5B070200, Автоматтандыру және басқару мамандығы
Пән Операцияларды зерттеу
Сызықтық программалау есебінің геометриялық интерпретациясы. Сызықтық программалау есебін графикалық әдіспен шығаруды қарастырыңыздар
(30 балл)
Дөңес функциялардың дифференциалдық, экстремалдық қасиеттерін келтіріңіздер
(30 балл)
Төмендегі есептерді Жасанады базис әдісімен шешіңіздер
(40 балл)
М. О.

81997

әл-Фараби атындағы Қазақ ұлттық университеті
Ақпараттық технологиялар факультеті
5B070200, Автоматтандыру және басқару мамандығы
Пән Операцияларды зерттеу
Қосжақтылықтың негізгі теоремалары. Өзара қосжақты есептердің шешімінің тиімділігінің қажетті және жеткілікті шарттарын жазыңыздар
(30 балл)
Ойындар теориясы. Негізгі ұғымдары Ойындарды топтастыру
(30 балл)
Симлекс кестені пайдаланып төмендегі есептерді шығарыңыздар
(40 балл)
М. О.

81997

әл-Фараби атындағы Қазақ ұлттық университеті
Ақпараттық технологиялар факультеті
5B070200, Автоматтандыру және басқару мамандығы
Пән Операцияларды зерттеу
Операцияларды зерттеудің ұғымдары, принциптері мен операцияларды зерттеудің негізгі кезеңдерін сипаттаңыздар
(30 балл)
Тасымалдау есебін үлестірімділік әдісімен шығару жолын сипаттаңыздар
(30 балл)
Төмендегі есептерді Жасанады базис әдісімен шешіңіздер
(40 балл)
М. О.

81997

әл-Фараби атындағы Қазақ ұлттық университеті
Ақпараттық технологиялар факультеті
5B070200, Автоматтандыру және басқару мамандығы
Пән Операцияларды зерттеу
Тасымалдау есебінің базистік шешімінің тиімділік критериін сипаттаңыздар
(30 балл)
Матрицалық ойындар анықтамаларын келтіріңіздер
(30 балл)
Төмендегі есептерді Жасанады базис әдісімен шешіңіздер
(40 балл)
М. О.

81997

әл-Фараби атындағы Қазақ ұлттық университеті
Ақпараттық технологиялар факультеті
5B070200, Автоматтандыру және басқару мамандығы
Пән Операцияларды зерттеу
Экономикадағы тасымалдау моделдері. Тасымалдау есебінің қойылуы және оның математикалық моделі туралы түсініктеріңізді жазыңыздар
(30 балл)
Сызықтық емес программалау есебінің графикалық шығарылуы жолын сипаттаңыздар
(30 балл)
Симлекс кестені пайдаланып төмендегі есептерді шығарыңыздар
(40 балл)
М. О.

81997

әл-Фараби атындағы Қазақ ұлттық университеті
Ақпараттық технологиялар факультеті
5B070200, Автоматтандыру және басқару мамандығы
Пән Операцияларды зерттеу
Сызықтық программалаудың қосжақты есептерінің құрылымы және олардың қасиеттерін келтіріңіздер
(30 балл)
Сызықтық емес программалау әдістерін жіктеуді қарастырыңыздар
(30 балл)
Төмендегі есептерді Жасанады базис әдісімен шешіңіздер
(40 балл)
М. О.

81997

әл-Фараби атындағы Қазақ ұлттық университеті
Ақпараттық технологиялар факультеті
5B070200, Автоматтандыру және басқару мамандығы
Пән Операцияларды зерттеу
Сызықтық программалау есебін симплекс әдісімен шығару алгоритмін жазыңыздар
(30 балл)
Шартсыз оңтайландыру есебін шығару жолын келтіріңіздер
(30 балл)
Төмендегі есептерді Жасанады базис әдісімен шешіңіздер
(40 балл)
М. О.

