Майқайын кен орны жағдайында жер асты кенішінің электрлі механикалық бөлімінің жобасын жасау


АҢДАТПА
Дипломды жоба «Майқайын кен орны жағдайында жер асты кенішінің электрлі механикалық бөлімінің жобасын жасау» тақырыбына орындалған.
Жобада Майқайын кен орнын қазудың тау-кен техникалық жағдайында қазу және тазалау, кеніштік тасымалдау және көтеру, су шөкпе, жалпы шахталық желдету, тау-кен жұмыстарын сығылған ауамен және электр энергиясымен қамтамасыз ету жұмыстарына арналған есептеу және жабдықтарды таңдау жүзеге асырылған.
Барлық бөлім бойынша техникалық-экономикалық көрсеткіштерді есептеулер жүргізілген және еңбекті қорғау, өнеркәсәптік санитария және техника қауіпсіздікі бойынша шаралар қаростырылған.
Жобаның арнайы бөлімінде поршенді компрессордың реттеу процесі баяндалады.
АННОТАЦИЯ
Дипломный проект выполненна тему «Разработка проекта электромеханической части подземного рудника в условиях Майкаинского месторождения».
В проекте на базе горно - технических условий разработки Майкаинского месторождения осуществлены расчеты и выбор оборудования для проходческих и очистных работ, руднического транспорта и подъема, водоотлива, оющешахтного проветривания, снабжения горных работ сжатым воздухом и электроэнергией.
По всем разделам произведены расчеты техно - экономических показателей и предусмотрены мероприятия по охране труда, промышленной санитарии и те6хнике безопасности.
Специальная часть проекта описывает процесс регулирования поршневого компрессора.
ANNOTATION
Qualification project is concerned with theтe «Elaboration of a project of electro technical part of underground тine in conditions of Тaykain layer.
Calculations and choice of equipтent for тauntain pass and ratification works, тining transport and lift, water-off and ventilation, providing of тining works with the help of coтpressed gas and electro energy has been тade in the project on the basis of Тayrain layer.
A special part of a project destribes the process of operation of piston coтpressor.
Calculation of technico - econoтical indexes has been тade and the тeasures on safeguarding of labour, industrial sanitation and technical security has also been foreseen.
КІРІСПЕ
Қазіргі уақыттағы кеніштік шахталар жоғары өнімділікті, техникалық жетілдірілген шетел жабдықтарымен, соның ішінде өзі жүретін бұрғылау қондырғыларымен жинайтын және тиейтін жеткізуші машиналармен, ірі су төкпе агрегаттарымен және басқаларымен жарақталған.
Осы техникалалды пайданалудың техникалық -экономикалық пәрменділігі оны, техникалық сауатты пайдалануды және мамандандырылған жөндеуді ұйымдастыруға тікелей байланысты болады.
Алдыңғы қатарлы техника кен қазу қарқындылыған, еңбек өнімділігін аттыруда және кен қазып алу құнын төмендетуде кең жол ашады.
Бұл дипломдық жобада есептеу Майқайын кен орнына сәйкес ең ыңғайлы жабдықтар пайдаланылды.
ТАЛДАУ БӨЛІМ
Кен орнын қазу бойынша негізгі жобалық техникалық шешім тұтас алғанда бекітілген негізділген материалдар мен технологиялық уақыт тәртібіне сәйкес келеді.
Кен орны «Центральная» шахтасының оқиандарымен аршылады - негізгісі скиптік оқпан. Бос жыныстық және клеттік көтеру желдетуші оқпан бойынша жүргізіледі.
Кен қорларын қазып алу үшін этаж аралың штректері бар этаждық қазу жүйесі қабылданады.
Тау-кен қазбаларын қазу және тазалау жұмыстары өзі жүретін жабдықтарды қолдану арқылы жүзеге асырылады.
Кеніштік көлік бұл электровозды көлік. Руда К-10 электровоздарымен Г-2, 2 вагонкаларымен тасымалданады.
Горизонтта айналмалы тасымалдау жүйесі қабылданған.
