Атмосферадағы максималды қоспа концентрациясын және заттардың суммация эффектісімен анықтау


Қазақстан Республикасының білім және ғылым министрлігі Ғ. Дәукеев атындағы Алматы энергетика және байланыс университеті
Коммерциялық емес акционерлік қоғамы «Инженерлік экология және еңбек қауіпсіздігі» кафедрасы
№1 СЕМЕСТРЛІК ЖҰМЫС
Пәні: Климаттың өзгеруі және жасыл экономика
Тақырып:
Мамандығы: Өмір тіршілігінің қауіпсіздігі және қоршаған ортаны қорғау
Орындаған: Атантаев А. А.
Тобы: БЖДк -18-1
Тексерген: аға оқытушы Бекмуратова Н.
«___» 2020_ж
(бағасы)
Алматы, 2020
Мазмұны
Кіріспе . . . … . . . . . . …. . 3
Тапсырмалар . . . … . . . . . . 4
Берілгені . . . …… . . . … . . . ……. …. 4
Атмосферадағы максималды қоспа концентрациясын және заттардың суммация эффектісімен анықтау. …… . . . . . . …… . . . …5
Максималды концентрацияның таралу аралығын анықтау . . . 6
Әр түрлі аралықтағы жердік концентрацияны анықтап және L 0 -ді табу керек……… . . . . . . … . . . …. … . . . 7
Станцияның санитарлы қорғаныс зонасын анықтау . . . … . . . 10
«Роза желдері» және санитарлы-қорғаныс зонасын тұрғызу … . . . 11
Қорытынды . . . … . . . 15
Қолданылған әдебиеттер . . . 16
Кіріспе
Адам денсаулығы мен қоршаған ортаға химиялық, биологиялық немесе физикалық әсерін тигізетін өнеркәсіп кәсіпорындары немесе басқа объектілер үшін санитарлық сақтау белдемі міндетті түрде олардың құрамына кіретін компонентке жатады. Санитарлы қорғаныс зонасы - атмосфераны ластайтын кәсіпорындарды елді мекеннен бөліп тұратын, міндетті түрде ағаш егілген, зиянды заттектер қауіпсіздік деңгейге дейін таралатын және арнайы гигиеналық талаптар орындалатын аумақ.
Қоршаған ортаны қорғау жүйесінде, әсіресе атмосферада санитарлы қорғаныс зонасы үлкен рөл атқарады. Санитарлы қорғаныс зонасының территориясында негізгі өндіріске қарағанда зияндылығы төмен классқа жататын объектілерді орналастыруға рұқсат етіледі. Өндірістің атмосферасының ластануы айналадағы тұрғындарға әсерін максималды түрде азайту үшін санитарлы қорғаныс зоналарында ағаштар отырғызылады.
Қазақстанның ірі қалалары мен аймақтары үшін атмосферада химиялық зиянды қоспалардың ішінен ең көп тарағаны - күкірт қос тотығы. Зерттеулердің көрсетулері қалалардағы атмосфераның ластануы өкпе ауруының таралуымен байланыстылығын айтады.
Қазақстан қалаларында ауа ластануының сипатына өте үлкен көңіл бөлу керек.
Экологиялық проблемаларына келетін болсақ, Солтүстік Қазақстан экономикалық ауданындағы негізгі атмосфераны ластаушы көздерге - табиғи қазба байлықтарды өндірумен шұғылданатын кәсіпорындар мен қаладағы жылу қуатымен қамтамасыз ететін орталықтар және автокөлік жатады. Қоршаған ортаға үлкен залал келтіретіндер өндірістік және тұрмыстық қалдықтар мен күл қоқыстарыда айтарлықтай зиянын тигізуде. Үлкен көлемде жиналып қалған қалдықтар қоршаған ортаға зиянын тигізіп қана коймай, адамдардың өмір сүруіне үлкен қауіп тудырады. Соңғы жылдары бұл кәсіпорындарда экологиялық нормаларды сақтау үшін коршаған ортаны корғауға арналған іс-шаралар жүргізілуде. Көптеген кәсіпорындар қоршаған ортаға зиянды заттарды шығармайтын жаңа технологияларды қолданып өндіріс күшін арттыруда. Өндірістік қалдықтарды қайтадан қолдану экономикалық және экологиялық жағынан да тиімді.
Петропавл еліміздегі ірі өнеркәсіп орталығының бірі. Қалада 174 кәсіпорын орналасқан. Оның ішінде ірі кәсіпорындарға “Еуразия”, “Вита”, “Молочный союз” АІ-тары, нан комбинаты, “Сұлтан”, “Тонус” т. б. жатады. Қала бюджеті қаржысының 10%-н шағын бизнес береді. Саудада еңбекпен қамтылғандардың үлесі 47, 8%, өндірістік салада 17, 4%, оның ішінде құрылыста 6, 6% болды, 35 кәсіпорын ауыл шаруашылығы өнімдерін өңдейді. Қалада 110 шағын құрылыс кәсіпорны, 49 көлік және байланыс кәсіпорындары жұмыс істейді.
