Қаржы мен инфляция туралы


Қаржы және инфляция
Инфляцияның табиғаты және оның қаржымен өзара байланысы.
Экономикалық құбылыс ретінде инфляция көптен бері өмір сүріп келеді. Оны тіпті ақшаның шығуымен бірге пайда болды әрі ақшаның қызметімен тығыз байланысты деп саналады.
“Инфляция” термині (латынның inflatio сөзінен шыққан - кебіну, ісіну) ақша айналысына қатысты ХІХ ғасырдың орта шенінде пайда болды және АҚШ-тың Азамат соғысы жылдары (1861 - 1865 ж. ж) қағаз долларының (“гринбектердің”) қисапсыз көп шығарылуымен байланысты болды. ХІХ ғасырда бұл термин сондай-ақ Англия мен Францияда қолданылды. Экономикалық әдебиеттерде инфляция ұғымы ХХ ғасырда бірінші дүниежүзілік соғыстан кейін кеңінен таралды, ал бұрыңғы кеңестік экономикалық әдебиеттерде ол 20-сыншы жылдары жазыла бастады.
Инфляцияның дәстүрлі ең жалпы анықтамасы - тауар айналымының қажеттілігімен салыстырғанда айналыс сферасының артық қағаз ақша массасымен лықа толып кетуі, оның құнсыздануы және соның нәтижесі ретінде - тауарлар мен қызметтер көрсетуге бағаның өсуі; ақшаның сатып алуға жарамдылығының төмендеп кетуі . Инфляция кезінде қоғамдық өндіріс процесінің алшақтықтарына және артық көп ақшаның шығарылуына байланысты ақша айналысының заңы бұзылады.
Инфляция - ақша жүйесінің дағдарысты жай-күйі.
Ақшаның құнсыздануына мына факторлар себепші болады:
айналысқа артық ақшаның шығарылуы;
қолайсыз төлем балансы;
үкіметке сенімнің жоғалуы.
Ұзақ уақыт бойы инфляцияны монетарлық құбылыс деп санай отырып, ол ақшаның құнсыздануы мен тауар бағаларының өсуі тұрғысында түсіндіріліп келді. Әлі де бірқатар шетелдік авторлар инфляцияны экономикада бағаның жалпы деңгейінің артуы ретінде анықтайды. Алайда инфляцияның тауар бағасының өсуінде көрінгенімен оны тек таза ақша феноменіне жатқыза салуға болмайды. Бұл нарықтық шаруашылықтың түрлі сфераларындағы ұдайы өндірістің сәйкессіздігінен туатын күрделі әлеуметтік-экономикалық құбылыс. Инфляция әлемнің көптеген елдеріндегі экономиканың қазіргі дамуының ең өткір проблемаларының бірі болып есептеледі.
Бүгінде инфляция бағаның өсуі нәтижесінде ақшаның сатып алу жарамдылығының құлдырауымен ғана емес, сонымен бірге елдің экономикалық дамуының жалпы қолайсыз ахуалымен де байланысты. Инфляцияға өндіріс пен өткізу сферасындағы әртүрлі факторлар тудырған өндіріс процесінің қарама-қайшылықтары себепші болады. Инфляцияның әуел бастағы себебі - ұлттық шаруашылықтың түрлі сфераларындағы жинақтау мен тұтыну, сұраным мен ұсыным, мемлекеттің кірістері мен шығыстары, айналыстағы ақша массасы мен шаруашылықтың ақшаға қажеттілігі арасындағы алшақтықтар.
Инфляцияның ішкі және сыртқы факторларын (себептерін) айыру білу қажет. Ішкі факторлардың арасында ақшаға жатпайтын және ақшалай - монетарлық факторларды бөлуге болады. Ақшаға жатпайтындары - бұл шаруашылық сәкестігінің бұзылуы, экономиканың циклдық дамуы, өндірістің монополизациялануы, инвестициялардың теңгерімсіздігі, әлеуметтік- саяси сипаттағы ерекше жағдайлар және басқалары. Ақшалай факторларға - мемлекеттік қаржының дағдарысы, бюджет тапшылығы, мемлекеттік борыштың өсуі, ақша эмиссиясы, сондай-ақ несие жүйесінің кеңеюі, ақша айналысы жылдамдығының артуы нәтижесінде несие құралдарының өсуі және басқалары жатады.
