Электронды вольтметрлер арқылы кернеуді өлшеу


Бір жартылай периодты схемада D1 диоды арқылы жарты период аралығында тоқ өтеді, кері жарты толқын D2 диоды арқылы өтеді.
Екі жартылай периодты схемада түзеткіш тоқ i им асасбынан әр жарты период сайын өтеді, бір жарты период ішінде тоқ D4 тізбегінен өтеді, ал екінші жарты периодты тоқ D2 им, D3 тізбегі арқылы өтеді.
1 жартылай период схемасында түзету ИМ (магнит-электрлік өлшеуіш) арқылы тоқ өтеді:
Iим=
Мұндағы
Iсв=тоқтың орташа түзетілген мәні.
Im=Өлшенген sin I тоқтың орташа квадраттық және амплетудалық мәні.
Көбінесе түзету аспабы sin U кернеудің және I тоқтың орташа квадратты мәнін көрсетеді. Im өлшеуіштің шкаласынан алынған нәтижелер:
U L x 2, 22 - бір жартылай периодты схема кезінде
U L - өлшеу мәні.
U L х1, 11 - екі жартылай периодты схема кезінде.
Түзеиу аспаптардың артықшылықтары:
1) Құрылысының қарапайымдылығы.
2) Салыстырмалы жоғары сезімталдығы.
Кемшіліктері:
1) Дәлдігінің жоғары еместігі.
2) Жұмысшы жиілік диапозонының аздығы.
3) класс 1, 5; 2, 5
Түзету схемалары миллиамперметрлерде және вольтметрлерде қолданылады:
Есеп:
Берілгені: Шешуі:
f=50 Гц
Im=15, 5 мА Iсв=
т/к: 1) Iсв Iсв=2 Кф
2) орташа квадратты I
L
=4, 46х2, 22=10, 88А
11мА
мәнін көрсететін мА тексеру: I=15, 5/
=10, 96
11мА
мәнін анықтау I=
=
=11мА
«Біріккен, универсалды және алынатын аспаптар!»
Бірлескен өлшеу аспабы - ампервольтметр, универсалды және көп шекті аспап болып табылады. Тоқты және кернеуді, тұрақты және айнымалы тізбекте sin тоғын және кедергіні өлшеуге арналған.
Электронды вольтметрлер арқылы кернеуді өлшеу
Қалыпты электронды вольтметр - бұл электронды түрлендіргіш аспап болып табылады және жартылай периодты элементтер мен электр-магнит өлшеуіштен тұрады.
Электронды вольтметрлерді қызмет етуіне байланысты мыналарға ажыратылады:
- Тұрақты тоқ.
- Айнымалы тоқ.
- Импульстік тоқ.
- Сезімтал фазалар.
- Селективті, универсалды.
Қарапайым вольтметрлердің басты атқаратын қызметі радио электронды тізбектерде кернеуді өлшеу.
Тұрақты тоқ вольтметрлердің функционалдық схемасы:
Кірме құрылғы өлшенген кернеудің мәнін ары қарай түрлендіруге мүмкіндік береді, ол резистивті және конденсаторлы кернеу бөлгіштен тұрады.
Электронды түрлендіргіш - бұл тұрақты тоқ күшейткіші, ол сезімталдықты күшейту үшін қолданылады.
Айнымалы тоқ вольтметрі мыналарға бөлінеді:
1) Сипаттамасы бойынша кернеу өлшеуіш:
а) Кернеудің орташа квадраттық мәнін өлшейтін вольтметр;
б) Орташа түзетілген вольтметр;
2) Жиілік диапозонына байланысты:
а) Н4
б) В4
в) СВ4
3) Кірме схемасы бойынша:
а) ашық
кірмелермен
б) жабық
Тағы да аспаптың кірмесіне өлшенген кернеудің құрақты құраушысын жіберуші және жібермеуші.
4) Дәлдік бойынша дәлдік класстарға бөлінеді.