81997

әл-Фараби атындағы Қазақ ұлттық университеті
Ақпараттық технологиялар факультеті
5B070200, Автоматтандыру және басқару мамандығы
Пән Операцияларды зерттеу
Экономикадағы тасымалдау моделдері. Тасымалдау есебінің қойылуы және оның математикалық моделі туралы түсініктеріңізді жазыңыздар
(30 балл)
Ашық модельдегі тасымалдау есебін шығару алгоритмін жазыңыздар
(30 балл)
Симлекс кестені пайдаланып төмендегі есептерді шығарыңыздар
(40 балл)
М. О.

81997

әл-Фараби атындағы Қазақ ұлттық университеті
Ақпараттық технологиялар факультеті
5B070200, Автоматтандыру және басқару мамандығы
Пән Операцияларды зерттеу
Тасымалдау есебін ең кіші элемент (ең кіші құн) әдісімен шығару жолын келтіріңіздер
(30 балл)
Дөңес программалау модельдері. Бағыт бойынша туынды және градиент анықтамаларын беріңіздер
(30 балл)
Симлекс кестені пайдаланып төмендегі есептерді шығарыңыздар
(40 балл)
М. О.

81997

әл-Фараби атындағы Қазақ ұлттық университеті
Ақпараттық технологиялар факультеті
5B070200, Автоматтандыру және басқару мамандығы
Пән Операцияларды зерттеу
Сызықтық программалаудың қосжақты есептерінің құрылымы және олардың қасиеттерін келтіріңіздер
(30 балл)
Көп айнымалы үшін оңтайландыру шарты. Көп айнымалы үшін төңіректік оңтайландырудың жеткілікті шарты. Сильвестр критериін қолданып экстремум табуды сипаттаңыздар
(30 балл)
Төмендегі есептерді Жасанады базис әдісімен шешіңіздер
(40 балл)
М. О.

81997

әл-Фараби атындағы Қазақ ұлттық университеті
Ақпараттық технологиялар факультеті
5B070200, Автоматтандыру және басқару мамандығы
Пән Операцияларды зерттеу
Амалдардың моделі мен тиімділігі. Оңтайландыру есептерінің жалпы түрде қойылуын анықтап беріңіздер
(30 балл)
Ашық модельдегі тасымалдау есебін шығару алгоритмін жазыңыздар
(30 балл)
Симлекс кестені пайдаланып төмендегі есептерді шығарыңыздар
(40 балл)
М. О.

81997

әл-Фараби атындағы Қазақ ұлттық университеті
Ақпараттық технологиялар факультеті
5B070200, Автоматтандыру және басқару мамандығы
Пән Операцияларды зерттеу
Тасымалдау есебін ең кіші элемент (ең кіші құн) әдісімен шығару жолын келтіріңіздер
(30 балл)
Сызықтық емес программалау есебінің қойылымын сипаттаңыздар
(30 балл)
Симлекс кестені пайдаланып төмендегі есептерді шығарыңыздар
(40 балл)
М. О.

81997

әл-Фараби атындағы Қазақ ұлттық университеті
Ақпараттық технологиялар факультеті
5B070200, Автоматтандыру және басқару мамандығы
Пән Операцияларды зерттеу
Сызықтық программалау есептерін жасанды базис әдісімен шешу алгоритмін жазыңыздар
(30 балл)
Шартсыз оңтайландыру есебін шығару жолын келтіріңіздер
(30 балл)
Симлекс кестені пайдаланып төмендегі есептерді шығарыңыздар
(40 балл)
М. О.

81997

әл-Фараби атындағы Қазақ ұлттық университеті
Ақпараттық технологиялар факультеті
5B070200, Автоматтандыру және басқару мамандығы
Пән Операцияларды зерттеу
Сызықтық программалау есебін симплекс кесте құру әдіспен шығару алгоритмін сипаттаңыздар
(30 балл)
Сызықтық емес программалау есебінің графикалық шығарылуы жолын сипаттаңыздар
(30 балл)
Төмендегі есептерді Жасанады базис әдісімен шешіңіздер
(40 балл)
М. О.

81997

әл-Фараби атындағы Қазақ ұлттық университеті
Ақпараттық технологиялар факультеті
5B070200, Автоматтандыру және басқару мамандығы
Пән Операцияларды зерттеу
Сызықтық программалау есебінің канондық және негізгі түрде берілуін, сызықтық программалау есебінің жалпы түрде берілуін жазып көрсетіңіздер
(30 балл)
Сызықтық емес программалау есебінің графикалық шығарылуы жолын сипаттаңыздар
(30 балл)
Төмендегі есептерді Жасанады базис әдісімен шешіңіздер
(40 балл)
М. О.