Сығылған ауамен қамтамасыз ету «Центральная» шахтасының компрессорлық станциясынан жүзеге асырылады. Ауамен жабдықтау магистральды желісі горизонт бойынша жұмысшы блоктарға таратылып қойылған.
Кенішті желдету флангалық әдңспен жүзеге асырылады. Желдету тәсілі сөруші тәсіл.
Су шөкпе барлық горизонттардан төменгі су жинағышқа суды жиберіп, одан бас су төкпе қондырғысы жер бетіне айдап шығаратын сұлба бойынша жүзеге асырылады. Қалыпты су келімі 190 м 3 / сағ, ал ең үлкен су келім 240 м 3 /сағ құрайды.
Насостық камера ЦНС - 300х1170 насостарымен жабдықталады.
Кенішті электр энергиясымен қамтамасыз ету жер бетіндегі бас мөмендеткіш аролық станция арқылы жүзеге асырылады.
Қазіргі істеп тұрған жер асты кенішінің электромеханикалың қызмет жұмысына жасалған анализ негізінде мына нәрселер анықталды. Кеніштің «осая жері» бұл көтеру жұмысының жеткіліксіз өнімділігі, сол үшін бас магистральды қазбалар бойынша тасымалда құралы ретінде конструкциясы жақсартылған электровоздарды пайданалуды қарастыру қажет.
- ТАУ-КЕН БӨЛІМ
Кен орнын қазуды жер асты немесе ашық тәсілмен жүргзуді салыстыру әдісімен анықтаймыз.
Шектік аршу коэффициентін табамыз
, (1)
мұндағы С п -3500 тг/т -руданы жер асты тәсілмен қазып алудың өзіндік құны; С 0 =2000 тг/т- руданы ашық тәсілмен қазып алудың өзіндік құны; С в = 1500 тг/т -аршу жұмыстарының өзіндік құны.
П. И. Городецкий формуласы бойынша карьнрдің экономикалық тереңдігін табамыз
(2)
мұндағы т орт - руда денесінің орташа қалындағы, м; ctgβ β , ctgβα - карьер борттарының қиябет бұрыштары, град.
Руда денесінің жоғарғы шекарасы жер бетінен 230 м тереңдікте орналасқан, ал карьердің экономикалық тереңдігі 12 м, осыдан көрініп тұрғандай бұл кен орнына жер асты қазу тәсілін пайдаланған дұрыс болып табылады.
1. 1 Кеніштің негізгі параметрлерін анықтау
Кенішті жобалау кезінде ең негізгі мәселелердің бірі бұл кеніштің оңтайлы параметрлерін анықтау болып табылады.
Кеніштің жылдық өнімділігін табамыз
А
ж
=
16
т/жыл, (3)
мұндағы К 1 =1, 2 - руда денесінің құлау бұрышына байланысты коэффициент; К 2 =1 - руда денесінің қалыңдығына байланысты коэффициент; К ш - руданы шығар коэффициенті; К р =0, 08 - қазу тәсілне байланысты құнарсыздан коэффициенті, v ж = 16м - тау- кен жұмысының жылдық төмен түсуі; S r =L пр ·т орт = 1280·10=12800 м 2 , (4)
мұндағы L пр =1280 м - созылым бойынша руда денесінің ұзынды т орт =10 м- руда денесінің орташа қалындығы.
Руданы шығару коэффициенті
К ш =1-К п =1-0, 2=0, 8, (5)
мұндағы К п - қазу жүйесіне байланысты руданың жоғалым коэффициенті.
Руданың балансты қорларын табамыз
Q б =L пр · L пад · т орт ·γ=1280·761·10·3, 5=34092800т. (6)
мұндағы L пад - руда денесінің құлау ұзындығы, м,
L
пад
=
м, (7)
мұндағы Н р - руда денесінің жату тереңдігі, м; γ- массивтегі руда тығыздығы, т/м 3 ; Һ н - руда үстіндегі шөгіндігің (наностың) және жыныс қыртысының биіктігі, м; α- руда денесінің құлау бұрышы, град.