0, 1; 0, 2 0, 5 1;
1, 5 2, 5 4, 0 6, 0;
Вольтметрмен өлшенетін кернеудің параметрлері мен көлемі
Айнымалы кернеу келесі сипаттамалық параметрлермен сипатталады:
Кернеудің орташа түзетілген мәні көрсетілген график:
Шекті кернеудің мәні көрсетілген кернеу графигі:
Амплитуда коэффиценті:
Ка=
Қисақ формалы коэффицент:
Кф=
«Кернеу параметрлері»
1) Шекті мәні (максимал) Umax - бұл период бойынша кернеуді сәттік үлкен мәні.
2) Ортраша түзетілген кернеу мәні Uсв - бұл период бойынша кернеудің орташа арифметикалық емес сәттік мәні.
3) Орташа түзетілген кернеу мәні Uсв - (екі жартылай периодты түзету кернеу схемалары үшін) абсолюттік сәттік мәннің орташа арифметикалық мәні:
4) Sin кернеу үшін: U ср =U 0 , ал U св =0, 637 U m
U ср = U 0 =0
U - орташа квадраттық мән бір период үшін
сияқты анықталады.
Амплитудалық, орташа квадраттық мән арасындағы байланыс коэффицент арқылы анықталады.
Ка=U m /U
Қисық формалы коэффицент:
Кф=U/U св
1) Sin кернеу, кернеу мәні үшін:
U= U m /1, 41=0, 707Um
U
св
=U/1, 1=0, 92 U=0, 92
2) Ара тәрізді, симметриялы және үшбұрышты кернеу үшін:
U 1 =1, 978 U max
U св =U 0 =0
U max =0, 8654
«МЭС аспабы»
МЭС аспабы - тұрақты тоқ тізбегінде тоқты және кернеуді өлшеу үшін қолданылады. МЭС аспаптардың іс-әрекеті тоғы бар өткізгіштің және МП-нің әсерінен байланысты.
Аспаптың қозғалмайтын бөлігіне тұрақты магнит және болат цилиндр жатады. Магнит полюстері және болат әилиндр арасында сақина ауа түтігі болады, бұл түтіктің ішінде қатты және бір текті магнит ағыны (МП - магнитный поток) пайда болады. Аспаптың қозғалмалы бөлігіне катушка жатады, ал жұмсақ алюминий рамкаға жұқа сыммен оралған. Таразыға қарама-қарсы бар бағдарша орнатылады, ал аспаптың қозғалмалы жүйесін теңестіру үшін қолданылады. Қарсы іс-әрекет моменті 2 серіппенің көмегімен пайда болады, 2 серіппе арқылы рамкаға электрлік тоқ беріледі.
Аспапты қосқанда L арқылы тоқ өтеді және механикалық күш пайда болады, бұл күш сол қол ережесіне бағына отырып, рамканы U бұрышына бұрады. ЭҚК-нің бағыты Ленц ережесімен анықталады. МЭС аспабы + және - полярлары бар. жоғары дәлдігі, сезімталдығы, әртүрлі өлшеу шкаласы, қозғалмалы жүйесінің тез қалыпқа келуіне байланысты миллиамперметр, вольтметр, микроамперметр, авометр ретінде кең қолданылады. жоғары құны, аса жүктелуге сезімталдығы және тек тұрақты тоқ
тізбегіндегі өлшеулерді өлшеуге жарамдылығы.
«Тоқты және кернеуді өлшеу»
1мкА тоқты өлшеу үшін арналған аспап гальвонометр деп аталады, ал үлкен тоқтарды өлшеу үшін микроамперметр, миллиамперметр, амперметрлер қолданылады, ол өлшенген тоқтың көлеміне байланысты болады. Тоқты өлшейтін аспаптың негізгі бөлігі өлшеу механизмі болып есептеледі. Тоқ өлшеуіш (U) арқылы өтеді, жылудың немесе электр магнит әсерінен И-дің қозғалмалы бөлігі құрылады.