Дүниежүзілік құрылымдық дағдарыстар (шикізат, энергетика, валюта дағдарыстары), басқа елдерге инфляцияны экспортқа шығаруға бағытталған мемлекеттік валюта саясаты, алтынды, валютаны жасырын экспортқа шығару инфляцияның сыртқы факторлары болып табылады.
Сөйтіп, көпфакторлы процесс ретінде инфляция - бұл ақша айналысы заңының бұзылуымен байланысты болатын қоғамдық ұдайы өндіріс дамуындағы алшақтықтың көрінісі.
Инфляцияның іс-әрекетін қаржы проблемаларымен байланыстырып отыру қажет, өйткені инфляция құбылысы мынандай қаржылық факторларға тәуелді болып келеді:
белгілі бір салық нысандары мен әдістерін қолдану;
инфляциялық сипаттағы шараларды мемлекеттік бюджет арқылы қаржыландырудың ауқымы;
мемлекеттік бюджеттің тапшылығын жабудың әдістері;
мемлекеттік берешектің көлемі.
Нарықтық экономика кезінде қаржы инфляциялық процеске бірқатар факторлар арқылы айтарлықтай әсер етеді (инфляциялық тенденцияларды күшейте түседі) .
Бірінші фактор - мемлекет шығыстарының өсуі, бұл ерекше төлейалушылық сұранымының артуына жеткізеді, сөйтіп тікелей баға белгілеуге әсер етеді. Тауарлар мен қызметке бағаның көтерілуіне байланысты ақшаның құнсыздануы бюджет шығыстарының көбеюіне соқтырады, ал оның кірістері, ең алдымен, салық түсімдері қажеттіліктен артта қалып қояды. Бұл сөзсіз болатын ұзақ уақытқа созылған тапшылыққа ұрындырады.
Екінші фактор - табысқа (пайдаға) салынатын салықтың көбеюі. Салықтың едәуір бөлігі баға механизмі арқылы тұтынушыға ауысады және рыноктағы бағаның көтерілуінің басты себебі болады.
Үшінші фактор - бюджеттердің ұзақ уақытты тапшылықтары (өндірістік емес шығындардың неғұрлым өсуімен байланысты) .
Инфляция қаржы қатынастарын да өзгерістерге ұшыратады. Біріншіден, инфляция тауарлар мен қызметтерге бағаның өсуі салдарынан мемлекет шығыстарының өсуін жандандырады.
Екіншіден, инфляция қаржы ресурстарын құнсыздандырады және салық түсімдерін арттырудың қажеттігін тудырады.
Үшіншіден, инфляциялық процесс мемлекеттің берешегі проблемаларын шиеленістіреді.
Сөйтіп, қаржы мен инфляция өзара тәуелді болып келеді (1 сызбаны қараңыз) . Қаржы инфляциялық процестердің тездеткіші бола алатыны сияқты, инфляция да қаржы қатынастарына әсер етеді. Ақшаның құнсыздануы және бағаның көтерілуі мемлекеттің шынайы кірістерін төмендетуге, бюджеттің шығыстарын көбейтудің қажеттігіне, салық ауыртпалығының күшеюіне, мемлекеттік бюджет тапшылығынан болатын мемлекеттік борыштың өсуіне ұрындырады. Инфляцияның жоғарғы қарқыны мемлекеттің қаржы ресурстарын құнсыздандырады, өйткені салықтық кірістер мен қарыздар оларды есептегеннен кейін уақыттың белгілі бір межелдемелері арқылы түседі, сондықтан мемлекеттің алу сәтінде олар құнсызданады. Осыған ұқсас мемлекетік берешектің проблемасы шиеленіседі, өйткені қарыздарды тарту үшін мемлекет өзінің бағалы қағаздарының табыстылығын несиелік пайыз деңгейінен жоғары көтеруге мәжбүр болады, бұл мемлекеттік борыштың атаулы өсуін тудырады.