Шығаралатын қорларды табамыз
t
нег
=
=39, 6≈
40 жыл. (8)
Кеніштің толық қызмет жасау мерзімі
Т=t д +t нег +t з =3+40+2=45 жыл, (9)
мұндағы t д -кәсіпорының жобалық қуатына шығуға дейінгі даму мерзімі (3-5 жыл) ; t з - кеніштің тоқтау мерзімі (2-4 жыл)
t д және t з мәндерінің аздарын қабылдаймыз, себебі кеніштің жылдық өнімділігі А ж =1, 5 млн. т/жыл аз. 0.
1. 1. 1 Бір уақытта тазалап қазып алуда болатын блоктар санын анықтау
Кеніштің жылдық өнімділігі тазалап қазып алу шебінің шамасы бойынша тазалау жұмыстарының даму жағдайларына сүйене отырып анықталады
А
ж
=
586 425 т/жыл, (10)
мұндағы К рез - блоктардың резервтік коэффициенті; Р б - блоктың орташа айлық өнімділігі, т/ай; К 0 - кеніш бойынша жалпы қазып алудағы тазалау жұмыстары кезіндегі руданы қазып алудың меншікті салмағын ескеретін коэффициент;
n 0 - тазалап қазудағы бір уақытта жұмыс істейтін блоктар саны
n
0=
(11)
Тазалау блоктарын былай бөлеміз:
2 горизонтта- 3 блок
3 горизонтта - 3 блок
4 горизонтта - 3 блок.
1. 2 Кен орнын ашу тәсілін таңдау
Ортамен тік құламалы кен орны үшін руда денесін ашу вариантарын қарастырамыз:
Жатпа бүйір жағынан және этаждық квершлагтармен тік шахтаның оқпанмен ашу. Артықшылықтары: оқпанның жылжу аймағынан тыс жерде орналасуы, оны жүргізуге және күтіп ұстауға кететін шығынның аздағы. Кемшіліктері көлбеу оқпанмен ашуға қарағанда квершлагтардың ұзындығының үлкенділігі. Жатпа бүйір жағынан және толтық квершлагтармен тік шахталық ақпанмен ашу. Артықшылақтары: бұл тәсіл кезінде бірінші варианттағы ашу тәсілінің артықшылықтары кіреді, сонымен қатар тасымалда ұзындығы қысқарып су төкпе мен руданы көтеру орталықтандырынады.
Кемшіліктері: жоғары горизонттардан руданы қайта түсіруге байланысты басқа ашу тәсілдерімен салыстырғанда көтеруге кететін шығынның біршама артуы.
Руда денесімен қиылысатын тік оқпанмен ашу. Қосымша ақпандар шахта алабының екі жақ шетінде орналасқан. Артықшылықтары: квершлагтар ұзындығының аздығы, руданы тасу ұзындығының қысқаруы.
Кемшіліктері: қорғаушы кен тірегінде пайдалы қазба жоғалымының көптігі.
Жатпа бүйірде көлбеу шахталық оқпанмен ашу. Артықшылықтары: квершлагтар ұзындығының аздығы, тасымалдау ұзындығының аздығы.
Кемшіліктері: көлбеу оқпанды жүргізуге және оны күтіп ұстауға байланысты жұлқалатын шығынның көптігі.
Осы қарастырылған ашу тәсілдерінің ішінен біздің жағдайға ең қолайлысары бұл жатпа бүйір жақтан және этаждың квершлагтармен және жатпа бүйір жақтан және топтпнған квершлагтармен тік шахталық оқпанмен ашу тәсілдері болып табылады.
Ары қарай осы екі тәсілді салыстырамыз.
Келтірілген шығындарды есептеу
Кен орнының жатпа бүйір жағынан және этаждық квершлагтармен тік оқпанмен ашу тәсілі. Кен орнының жатпа бүйір жағынан және топтық квершлагтармен тік шахталық оқпанмен ашу тәсілі. Күрделі шығындар
Негізгі оқпанды жүргізу құны
К
о. ст
(1, 2)
= (Н
р
+Һ
3
) S
0
К
пр. ст
= (980+30)
87 500=3399х 10
6
тг., (12)
Мұндағы S 0 - диаметр -7 м болғанда негізгі оқпанның көлденең қимасының ауданы;
К пр. ст - негізгі оқпанның 1 м 3 (жүргізу) өту құны - 87500 тг/м 3 ;
Н р = 980 - руда денесінің жату тереңдігі;
Һ з = 30 м - змфтық (шахта түбінде су жиналатын шұңқырдың) тереңдігі.