Құрамы және механизмі үшін кейде жылудың әсері қолданылады. Жылу өлшеуіштің (η) баспа бөліі болып сызықтық ұзарудың көп көлемі есептеледі. Сымнан өткен тоқ, оның қызуын және ұзаруын тудырады. Бұның бәрі блоктың және бағдаршаның айналу қозғалысына түрлендіреді. Сөйтіп, әрбір тоққа бағдаршамның бұрылу бұрышы сәйкес келеді. Тоқ күшінің нақтылы мәні 0, 5А аспауы керек. Үлкен тоқ күштерін өлшеу үшін шунт қолданылады.
Шунт - бұл өлшеу түрледіргіші, магнаниннен тұрады, оның тұрақты Rш кедергісі болады және оған U өлшегісі Rн кедергісімен жалғанған.
I өлшеу тоғы екіге бөлінеді:
1) U өлшеуіш тоғы
2) Ш шунт тоғы.
Кернеу түсуі:
I
u
R
u
=I
өлшеу тоғы
I=
=I
up
Генераторларда, приемниктерде тоқты өлшеу үшін амперметрді тізбектеп жалғау керек. Амперметрдің қосылуы тізбектің жұмыс режиміне әсер етпеуі қажет.
«Вольтметр»
Кернеуді өлшеу үші арналған аспатарды вольтметр дейді, мV, кV. Оның нақтылы тоғы өте аз, 50-100 мА аспайды. Вольтметрдің қозғалмалы бөлігінің бұрылу бұрышы өлшеуіштегі I тоққа тәуелді болады, ал вольтметрдің R-const-ті вольтметрдің тәуелді болады. Вольтметрдің шкаласына юөлулер орнатылады, олар қысқыштарға келтірілген кернеуге сәйкес келуі керек. Сондықтан электр тізбектегі екі нүктенің арасындағы кернеуді өлшеу үшін, олар вольтметрдің қысқыштарына жалғануы керек, және вольтметрдің кедергісі тізбекпен қысқыштардың арасындағы кернеуден көп болуы керек, ол вольтметрдің қосылуы оның жұмыс режимін өзгертпеуге мүмкіндік береді. Вольтметрдің үлкен кедергісі оған тізбектей жалғанған Кd манганинадан алынады. Қысқыштарда қанша кернеу бар екенін көрсететін қатынас, U=I u (R u +R d ) >U өлшеуіште U u = I u R u , қосымша кедергінің көбейткіші деп аталады.
P=
R d =R u (p-1)
R d шунт сияқты түрлендіргіш болып есептеледі.
Вольтметрлер бірнеше нақтылы кернеуге ие:
3-15-150В
«Сандық вольтметрлер»
Сандық вольтметрлер барлық сандық аспаптар сияқты көп артықшылықтарға ие, сол себепті қазіргі уақытта көп қолданылады. Кейде осы аспаптардың негізінде мультиметрлер жасалады, ол тоқты, уақытша аралығын, жиілікті, кернеуді, кедергіні немесе екі кернеудің арасындағы қатынасты өлшеуге мүмкіндік береді.
Сандық вольтметрдің үш түрі бар:
1) Тікелей түрлендіретін сандық вольтметр.
2) Тұрақтандыратын түрлендіргіш сандық вольтметр.
3) Интегралданған сандық вольтметр.
Тікелей түрлендіретін сандық вольтметр (ТРСВ)
ТТСВ-де өлшенген кернеудің сәттік мәні, уақыт аралығына түрленеді, оның ұзақтығы түрлендірудің нәтижесінің уақыт аралығында қысқа импульстары және сол импульстардың санауы санағышта есептеліп анықталады. W импульстердің саны өлшенген кернеуге тура пропорционал. АМ-түрлендіргіштерді бар вольтметрдегі өлшенген кернеу бір мезетте бірнеше схемаларға беріледі.
Қарастырылған түрлендіргіштің түрі ең тез әрекетке келетін болып саналады, ол 1 секундта он миллиметрге дейін өлшейді. АМ түрлендіргіштің басты кемшілігіне салыстыру схемалардың көптігі жатады, бұлардың кристаллдарында 250 салыстыру күшейткіш және демифрактор құрылғылары бар.