81997

әл-Фараби атындағы Қазақ ұлттық университеті
Ақпараттық технологиялар факультеті
5B070200, Автоматтандыру және басқару мамандығы
Пән Операцияларды зерттеу
Тасымалдау есебін ең кіші элемент (ең кіші құн) әдісімен шығару жолын келтіріңіздер
(30 балл)
Тасымалдау есебін шығарудың потенциалдар әдісімен шығару жолын жазыңыздар
(30 балл)
Симлекс кестені пайдаланып төмендегі есептерді шығарыңыздар
(40 балл)
М. О.

81997

әл-Фараби атындағы Қазақ ұлттық университеті
Ақпараттық технологиялар факультеті
5B070200, Автоматтандыру және басқару мамандығы
Пән Операцияларды зерттеу
Сызықтық программалаудың есебінің қойылуын және сызықтық программалаудың жалпы және негізгі есептерін сипаттап беріңіздер
(30 балл)
Тасымалдау есебін шығарудың потенциалдар әдісімен шығару жолын жазыңыздар
(30 балл)
Төмендегі есептерді Жасанады базис әдісімен шешіңіздер
(40 балл)
М. О.

81997

әл-Фараби атындағы Қазақ ұлттық университеті
Ақпараттық технологиялар факультеті
5B070200, Автоматтандыру және басқару мамандығы
Пән Операцияларды зерттеу
Математикалық модельді құру. Модельдер түрлері. Модельдеу принциптері. Модельді қарапайымдау туралы түсініктеріңізді жазыңыздар
(30 балл)
Жабық модельдегі тасымалдау есебін шығару алгоритмін жазыңыздар
(30 балл)
Симлекс кестені пайдаланып төмендегі есептерді шығарыңыздар:
(40 балл)
М. О.

81997

әл-Фараби атындағы Қазақ ұлттық университеті
Ақпараттық технологиялар факультеті
5B070200, Автоматтандыру және басқару мамандығы
Пән Операцияларды зерттеу
Экономикадағы тасымалдау моделдері. Жабық модельдегі тасымалдау есебін шешу алгоритмін жазыңыздар
(30 балл)
Ойындар теориясы. Негізгі ұғымдары Ойындарды топтастыру
(30 балл)
Төмендегі есептерді Жасанады базис әдісімен шешіңіздер
(40 балл)
М. О.

81997

әл-Фараби атындағы Қазақ ұлттық университеті
Ақпараттық технологиялар факультеті
5B070200, Автоматтандыру және басқару мамандығы
Пән Операцияларды зерттеу
Тасымалдау есебінің бастапқы тірек шешімін табудың "Солтүстік-батыс" бұрыш әдісін сипаттап беріңіздер
(30 балл)
Көп айнымалы үшін оңтайландыру шарты. Көп айнымалы үшін төңіректік оңтайландырудың жеткілікті шарты. Сильвестр критериін қолданып экстремум табуды сипаттаңыздар
(30 балл)
Төмендегі есептерді Жасанады базис әдісімен шешіңіздер
(40 балл)
М. О.

81997

әл-Фараби атындағы Қазақ ұлттық университеті
Ақпараттық технологиялар факультеті
5B070200, Автоматтандыру және басқару мамандығы
Пән Операцияларды зерттеу
Сызықтық программалау есебінің геометриялық интерпретациясы. Сызықтық программалау есебін графикалық әдіспен шығаруды қарастырыңыздар
(30 балл)
Дөңес функциялардың дифференциалдық, экстремалдық қасиеттерін келтіріңіздер
(30 балл)
Симлекс кестені пайдаланып төмендегі есептерді шығарыңыздар
(40 балл)
М. О.