Қаржы қатынастары мен инфляциялық процестердің бір бағытты келеңсіз сипаты, бірін-бірі өзара толықтыра отырып, экономикалық жүйедегі келеңсіз нәтижелерге апарады. Мәселен, инфляция бірқатар әлеуметтік-экономикалық проблемаларды тудырады: ақшалай табыстардың құнсыздануы, ұзақ мерзімді инвестицияларға деген экономикалық ынтаның түсуі, ақшалай жинақтардың құнсыздануы, нақтылы пайыздың төмендеуі, экономикалық байланыстардың бұзылуы және т. б.
Төмен инфляция немесе оның болмауы ұлттық шаруашылықтың түрлы деңгейлерінің қаржылық көрсеткіштерін жақсартатыны секілді ұқсас жағдайда қаржы қатынастарының оң бағыттылығы инфляция деңгейін төмендетеді.
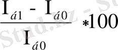
Инфляцияны бағалау және өлшеу үшін бағалар индексінің көрсеткіші - Іб пайдаланылады. Бағалар индексі тұтыну тауарлары мен қызметтердің (“нарық себеті”) белгілі бір жиынтығының сатып алу бағасы мен базалық кезеңнің базасы арасындағы ара-қатынасты өлшейді. Ағымдағы жылдың индексінің қарқыны былайша анықталады. Ағымдағы жылдың бағалары индексінен өткен жылдың бағалары индексі шегеріліп, өткен жылдың бағалары индексіне бөлінеді, сонан соң жүзге көбейтіледі:
Инфляция қарқыны =
Қазақстанда тұтыну тауарларының бағасы мен қызметер көрсетудің тарифтері өткен жылға қарағанда былайша өсіп отырды (есе) :
1990 - 1; 1992 - 2, 5; 1993 - 30, 6; 1994 - 22, 7; 1995 - 1, 60; 1996 - 1, 39; 1997 - 1, 17; 1998 - 1, 07; 1999 - 1, 18; 2000 - 1, 13.
Дүниежүзілік практикада егер инфляцияның қарқыны жарты жыл ішінде және одан жағдайда көбірек айына 50 пайыз немесе аптасына 11, 5 пайыз құрса, онда мұндай деңгей әсері инфляцияға сәйкес келеді. Сөйтіп, Қазақстанда бұл деңгей 1992 - 1995 жж. ішінде айтарлықтай асып түсті.
Инфляциялық процестің қуаттылығын бағалауды және инфляцияның түрлерін мынандай критерийлер бойынша ажыратады:
бағалар өсуінің қарқыны бойынша:
баяу - баға жылына 10 пайыз өскенде; бұл кезде ақшаның номиналдық құны сақталады, кәсіпкерлік тәуекел болмайды;
өршімелі - баға 100 пайыз шегінде өскенде; ақшаның затталынуы өседі;
әсіреинфляция - баға жүздеген пайызға өскенде; баға мен табыстардың арасындағы алшақтық ұлғая бастайды;
бағалар өсуінің теңгерімділік дәрежесі бойынша:
теңдестірілген және теңдестірілмеген инфляция; теңдестірілген инфляция кезінде әртүрлі тауарлардың бағасы бір-біріне қатысты өзгерусіз қалады, теңдестірілмеген инфляция кезінде - олардың бір-біріне ара-қатысы өн бойы өзгеріп отырады, оның үстіне әртүрлі үйлесімде;
болжаулық (болжап айтушылық) дәрежесіне қарай:
күтілген, болжалды және күтілмеген ;
шығу немесе пайда болу орнына қарай:
импортталынған және экспортталынған ;
сондай-ақ дамудың әркелкілігімен сипатталатын сатылы , баға шамалы өскен немесе өзгерусіз қалған, бірақ тауар тапшылығы күшейген кездегі тұқыртылған инфляцияны ажыратады.