Желдетуші оқпандарды (жүргізу) өту құны
К
в
(1)
= К
в
(2)
= n
в
· Н
в
· S
в
· К
пр. в
= 2 ·980
6= 2307·10
6
тг, (13)
Мұндағы К в (1) , К в (2) = 1 және 2 тәсіл кезінде желдетуші оқпандарды өту (жүргізу) құны,
S в - Диаметрі =5 м болатын желдетуші оқпанның көлденең қимасының ауданы;
N в = 2 - желдетуші оқпандар саны.
Квершлагтарды жүргізу құны
К
в
(1)
=
S
кв
· К
пр. кв
= 5420·12, 5·14000=948·10
6
тг; (14)
К
кв
(2)
=
S
кв
· К
пр. кв
= 1980·12, 5·14000=346·10
6
тг.
Мұндағы
және
= 1және 2 ашу тәсілі кезіндегі тасып шығару квершлагтардың қосынды (жалпы) ұзындығы;
S кв - квершлагтардың қимасының ауданы, м 2 ;
К пр. кв - квершлагтың 1 м 3 жүргізу (өту) құны-14000 тг/м 3
Жер үстіндегі ғимараттармен құрылыстар құрылысының құны
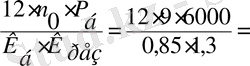
Д (1) =Д (2) =9, 2+3, 24·А r =9, 2+3, 24·75=11, 6·10 6 тг. (15)
Пайдалану шығындары
Негізгі оқпанды күтіп ұстау құны
С о. ст (1) = С о. ст (2) = (Н р +h 3 ) Т·С п = (980+30) Т·21000=954, 45·10 6 тг, (15)
мұндағы С п - бір жылдағы негізгі оқпанның 1 м күтіп ұстау құны -21000 тг. м/жыл
Қосалқы оқпандарды күтіп ұстау құны
С всп (1) =С всп (2) = п в ·Н р ·Т·С пв = 9·980·45·15000=1323·10 6 тг. (16)
мұндағы С п. в - қосалқы оқпанның 1 м күтіп ұстау құны, - 15000 тг. м/жыл
Квершлагтарды күтіп ұстау құны
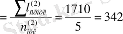
С кв (1) =l ср (91) ·t э ·С кв = 338·3·12000=12·10 6 тг. (17)
мұндағы l ср (91) - 1 варианттағы ашу тәсіліндегі квершлагтардың орташа ұзындығы.
Сурет-Жатпа бүйір жағынан және топтық квершлагтармен тік оқпанмен ашу тәсілінің сұлбасы
L
ср
(1)
=
, (18)
t э - бір этаждың жұмыс істеп өту уақыты
t
э
=
3 жыл, (19)
С кв (2) =l ср (2) · t э · C кв =330·3·12000=11·10 6 тг. , (20)
мұндағы l ср (2) - 2 варианттағы ашу тәсілі кезіндегі квершлагтардың орташа ұзындығы
L ср (2) =
м, (21)
С кв - бір жылдағы квершлагттың 1 м күтіп ұстау құны, - 1200 тг. м/жыл
Руданы квершлог бойынша тасып шығару құны
С от (1) =l ср. отк (1) · Q ш · С тр =344·297·0, 03=306, 5·10 6 тг, (22)
мұндағы l ср отк (1) - 1 тәсіл кезіндегі шығару квершлагтарының орташа ұзындығы
L ср отк (1)
м, (23)
С
от
(2)
=
· Q
ш
·С
тр
= 344·297·0, 03=304, 7·10
6
тг,
L
ср. отк
(2)
м,
С тр - 1 т руданы квершлагтың 1 м тасып шығару құны, -0, 03 тг/т. м
Руданы оқпанмен көтеру құны
С
под
(1)
= Н
под
(1)
·. Q
ш
·С
под
= (280+
) 297·0, 3=5613·10
6
тг, (24)
мұндағы Н под (1) - 1тәсіл кезіндегі орташа көтеру биіктігі, м;
С
под
(2)
=Н
под
(2)
·Q
ш
· с
под
= (310+
) 297·0, 3=5880·10
6
тг,
мұндағы Н под (2) - 2 тәсіл кезіндегі орташа көтеру биіктігі, м;
С под = 0, 3- 1 т руданы оқпанмен 1 м- ге көтеру құны, тг/тм.