81997

әл-Фараби атындағы Қазақ ұлттық университеті
Ақпараттық технологиялар факультеті
5B070200, Автоматтандыру және басқару мамандығы
Пән Операцияларды зерттеу
Экономикадағы тасымалдау моделдері. Тасымалдау есебінің қойылуы және оның математикалық моделі туралы түсініктеріңізді жазыңыздар
(30 балл)
Дөңес функциялардың дифференциалдық, экстремалдық қасиеттерін келтіріңіздер
(30 балл)
Симлекс кестені пайдаланып төмендегі есептерді шығарыңыздар
(40 балл)
М. О.

81997

әл-Фараби атындағы Қазақ ұлттық университеті
Ақпараттық технологиялар факультеті
5B070200, Автоматтандыру және басқару мамандығы
Пән Операцияларды зерттеу
Сызықтық программалаудың есебінің қойылуын және сызықтық программалаудың жалпы және негізгі есептерін сипаттап беріңіздер
(30 балл)
Дөңес функциялардың қасиеттерін жазыңыздар
(30 балл)
Төмендегі есептерді Жасанады базис әдісімен шешіңіздер
(40 балл)
М. О.

81997

әл-Фараби атындағы Қазақ ұлттық университеті
Ақпараттық технологиялар факультеті
5B070200, Автоматтандыру және басқару мамандығы
Пән Операцияларды зерттеу
Сызықтық программалаудың қосжақты есептерінің құрылымы және олардың қасиеттерін келтіріңіздер
(30 балл)
Тасымалдау есебін үлестірімділік әдісімен шығару жолын сипаттаңыздар
(30 балл)
Төмендегі есептерді Жасанады базис әдісімен шешіңіздер
(40 балл)
М. О.

81997

әл-Фараби атындағы Қазақ ұлттық университеті
Ақпараттық технологиялар факультеті
5B070200, Автоматтандыру және басқару мамандығы
Пән Операцияларды зерттеу
Математикалық модельді құру. Модельдер түрлері. Модельдеу принциптері. Модельді қарапайымдау туралы түсініктеріңізді жазыңыздар
(30 балл)
Оңтайландырудың классикалық әдістерін жазыңыздар
(30 балл)
Симлекс кестені пайдаланып төмендегі есептерді шығарыңыздар
(40 балл)
М. О.

81997

әл-Фараби атындағы Қазақ ұлттық университеті
Ақпараттық технологиялар факультеті
5B070200, Автоматтандыру және басқару мамандығы
Пән Операцияларды зерттеу
Экономикадағы тасымалдау моделдері. Жабық модельдегі тасымалдау есебін шешу алгоритмін жазыңыздар
(30 балл)
Бір айнымалы үшін оңтайландыру шарты. Бір айнымалы үшін төңіректік және ауқымды экстремум нүктелерін анықтау алгоритмін жазыңыздар
(30 балл)
Төмендегі есептерді Жасанады базис әдісімен шешіңіздер
(40 балл)
М. О.

81997

әл-Фараби атындағы Қазақ ұлттық университеті
Ақпараттық технологиялар факультеті
5B070200, Автоматтандыру және басқару мамандығы
Пән Операцияларды зерттеу
Сызықтық программалау есептерін жасанды базис әдісімен шешу алгоритмін жазыңыздар
(30 балл)
Жабық модельдегі тасымалдау есебін шығару алгоритмін жазыңыздар
(30 балл)
Симлекс кестені пайдаланып төмендегі есептерді шығарыңыздар:
(40 балл)
М. О.

81997

әл-Фараби атындағы Қазақ ұлттық университеті
Ақпараттық технологиялар факультеті
5B070200, Автоматтандыру және басқару мамандығы
Пән Операцияларды зерттеу
Сызықтық программалаудың есебінің қойылуын және сызықтық программалаудың жалпы және негізгі есептерін сипаттап беріңіздер
(30 балл)
Сызықтық емес программалау есебінің қойылымын сипаттаңыздар
(30 балл)
Симлекс кестені пайдаланып төмендегі есептерді шығарыңыздар:
(40 балл)
М. О.

81997

әл-Фараби атындағы Қазақ ұлттық университеті
Ақпараттық технологиялар факультеті
5B070200, Автоматтандыру және басқару мамандығы
Пән Операцияларды зерттеу
Сызықтық программалаудың есебінің қойылуын және сызықтық программалаудың жалпы және негізгі есептерін сипаттап беріңіздер
(30 балл)
Шартты оңтайландыру есебі. Төңіректің оңтайландырудың шарттарын беріңіздер
(30 балл)
Симлекс кестені пайдаланып төмендегі есептерді шығарыңыздар
(40 балл)
М. О.