Қаржы мен инфляцияның өзара байланысын инфляцияның екі типі бойынша бақылап отыруға болады: сұраным инфляциясы (тұтынушылар инфляциясы) және шығындар инфляциясы (өндірушілер инфляциясы) .
Бірінші жағдайда ол заңи және жеке тұлғалардың ақша массасының өсуімен байланысты өнімге, тауарларға және қызметтерге сұранымның өсуінің салдары болып табылады.
Екінші жағдайда кәсіпорындардың еңбекке ақы төлеуге, кредиттер бойынша пайыздық мөлшерлемелердің көбеюіне, тұтынатын шикізатқа, материалдарға бағаның, қызметтер көрсетуге (тасымалдауға, электр қуатына, ақпаратқа және т. т. ) тарифтердің өсуіне жұмсалатын шығындардың көбеюі инфляцияны тудырады. Нақты экономикалық өмірде инфляцияның бұл түрлері және оларға ілеспелі салдарлар тығыз тоқайласады, өзін өзара толықтырады, бұл инфляциялық шиыршық деп аталынатынды тудырады, бұл кезде өндірістің тұтынылатын компоненттері баға мен еңбекке ақы төлеудің өсуі нәтижесінде шығындардың көбеюі шығарылатын өнім құнының артуына соқтырады, мұндай өнімді тұтыну жалақының және экономиканың шектес секторларында материалдық шығындардың қосымша өсуін талап етеді және осылайша шексіздікке кете береді (2 сызбаны қараңыз) .
Нарықтық экономиканың механизмі - бәсеке мен тиімсіз кәсіпорындардың банкроттығы жеткіліксіз қалыптасқанда, ол өндірістің жеке салаларында ол жоқө болғанда инфляция дамиды. Еркін бәсеке жағдайында, мемлекет шығыстарын немесе кредиттерді қысқарту жөніндегі шаралармен туындайтын сұранымның төмендеуі кезінде кәсіпорын не өндірістің көлемін қысқартуға, не оның шығындарын төмендетуге мәжбүр болады. Макроэкономикалық деңгейде мұнымен қатар не іскерлік белсенділіктің құлдырауы, не бағалардың төмендеуі болады. Алайда фирмалар, компаниялар жағдайдың жақсаруына үміттене отырып, рынокта тұра алуға тырысады және бағалар мен өндіріс шығындарын төмендетуге мәжбүр болады. Процестің жаппай ауқымдағы әрекеті инфляцияның төмендеуіне мүмкіндік жасайды.
Монополияландырылған экономикада бұл механизм әрекет етпейді, өйткені өндіруші кәсіпорындардың шикізатты, материалдарды, шала фабрикаттарды, жинақтау бұйымдарын, жабдықты, саймандарды жеткізушілерді таңдай алмайды. Ол жеткізушілер тарапынан белгіленген бағалармен келісуге мәжбүр болады және жоғарылатылған бағаларды өзінің тұтынушыларына, тұтынушылар өз кезегінде ары қарай технологиялық өзгертіп жасау бойынша түпкі тұтынушыға - халыққа аударып салады. Мұндай жағдайда бюджет шығыстары мен кредиттерді шектеу жөніндегі шаралар өндірістің құлдырауына жеткізеді.
Жалпы инфляцияның себептері базистік қатынастардың қарама-қайшылықтарынан, экономикадағы үйлесімсіздіктер мен дағдарыстан, оның өздігінен дамуға қабілетсіздігінен, бүкіл қоғамдық өндірістің төмен тиімділігінен болады.
Инфляция сыртқы экономикалық қызмет тарапынан арандатылуы мүмкін, бұл - импортталатын және экспортталатын инфляция. Бірінші жағдайда ол шетелдік валютаның шамадан тыс түсімінен және импорттық бағалардың жоғарылауынан туады. Түскен шетелдік валютаны коммерциялық банктер орталық банкте депозиттейді, орнына ұлттық валютада баламалы сома алады; банк пасивтері артады, мұның өзі оларға несие операцияларын және кредиттік экспансияны кеңейтуге мүмкіндік береді, ұлттық валютада номиналдандырылған ақша ауқымының көбейіп кетуіне қозғау салады.