Жер бетіндегі ғимараттар мен құрылыстарды күтіп ұстау құны
Е (1) =Е (2) = (0, 06=0, 046А r ) Т=(0, 06+0, 046·75) 45=4, 2 ·10 6 тг. (25)
Кемтірілген күрделі шығындарды табамыз
К
з
(1)
=
=8887 тг/т, (26)
мұндағы
- 1 ашу кезіндегі күрделі шығындар қосындысы, тг,
К
з
(2)
=
тг/т,
мұндағы
-2 ашу тәсілі кезіндегі күрделі шығындар қосындысы, тг.
Келтірілген пайдалану шығындарды табамыз
С
э
(1)
=
=276, 53 т, (27)
С
э
(2)
=
=285, 5 т,
мұндағы
және
- 1 және 2 ашу тәсілі кезіндегі пайдалану шығындары косындысы.
Жалпы келтірілген шығындар.
У = С э + Е н . К з , (28)
У (1) = 276, 53+0, 13 ·8887=1431 тг/т,
У (2) =285, 5+0, 13 ·8084=1336 тг/т,
мұндағы Е н - күрделі қаржы бөлу пәрменділігінің нормативтік коэффициенті.
У 1 >У 2 болғандықтан екінші ашу тәсілін, яғни кен орнынын жатап бүйір жағынан және топтық квершлагтармен тиік шахталық оқпанмен ашу тәсілін қабылдаймыз.
Негізгі руда көтергіш оқпанды салу орнын тандау
Негізгі руда көтергіш оқпанды салу орнын проф. П. П. Соболевскийдің графикалық әдісімен анықтаймыз.
Руда денесін созылым бойынша блоктарға бөліп әрқайсысынын көлемін есептейміз
Q 1 =L пад1 . т 1 . L пр1 . γ=750·10·400·3, 5=10, 5·10 6 ;
Q 2 = L пад2 ·т 2 ·L пр2 . γ= 680·8·310·3, 5=5, 9·10 6 ; (29)
Q 3 =L пад3 . т 3 . L пр 3 . γ=690·9·290·3, 5=6, 3·10 6 ;
Q 4 =L пад 4 . т 4 . L пр4 . γ=30·7·280·3, 5=4, 3·10 6 ;
мұндағы L пад 1, 2, 3, 4 -1, 2, 3 және 4 блоктардың құлама ұзындықтар,
т 1, 2, 3, 4 -1, 2, 3, және 4 блоктардың қалындықтары, м,
L пр1, 2, 3, 4 -1, 2, 3 және 4 блоктардың созылым бойынша ұзындықтары, м, γ- массивтегі руданын тығыздағы, т/м 3 .
Ары қарай проф. П. П. Соболевскийдің методикасына сәйкес қажетті тұрғызуды жүргіземіз, одан параболаның ең төменгі түсу нүктесі бойынша оқпанды салу орнан анықтаймыз, бұд орын руда денесінен сол жақ қапталынан 580 м қашықтықта орналасады.