81997

әл-Фараби атындағы Қазақ ұлттық университеті
Ақпараттық технологиялар факультеті
5B070200, Автоматтандыру және басқару мамандығы
Пән Операцияларды зерттеу
Қосжақтылықтың негізгі теоремалары. Өзара қосжақты есептердің шешімінің тиімділігінің қажетті және жеткілікті шарттарын жазыңыздар
(30 балл)
Ойындар теориясы. Негізгі ұғымдары Ойындарды топтастыру
(30 балл)
Симлекс кестені пайдаланып төмендегі есептерді шығарыңыздар
(40 балл)
М. О.

81997

әл-Фараби атындағы Қазақ ұлттық университеті
Ақпараттық технологиялар факультеті
5B070200, Автоматтандыру және басқару мамандығы
Пән Операцияларды зерттеу
Сызықтық программалау есебінің геометриялық интерпретациясы. Сызықтық программалау есебін графикалық әдіспен шығаруды қарастырыңыздар
(30 балл)
Бір айнымалы үшін оңтайландыру шарты. Бір айнымалы үшін төңіректік және ауқымды экстремум нүктелерін анықтау алгоритмін жазыңыздар
(30 балл)
Симлекс кестені пайдаланып төмендегі есептерді шығарыңыздар
(40 балл)
М. О.

81997

әл-Фараби атындағы Қазақ ұлттық университеті
Ақпараттық технологиялар факультеті
5B070200, Автоматтандыру және басқару мамандығы
Пән Операцияларды зерттеу
Тасымалдау есебінің бастапқы тірек шешімін табудың "Солтүстік-батыс" бұрыш әдісін сипаттап беріңіздер
(30 балл)
Көп айнымалы үшін оңтайландыру шарты. Көп айнымалы үшін төңіректік оңтайландырудың жеткілікті шарты. Сильвестр критериін қолданып экстремум табуды сипаттаңыздар
(30 балл)
Төмендегі есептерді Жасанады базис әдісімен шешіңіздер
(40 балл)
М. О.

81997

әл-Фараби атындағы Қазақ ұлттық университеті
Ақпараттық технологиялар факультеті
5B070200, Автоматтандыру және басқару мамандығы
Пән Операцияларды зерттеу
... жалғасы- Іс жүргізу
- Автоматтандыру, Техника
- Алғашқы әскери дайындық
- Астрономия
- Ауыл шаруашылығы
- Банк ісі
- Бизнесті бағалау
- Биология
- Бухгалтерлік іс
- Валеология
- Ветеринария
- География
- Геология, Геофизика, Геодезия
- Дін
- Ет, сүт, шарап өнімдері
- Жалпы тарих
- Жер кадастрі, Жылжымайтын мүлік
- Журналистика
- Информатика
- Кеден ісі
- Маркетинг
- Математика, Геометрия
- Медицина
- Мемлекеттік басқару
- Менеджмент
- Мұнай, Газ
- Мұрағат ісі
- Мәдениеттану
- ОБЖ (Основы безопасности жизнедеятельности)
- Педагогика
- Полиграфия
- Психология
- Салық
- Саясаттану
- Сақтандыру
- Сертификаттау, стандарттау
- Социология, Демография
- Спорт
- Статистика
- Тілтану, Филология
- Тарихи тұлғалар
- Тау-кен ісі
- Транспорт
- Туризм
- Физика
- Философия
- Халықаралық қатынастар
- Химия
- Экология, Қоршаған ортаны қорғау
- Экономика
- Экономикалық география
- Электротехника
- Қазақстан тарихы
- Қаржы
- Құрылыс
- Құқық, Криминалистика
- Әдебиет
- Өнер, музыка
- Өнеркәсіп, Өндіріс
Қазақ тілінде жазылған рефераттар, курстық жұмыстар, дипломдық жұмыстар бойынша біздің қор #1 болып табылады.

Ақпарат
Қосымша
Email: info@stud.kz