Бидай дақылы


Бидай (лат. Triticum ) - астық тұқымдасына жататын аса маңызды дәнді дақыл. Қазақстанда 6 түрі (Еділ бидайы, Польша бидайы, көже бидай, жұмсақ бидай, қатты бидай, көбен бидай) өседі, жабайы түрлері сирек кездеседі.
Бидай-бүкіл әлемде 148 елдің негізгі азық-түлігі болып табылады және көптеген елдердің экономикасында ерекше орын алады. Азық-түлік өнімі ретінде бидайдын көптеген аса бағалы қасиеттері бар. Бидай дәні аса құнарлы да қуатты азық, оны сақтау да қиын емес, бір жерден екінші жерге тасып жеткізу де оңай және оны өңдеп алуан түрлі өнім алуға болады . Бидай өнімдері өнеркәсіпте де кең көлемде пайдаланылады. Мысалы, бидай дәнінен крахмал, спирт, май, клейковина алынады. Бидай сабанынан қағаз картон, өнер бұйымдарын және басқа да заттар жасалынады. Барлық ауыспалы егіс жүйесінде бидай санитарлық дақыл болып табылады. Қазақстан Республикасында 1991-1995 жылдары орта есеппен жыл сайын 17, 9 мил. т. астық өндірілді, оның 10, 5 мил. Тоннасы немесе 59%-ға таяуы бидай болып табылады. Жер шарында 220 мил/га көлемінде бидай егістігі өсіріледі. Мұны барынша кең көлемде АҚШ, Үнді, Канада, Туркия, Австралия, Аргентина, Франсия, Италия, Ресей, Украйна, Қазақстан елдері өсіреді. Республикамызда көп уақытқа дейін бидайдан аз өнім алынып жүрді.
Дән мынадай бөлімдерден тұрады:
Эндосперм -дәннің негізгі және ішкі бөлігі, дәннің 84-85% салмағын құрайды, құрамында көмірсулар, белоктар, май мен минералдық заттектердің аздаған мөлшері бар; Қабықтары- олар бірнеше қабаттан тұрады, дән салмағының 14% құрайды, құрамында минералдық заттектері, витаминдер бар; Ұрығы- дәннің 1, 5% құрайды, ол дәннің негізінде бүршік түрінде орналасқан, құрамында биологиялық заттектері белоктар, майлар, витаминдер, минералдық заттар бар;
Бидайға келесі анықтамалар бекітілген:
1. Араласпалар: Бидайдың толық дәні болып табылмайтын дән сынамасының барлық элементтері.
2. Соғылған дәндер: Жатынсперма бөліктері жалаңаштанып бөлшектелген дәндер, бұған ұрығы соғылған дәндер де жатады.
3. Семген дәндер: Даму мен пісудің қолайсыз жағдайларының салдарынан толмаған, әжімденген, жеңіл салмақты, нысаны бұзылған дәндер.
4. Қысылған дәндер: Механикалық салдар нәтижесінде нысаны бұзылған, жалпайған дәндер.
5. Көктеген дәндер: Жай көзбен қарағанда сыртқа шыққан тамырлары мен өскіндер, немесе өскіндердің жұлынып қалғандығы, нысаны өзгергені, өсе бастаудың салдарынан қабыршақтың түсінің айқын өзгеруі көрінетін дәндер. Көктеген болып қалыптағы жағдайынан ерекшелінетін өскіндегі айқын өзгерістер көрінетін дәндер болып табылады. Бұдан басқа көктеген дәндер көңілге өздері ғана қабылданбайды, ал бірақ төмендетілген сандар (өту саны) түрінде көрінетін а- амилазаның белсенділігіне байланысты қабылданады.
6. Аяз соққан дәндер: Пісу кезінде суықпен зақымданған, бүріскен (нысаны өзгертілген), бозғылданған (нысаны өзгерген), қатты қарайған, жасыл дәндер.
7. Зақымданған дәндер: Қызуы, кептіру, ауруларға шалдығу нәтижесінде сыртқы қабығы мен жатынспермасының ашық сары түстен ашық-қоңыр түске ауысқан дәндер.
8. Көк (піспеген) дәндер: Толық піспеген, түсінің жасылдау реңкі бар, жаңа жинап қысқан кезде нысаны өзгеретін дәндер.
9. Зиянкестермен зақымданған: Зақымдану деңгейіне қарамастан жәндіктермен немесе қандаламен желінген немесе сорылған дәндер.
10. Басқа дақылдардың дәндері: Бұзылу сипаттамасы жөнінен арамшөптік араласпаларға жатқызылмаған, жұмсақ және қатты бидайдан басқа, бұзылмаған, сондай-ақ зақымданған басқа дәнді-дақылдардың дәндері.