Тапсырма:
- Атмосферадағы максималды қоспа концентрациясын және заттарды суммация эффектісімен анықтау;
- Максималды концентрацияның таралу аралығын анықтау;
- Әр түрлі аралықтағы жердік концентрацияны анықтап және Lo-ді табу керек;
- Станцияның cанитарлы-қорғаныс зонасын анықтау;
- «Роза желдері» және санитарлы-қорғаныс зонасын тұрғызу қажет;
- Жұмысқа қорытынды және талдау жасау керек.
Берілгені:
Түтіндік құбыр арқылы ауада таралған электр станциясының айналасындағы зиянды қоспалардың жерлін концентрациясын есептеу.
Станция айналасындағы ластанған аймақты анықтау керек. Бастапқы деректер 1. 1 және 1. 2 - кестелерде келтірілген.
1. 1Кесте - Бастапқы деректер.
1. 2. Кесте - Жел бағытының орташа жылдағы қайталануының (Р) мәні, %
Берілген
қала
Солт.
Шығыс
Оңтүст.
Шығыс
Оңтүст.
Батыс
Солт.
Батыс
2) Атмосферадағы максималды қоспа концентрациясын және заттардың суммация эффектісімен анықтау
Орындалу реті:
Зиянды заттардың жердегі концентрациясының максималды мәнін анықтау керек.
Атмосферада қоспалардың сейілу процесі көптеген факторларға тәуелді, оларға: атмосфераның жағдайы, шаңның көздері, шығарылған заттардың массасы, аймақтық рельф және т. б. әсер етеді.
Зиянды заттардың жердегі концентрациясының максималды мәні мына формуламен анықталады:
(1. 1)
мұнда - стратификациялық температураның коэффиценті, Қазақстан үшін A=200;
M - уақыт бірлігінде шығарылытын зиянды заттардың массасы, г/с;
F - заттарға сіңудің жылдамдығын анықтайтын коэффицент;
F=1 газ тәріздес заттарға тазартылған шығарылымдардың орташа эксплутациялық коэффиценті 90% - болғанда 2, ал 75-90% - 2. 5, 75% және
тазарту болмағанда 3 - ке тең.
- аймақтық рельф коэффиценті, =1 жазықтық үшін;
- көздің биіктігі, м;
m және n коэффиценттерінің мәндері f, Vm, V’m және fe параметрлеріне тәуелді анықталады.
= гв - ос, = 200-23=177°С
f=1000 =1000 =2, 48 (1. 2)
Қыздырылған көздерге арналған газды ауа қоспасының жылдамдығы:
V₁= = `
V m =0. 65 =0. 65 (1. 3)
V’ m =1. 3 1. 3 (1. 4)
f e =800 (V ’ m ) ³ =800 (1, 83) ³ =4902, 79 (1. 5)
m-коэффициенті f тәуелділік формуласымен анықталады. (m-трубадан шыққан газды ауа қоспасының ескерту коэфициенті)
m = = = 0, 77 кг (1. 6)
f - жылу көзінің температурасын анықтайды, f<100 болса бұл көз қыздырылған көз деп саналады.
f<100 кезінде п коэффициенті V m тәуелділігі арқылы формуламен анықталынады
n= 1 (1. 8)
Максималды концентрацияның таралу аралығын анықтау
Көздерден шығарылған заттардың аралығы X m (м) жердегі концентрациясы С(мг/м³) жағымсыз жағдай кезеңінде метрологиялық шарттағы мәні См, мына формуламен анықталады:
(1. 11)
Мұнда өлшемсіз коэфициент d, егер f<100 және
болғанда, келесі формула анықталады:
d = 7 d= 7 = 24, 18 (1. 14)
Зиянды заттардың жердегі концентрациясының максималды мәнін анықтаймыз:
SO2 үшін:
=
= 1, 28 мг/м
3
яғни ШРК х =0, 5мг/м 3
Х MSO2 = *24, 18*80= 1209 м
Күл үшін:
=
C МК = = 0, 75 мг/м 3
яғни ШРК х =0, 5мг/м 3
Х MК = *24, 18*80= 1209 м
NOₓ үшін:
C MNOX = = 0, 07 мг/м 3
яғни ШРК NO2 =0, 085мг/м 3
Х MNOX = *24, 18*80= 1209 м
Әр түрлі аралықтағы жердік концентрацияны анықтап және L 0 -ді табу керек.