Дайындау тәсілін жөндеу
Руда денесінің жату жағдайына негізге ала отырып дайындау тәсілі екі бос жыныстық (бейкендік) штрихтермен жүзеге асырылады. Бұл кезде тік құлама кен орнынан жатпа бүйерінде 8-10 м қашықтықта бос жыныстық штрихті өтеді, ал руда денесінен 20-30м қашықтықта екінші бос жыныстық тасып шығару штрегі жүргізіліп оларды әр бір 100-200 м сайын блоктармен қосады. Тиеу штрегі әр бір 10м сайын траншеялық -бұрғылау штректермен созылым бойынша тиеу ортарымен (камералармен) бөліп отырады. Бос жыныстық штрихтермен дайындау тәсілі штрек үстіндегі кен тіректердегі жоғалынды болдырмайды.
2- сурет. Оқпанды салу орнын проф. П. П. Соболевскийдің графикалық әдісімен анықтау.
Сурет. Оқпанды салу орнын проф. П. П. Соболевскийдің графикалық әдісімен анық
Қазу жүйесін таңдау
Руданы этаж аралық штректерден қоларып уататын қазу жүйесін таңдаймыз.
Бұл қазу жүйесінің мәні этаждық тәсілмен дайындалған кенді жеке қазу блоктарына бөледі, ондағы кен қорын камералармен қазып алып отырады. Тазалуы алу жұмысын камералар мен камера аралық кен тіректер шекарасында тілме өрлемені тілме (кескіш) саңылауға кеңейтуден бастайды. Терең скважиналарды бұрғылауды этаж аралық штректерден өзі жүретін бұрғынау машиналар көмегімен жүзеге асырамыз. Отырылған руда өзінің салмағы әсерімен тиеуші кірме шабанына түсіп, онда шиеп- жеткізуші машиналармен кен құдыққа жеткізіліп отырады. Қазылып алынған кеңістік қалдырылған камера аралық кен тіректермен ұсталып тұрады.
Техникалық- экономикалық көрсеткіштер: руда жоғалымы 18-20% және одан сәл жоғары; құнарсыздану 8-10%; забойлық жұмысшының еңбек өнімділігі 60- 80 т/смена; 1000т рудаға келетін дайындаушы тілме қазбалар көлемі 12-16 м; қопарғыш заттың (ҚЗ) (меншікті) үлестік шығыны 0, 4-0, 5 кг/т.
2. ТАУ-КЕН ҮҢГІЛЕУ ЖӘНЕ ТАЗАЛАУ ЖҰМЫСТАРЫН МЕХАНИКАЛАНДЫРУ ҚҰРАЛДАРЫН ТАҢДАУ ЖӘНЕ ЕСЕПТЕУ
Үңгілеу және тазалап алу комплекстерінің машиналарын таңдау
Пайдалы қазбаны жер аты тәсілмен механикаландырып қазып алу технологиялық процесі мындай операциялардан тұрады: кен массивінен руданы болу, забойда оны жеткізіп беруші құралға тиеу, тиеу- аударып тиеу пунктіне жеткізу, төбені бекіту және басқару.
Осы опрецияларды тау- кен өнеркәсібінде орындау үшін жекелнген машиналар, сол сияқты олардың комплекстері қолданылады.
Тазала забойында қазып алудың негізгі және қосалқы операцияларын орындайтын басты параметрлерімен өз ара байланысқан құрандалған комплектісі қазып алу комплексі деп аталады.
Комплекстің негізгі машиналарына бұрғылау машиналары, тиеп жеткізу машиналары, зарядтау және бекітуге арналған машиналар жатуы мүмкін.
Қосанқы машиналарға қазылып алынған кеңістікті ұстап тұру машиналары, жолды төсеу және жөндеу машиналары, жолдарға қызмет көрсету машиналары, негізгі технологиялық жабдықтарды жөндеу және оларға қызмет көрсету машиналары кіруі мүмкін.
Тазалап алу жұмысы тау- кен өнеркәсібінде ең көп еңбекті қажет ететін жұмыстар түрінің бірі болып саналады. Олар бірқатар күрделі опрецияларды қамтитын процесс, оларды жүзеге асыруда көптеген механикаландырылған техникалық жабдықтар қолданылады.