11. Қаракүйе түскен дәндер: Қаракүйе спораларымен қылтанағы немесе сыртқы бөлігі зақымданған (кірлеген немесе көгерген дәндер) - табиғи боялған болып есептелінетін дәндер.
12. Минералды араласпа: Минералдан жасалған араласпалар (құм, жер түйіршіктері, қиыршық тастар, қож, руда және т. б. ) .
13. Органикалық араласпа: өсімдіктерден аралспа (сабақ, жапырақ бөліктері, сабандар, қабыршақтар), өлген зиянкестер қалдықтары, сондай-ақ сақтау кезінде дәнді бұзбайтын тірі дала зиянкестері.
14. Арамшөптердің тұқымдары: Улы емес өсімдіктердің тұқымдары.
15. Зиянды араласпалар: Адам және жануарлар денсаулығына зиянды өсімдік араласпалары (қаракүйе, спорлар, укекіре, түрлі-түсті шегіршін, түлкіқұйрықты, қыдық, қандауырлы термопсис, үйбидайық жемісі түскен күнсүйгіш, триходесма және нематодамен залалданған дәндер)
Шикі дән маңызының сапасын анықтау
Дән маңызының қаттылық ерекшеліктерін ИДК түрлі аспаптарда анықтайды. Бұл үшін, әбден жуылған және өлшенген дән маңызынан 4 г өлшендіні алады, 3-4 рет саусақпен қысып илейді, дөңгелек нысанға түсіреді және 2 кестеге сәйкес ішіне су құйылған шыны аяққа жатқызылуға салады.
2-кесте. Шикі дән маңызының сапасын анықтау
Егер жуылған дән маңызының негізгі салмағы 4 г кем болса, онда оның сапасын анықтау үшін жетіспейтін санды кебектерден алынған бөліктен қосады.
Егер дән маңызы үгітіліп жатса және жуғаннан кейін губка тәріздес, шашыраңқы түрде болса, және дөңгелектенбесе, онда аспапта анықтамай-ақ сапасы жөнінен III топқа (қанағаттандырылғысыз қатты) жатқызады.
Егер жуылған дән маңызының салмағы 4 г кем болса, онда тұтастай тартылған дән өлшендісін ұлғайту қажет (кестеге сәйкес) және дән маңызын қайтадан жуу керек.
Дән маңызының қаттылығын өлшеу нәтижесін ИДК түрлі аспаптың шартты белгілерімен көрсетеді және олардың беретін мәндеріне қарай дән маңызын 3-кесте талаптарына сәйкес сапа тобына жатқызады.
3-кесте. Аспаптың шартты белгілері мен сапа топтары
Дәннің тығыздығы . Дәннің тығыздығы, ірілігі, 1000 дәннің салмағы және оның химиялық құрамымен тығыз байланысты. Сондықтан дәннің технологиялық қасиеттерінің көрсеткіші қатарында өзіндік орны бар.
Дәннің күлділігі . Бұл көрсеткіш дәннің құрамындағы минералдық заттардың мөлшерін көрсетеді. Дәнде минералдық заттар әр түрлі орналасады. Көбіне олар дәннің алейрон қабатында, қабыршақтарында, тұқым бүршігінде орналасады, ал эндоспермде олардың мөлшері аз болады. Бұл заттар дәнді ұнтақтаған кезде қабыршақтармен бірге кебекке шығып кетеді де ұнның күлділігі төмендейді. Сондықтан ұнның сапасын оның күлділігі арқылы бағалайды. Бұл тек жорамал баға болып есептеледі.
Дәннің күлділігі дақыл өскен топырақтың химиялық құрамына, ауа райына және дәннің сұрыпына байланысты өзгеріп тұрады. Жұмсақ және қатты бидайдың күлділігі 1, 44-2, 10% арасында болса, алейрон қабаты мен қабыршақтарының күлділігі 5, 76-9, 12% аралығында бодады, Дәннің эндоспермасының күлділігі (бидай) 0, 36-0, 60% болса, қара бидайдыкі 0, 36-0, 7% болады. Дәнді тартудағы негізгі міндет - эндоспермасын таза бөліп, күлділігі төмен ұн алу. Қазіргі уақытта диірменде 70%-ке дейін, күлділігі эндоспермінің күлділігіне жақын, жоғары сапалы ұн тартылады.
Қара бидайды диірменде тарту көрсеткіштері бидайға қарағанда едәуір төмен. Қара бидайдың шынылығы 15-40%, салыстырмалы тығыздығы 1000 дәннің салмағы 10-40г, яғни бидайға қарағанда аз.