Флюгер деңгейіндеқауіпті жылдамдықтың мәні Um (м/с) (жер деңгейінен 10 м биіктікте) болғанда См зиянды заттардың жердегі концентрациясына жеткенде және f<100 болса олар келесі формулалар арқылы анықталады:
Um= Vm (1+0, 12 ) Vm > 2кезінде. (1. 20)
Um= 6. 28(1+0, 12 ) = 7. 46 м/с
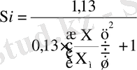
Желдің қауіпті жылдамдығында Um зиянды қоспаларының жердегі концентрациясы C(мг/м³), атмосферада факел осі бойынша шығарылым көздерінен әр түрлі аралықтағы қоспасы мына формулалар арқылы анықтайды:
(1. 21)
Мұндағы Si-өлшемсіз коэфициент. Ол Х/Xм қатынасы және F коэфициенті бойынша анықталады:
s 1 =1, 13/(0, 13*(x/x m ) 2 +1) 1 <x/x m ≤8 (1. 21а)
, 1< Х/Х
м
≤8 болғанда; (1. 21б)
SO 2 жерлік концентрациясы:
Атмосферадағы SO 2 максималды концентрациясының сызбасы
NOₓжерлік концентрациясы:
Күлдің жерлік концентрациясы :
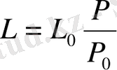
Кәсіпорындағы санитарлы - қорғаныс зона (СҚЗ) шекарасын мына формуламен анықталады:
(1. 24)
Мұндағы L(м) - СҚЗ есептік өлшемі.
L0(м) - белгілі жердегі жергілікті аймақты есептейтін өлшем, мұнда заттардың концентрациясы (басқа көздердің фонды концентрациясының есептегенде) ШРК-дан асады.
P(%) - бұл қарастырылған румбтағы орташа жылдағы жел бағытының қайталануы;
P0(%) - Роза желдерінің шеңберіндегі бір румбтағы жел бағытының қайталануы, яғни
P 0 =100/8=12, 5%.
L 0 (SO2) =4473, 3 L 0 (NOₓ) =14508 L 0 (Күл) =6045
=4473, 3*17/12. 5=6083, 688
=4473, 3*16/12. 5=5725, 824
=4473, 3*11/12. 5=3936, 504
=4473, 3*8/12. 5=2862, 912
=4473, 3*6/12. 5=2147, 184
=4473, 3*13/12. 5=4652, 232
=4473, 3*12/12. 5=4294, 368
=4473, 3*17/12. 5=6083, 688
=14508*17/12. 5=19730, 88
=14508*16/12. 5=18570, 24
=14508*11/12. 5=12767, 04
=14508*8/12. 5=9285, 12
=14508*6/12. 5=6963, 84
=14508*13/12. 5=15088, 332
=14508*12/12. 5=13927, 68
=14508*17/12. 5=19730, 88
=6045*17/12. 5=8221, 2
=6045*16/12. 5=7737, 6
=6045*11/12. 5=5319, 6
=6045*8/12. 5=3868, 8
=6045*6/12. 5=2901, 6
=6045*13/12. 5=6286, 8
=6045*12/12. 5=5803, 2
=6045*17/12. 5=8221, 2
Роза желдері үшін:
... жалғасы- Іс жүргізу
- Автоматтандыру, Техника
- Алғашқы әскери дайындық
- Астрономия
- Ауыл шаруашылығы
- Банк ісі
- Бизнесті бағалау
- Биология
- Бухгалтерлік іс
- Валеология
- Ветеринария
- География
- Геология, Геофизика, Геодезия
- Дін
- Ет, сүт, шарап өнімдері
- Жалпы тарих
- Жер кадастрі, Жылжымайтын мүлік
- Журналистика
- Информатика
- Кеден ісі
- Маркетинг
- Математика, Геометрия
- Медицина
- Мемлекеттік басқару
- Менеджмент
- Мұнай, Газ
- Мұрағат ісі
- Мәдениеттану
- ОБЖ (Основы безопасности жизнедеятельности)
- Педагогика
- Полиграфия
- Психология
- Салық
- Саясаттану
- Сақтандыру
- Сертификаттау, стандарттау
- Социология, Демография
- Спорт
- Статистика
- Тілтану, Филология
- Тарихи тұлғалар
- Тау-кен ісі
- Транспорт
- Туризм
- Физика
- Философия
- Халықаралық қатынастар
- Химия
- Экология, Қоршаған ортаны қорғау
- Экономика
- Экономикалық география
- Электротехника
- Қазақстан тарихы
- Қаржы
- Құрылыс
- Құқық, Криминалистика
- Әдебиет
- Өнер, музыка
- Өнеркәсіп, Өндіріс
Қазақ тілінде жазылған рефераттар, курстық жұмыстар, дипломдық жұмыстар бойынша біздің қор #1 болып табылады.

Ақпарат
Қосымша
Email: info@stud.kz