Экспортталатын инфляция тауарлар мен қызметтер көрсетуге экспорттық бағаның көтерілуінен туады, бұл тұтынушы-елдерде, соның ішінде дамып келе жатқан елдерде бағаның өсуіне соқтырады. Инфляциялар халықаралық корпорациялардың - рыноктердегі үстемдік жағдайды пайдаланатын монополиялардың қызметіне қозғау салады. Корпорациялардың валюталық операциялары олар болған елдерде несие капиталының қосымша ұсынымын жасайды. Сөйтіп шетелдік валютаның қосымша ауқымы айналысқа түседі және коммерциялық және орталық банктер арқылы ұлттық ақша айналысқа шығарылады.
Инфляцияның көріну нысаны - ақшаның құнсыздануы мен өнімге, тауарларға және қызметтерге бағаның көтерілуінде тұлғаланатын оның сатып алуға жарамдылығының тиісінше төмендеуі.
Инфляцияның табиғаты ақшаның онымен салыстырмалы тұлғаланатын тауар ауқымынан оқшауландырылған қозғалысты жүзеге асыратын қабілетсіздігінде. Ақшаның жұмыс істеу негізі болып табылатын оның бұл қасиеті оған өзінің арналымын - тауар, төлем айналымына қызмет көрсетуге отырып, тиімді орындауға, қорланым мен құнды сақтаудың құралы болуға мүмкіндік береді. Бірақ ақшаның бұл қасиеті мемлекет белгілеген өлшемге сәйкес оның саны мен оған қарсы тұратын құнның натуралдық-заттай компоненттерінің сәйкестігі жағдайында көрінеді. Жалпы алғанда мұндай тәуелділік айырбас теңдеуі арқылы көрінеді:
Р х Q = M x V,
мұндағы сол бөлігі қоғамдық өнім құнын, ал оң жағы ақша айналысының жылдамдығын ескере отырып ақшаның санын (М - ақша массасы, V - айналыс жылдамдығы) білдіреді.
... жалғасы- Іс жүргізу
- Автоматтандыру, Техника
- Алғашқы әскери дайындық
- Астрономия
- Ауыл шаруашылығы
- Банк ісі
- Бизнесті бағалау
- Биология
- Бухгалтерлік іс
- Валеология
- Ветеринария
- География
- Геология, Геофизика, Геодезия
- Дін
- Ет, сүт, шарап өнімдері
- Жалпы тарих
- Жер кадастрі, Жылжымайтын мүлік
- Журналистика
- Информатика
- Кеден ісі
- Маркетинг
- Математика, Геометрия
- Медицина
- Мемлекеттік басқару
- Менеджмент
- Мұнай, Газ
- Мұрағат ісі
- Мәдениеттану
- ОБЖ (Основы безопасности жизнедеятельности)
- Педагогика
- Полиграфия
- Психология
- Салық
- Саясаттану
- Сақтандыру
- Сертификаттау, стандарттау
- Социология, Демография
- Спорт
- Статистика
- Тілтану, Филология
- Тарихи тұлғалар
- Тау-кен ісі
- Транспорт
- Туризм
- Физика
- Философия
- Халықаралық қатынастар
- Химия
- Экология, Қоршаған ортаны қорғау
- Экономика
- Экономикалық география
- Электротехника
- Қазақстан тарихы
- Қаржы
- Құрылыс
- Құқық, Криминалистика
- Әдебиет
- Өнер, музыка
- Өнеркәсіп, Өндіріс
Қазақ тілінде жазылған рефераттар, курстық жұмыстар, дипломдық жұмыстар бойынша біздің қор #1 болып табылады.

Ақпарат
Қосымша
Email: info@stud.kz