Қабыршақтанудан бұрын қосымша үлгілер массасы 50 . . . 100г әр жүйеге қабыршақтану режимін орнатады. Бидайдың қабыршақтану құрамы әр бірінші жүйеден соң 80 . . . 90%, екінші - 90 . . . 95%, үшіншіден - 95 . . . 99%, төртіншіден соң - 99, 4%-н кем болмауы керек.
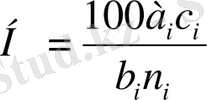
Қабыршақты бидай мөлшерін қабыршақсыз бидай қоспасынан 5 . . . 10г өлшенді алып анықтайды және оның ішінен қабыршақсыз бидайды таңдап, өлшейді, өнім құрамын мына формула бойынша табады:
мұнда, а i - қабыршақты және қабыршақсыз бидайдың қабығы аршылғаннан кейінгі мөлшері;
b i - өлшенді масса, қабыршақсыз бидайдың (5 . . . 10г) құрамын анықтау үшін алынған;
с i - b өлшендісіндегі қабыршақсыз бидай мөлшері;
n i - бірінші қабыршығынан ажырауға түскен бидай мөлшері.
Алдын-ала эксперименттердің негізі бойынша жұмыс орнатылған соң, басты тары үлгісін қайта өңдеуден өткізеді. Ол үшін бірінші жүйені станоктан өткізеді. Алынған бөгде заттар мен қоспалардан қабыршақты және қабыршақсыз қоспаларды өлшейді, бастапқы өлшендіні пайыздық мөлшерде есептеп шығарады.
Бидай дәнінің қимасы:
1 -шошқа мұрттар;
2 -жемісті және тұқымды қабықша;
3 -алейрон қабаты;
4 -эндосперм;
5 -қалқанша;
6 -бүршік;
7 -ұрық;
8 -ұрық қабықшасы.
7
Дәннің шынылығы . Бидай мен қара бидайдың эндоспермінің құрамы дәннің құрылысына едәуір әсер етеді. Ал дәннің құрылысы өз кезегінде ұн тартуға дайындауда, ұнның түсіміне көп әсер етеді. Эндоспермнің құрамына байланысты бидай дәні шынылығына қарай үш топқа бөлінеді:
- Шынылығы 60%-тен жоғары,
- 40%-тен 60%-ке дейін,
- 40%-тен төмен астык партиялары.
Бірінші топқа жататын дәндер салыстырмалы түрде қаттылау болады да оны ұсату үшін көп энергия жұмсалады, одан ұнтақтау жүйесінде көп жөне сапасы жоғары жарма алынады. Ал шынылығы үшінші топқа жататын дәндер жұмсақ болғандықтан, жеңіл ұнтақталады, электр энергиясы аз жұмсалады, ұнның шығымы өседі. Астықты ұн тартуға дайындау кезінде шынылығы әр түрлі астық партияларын араластырып, шынылығы орташа 50-60% қоспа ұн тартылатын партиялар дайындайды.
... жалғасы- Іс жүргізу
- Автоматтандыру, Техника
- Алғашқы әскери дайындық
- Астрономия
- Ауыл шаруашылығы
- Банк ісі
- Бизнесті бағалау
- Биология
- Бухгалтерлік іс
- Валеология
- Ветеринария
- География
- Геология, Геофизика, Геодезия
- Дін
- Ет, сүт, шарап өнімдері
- Жалпы тарих
- Жер кадастрі, Жылжымайтын мүлік
- Журналистика
- Информатика
- Кеден ісі
- Маркетинг
- Математика, Геометрия
- Медицина
- Мемлекеттік басқару
- Менеджмент
- Мұнай, Газ
- Мұрағат ісі
- Мәдениеттану
- ОБЖ (Основы безопасности жизнедеятельности)
- Педагогика
- Полиграфия
- Психология
- Салық
- Саясаттану
- Сақтандыру
- Сертификаттау, стандарттау
- Социология, Демография
- Спорт
- Статистика
- Тілтану, Филология
- Тарихи тұлғалар
- Тау-кен ісі
- Транспорт
- Туризм
- Физика
- Философия
- Халықаралық қатынастар
- Химия
- Экология, Қоршаған ортаны қорғау
- Экономика
- Экономикалық география
- Электротехника
- Қазақстан тарихы
- Қаржы
- Құрылыс
- Құқық, Криминалистика
- Әдебиет
- Өнер, музыка
- Өнеркәсіп, Өндіріс
Қазақ тілінде жазылған рефераттар, курстық жұмыстар, дипломдық жұмыстар бойынша біздің қор #1 болып табылады.

Ақпарат
Қосымша
Email: info@stud.kz