Жобаланатын кен орнының табиға жағдайларын және кен сілемінің жату формасының алдап түрсілігін ескере отырып, мынадай машиналар комплексін таңдаймыз [3] :
Дайындау -тілме жұмыстары:
Бұрғылау: УБШ- 332
Оқтау: ЭП- 1
Жеткізу: 1 ПДН2
Тазалау комплексі
Бұрғылау: СБУ- 70 Тиеу: ПД- 5
Оқтау: ЗМК - 1 Бекіту: БМ- 68
Тау- кен күрделі жұмыстары
Бұрғылау: УБШ -532
Тиеу: ПД- 2Б
Комплекстердің техникалық, және есептеу
СБУ-70 бұрғылау станогынан өнімділігін есептеу.
Бұрғылау құралынан массасы
М
б. и
=
=95 кг, (30)
мұндағы d шт =0, 036 м-штанга диаметрі;
l шт =12 м- штанга ұзындығы; γ- бұрғылық құралдың көлемдік массасы, кг/м 3 .
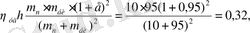
Соққының ПӘК-і
(31)
мұндағы m п -поршень массасы, кг;
е= 0, 95- соққыланатын бөліктердің қалпына келтіру коэффициенті.
Соққы энергиясын жоғалтудын толық коэффициенті
η= η уд · η к =0, 32· 0, 8=0, 26, (32)
мұндағы η к - штанганың гидросоқпамен корпустық қосылысындағы энергияның жоғалым клэффициенті.
Әр бір соққы кезінде бұрғылық бос жүсінен жынысқа ену тереңдігі
0, 0016 м, (33)
мұндағы А-поршіннің жекеленген соққысының энергиясы, Дж;
G еж =f ·10=15·10=150 Мпа- жыныстың сығылуға уақытша кедергісі;
d к -бұрғы басының диаметрі, м; α=90 0 - бұрғы басының сүйірлену бұрышы; μ=0, 4 - бұрғы басы мен жыныстың үйкеліс коэффициенті;
К 3 = 1, 25 - бұрға басынын мұқалдынан соққы пәрменділігінің төмендеуін ескеретін коэффициент.
Бұрғылаудың механикалық жылдамдығы
v т =h·n б. и =0, 016·100=0, 16 м/мин, (34)
мұндағы n б. и =100 айын/мин-бұрғалау құралының 1 минуттағы айналу саны
Бұрғылаудын техникалық жылдамдығы
Q
тех
=
11 м/сағ, т, (35)
мұндағы К г - машинаның дайындық коэффициенті, 083;
... жалғасы- Іс жүргізу
- Автоматтандыру, Техника
- Алғашқы әскери дайындық
- Астрономия
- Ауыл шаруашылығы
- Банк ісі
- Бизнесті бағалау
- Биология
- Бухгалтерлік іс
- Валеология
- Ветеринария
- География
- Геология, Геофизика, Геодезия
- Дін
- Ет, сүт, шарап өнімдері
- Жалпы тарих
- Жер кадастрі, Жылжымайтын мүлік
- Журналистика
- Информатика
- Кеден ісі
- Маркетинг
- Математика, Геометрия
- Медицина
- Мемлекеттік басқару
- Менеджмент
- Мұнай, Газ
- Мұрағат ісі
- Мәдениеттану
- ОБЖ (Основы безопасности жизнедеятельности)
- Педагогика
- Полиграфия
- Психология
- Салық
- Саясаттану
- Сақтандыру
- Сертификаттау, стандарттау
- Социология, Демография
- Спорт
- Статистика
- Тілтану, Филология
- Тарихи тұлғалар
- Тау-кен ісі
- Транспорт
- Туризм
- Физика
- Философия
- Халықаралық қатынастар
- Химия
- Экология, Қоршаған ортаны қорғау
- Экономика
- Экономикалық география
- Электротехника
- Қазақстан тарихы
- Қаржы
- Құрылыс
- Құқық, Криминалистика
- Әдебиет
- Өнер, музыка
- Өнеркәсіп, Өндіріс
Қазақ тілінде жазылған рефераттар, курстық жұмыстар, дипломдық жұмыстар бойынша біздің қор #1 болып табылады.

Ақпарат
Қосымша
Email: info@stud.kz