«Тұрақтандыратын түрлендіргіш сандық вольтметр» ТТСВ
Кірме \\\
«Интегралданатын сандық вольтметр» ИСВ
Олар жақсы қорғалғаны және аз қателіктерімен ерекшелінеді. ИСВ топталған аспаптардан тұрады, олардың көрсеткіштері белгілі бір уақыт аралығында өлшенген кернеудің орташа мәніне пропорционал болады.
U k өлшеу кернеуі S 1 кілтінен интеграторға беріледі. RC кернеу беріліп есептеледі, селектор ашық болады, және генератордар санағышқа импульс беріледі. Бұл санағыш толғанша жалғаса береді. N=N max . Санағыштың толған импульсі оны нольдік қалыпқа келтіреді және S 1 кілтімен қосып интегратор кірмесіне және кернеу көзіне қосылады, оның полярлығы U x кері болып келеді. Кейбір уақыт өткен соң конденсатор разрядталады, ал G 1 генераторынан санағышқа импульстер беріле береді. Конденсатордың кернеуі нольге тең болған уақытта, селектор жабылады. Санағышқа импульстің берілуі тоқтатылады. Селектор 0-ге дейін разрядталады.
Вольтметрлер үлкен дәлдікке ие.
UCВ дәлдік класстары - 0, 01 . . . 0, 005, тез әрекетке келетін - 0, 1 . . . 0, 5с, кіріс кернеу - 10-100 мОм.
«Электронды осциллографтар!»
Электронды осциллограф - 1-ден 10 МГц жиілік диапозон аралығында электрлік дабылдардың формасын бақылауға және зерттеуге арналған аспап. Осциллографтың басты элементтері - электр статикалық сәулесі бар электрлік сәулелік түтікше және люминисцирленген экран жатады. Экран зерттелетін дабылды көрініске түрлендіреді, экранда тігінен және көлденеңінен пластиналарды өшіреді. Электрлік сәулелік түтікше электрлік сәулені екінші өзара перпендикуляр бағытта орналастырады, осы бағыттарда ось координаттары деп қарастыруға болады. Сондықтан осциллографтың экранындағы дабылдың өлшенген суретінде дабылдың кернеуі тігінен өшіруге беріледі және сол уақытта электрондық сәуле тұрақты жылдамдықпен сызықтық өзгермелі кернеудің көмегімен көлденең бағытта өшіріледі, сәулені өшіретін кернеу көлденең бағытта болады - ол ашылатын бағыт деп аталады.
Электронды осцилографтың схемасы:
Электр сәулелік түтікшеде (ЭСТ) жарықты және сәулені реттейтін құралы және осциллограммаларды тігінен жылжытатын потенциометрлер бар. Тігінен өшіретін канал кірме кернеуді реттеуге мүмкіндік береді, ол ЭСТ экранындағы тік оспен жүретін сәулені өшіру үшін сол кернеуді реттейді.
Канал кірме құрылғыдан тұрады және кең көлемі кернеу күшейткішінен тұрады, оны тік өшіру күшейткіші деп атайды (ТӨК) . Зерттелетін дабыл кірме құрылғыға беріледі, онда ол азайтылады және сонда бірнеше уақыт тұрады, сонда ашу кернеуі көлденең өсіру пластинасына беріледі, осының арқасында ЭСТ-нің экранынан процестің басын бақылауға болады. Канал күшейткіш дабылдың керекті күшеюіне және оның бір фазасын 2 қарсы фазалық кернеуге түрлендіруге мүмкіндік береді. Осы түрленген кернеу ЭСТ-нің тік өшіру пластинасына беріледі.
«Осциллографпен жиілікті өлшеу»
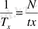
Зерттелген сигналдың (дабылдың) жиілігін былай анықтауға болады: Егер өлшеу жиілігінің дабылы осциллографтың «У» кірмесіне берілсе, ашуды пайдаланып, экранда бірнеше периодтық зерттелген дабылдың жиілігі мынаған тең болады (f x )
f
x
=
мұндағы N=периодтардың саны
tx=өлшеу аралығы.
Интерференделген фигуралармен өлшенген дабылдың жиілігін анықтау.
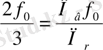
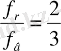
Бұл тәсілді sin-лы дабылдың жиілігін анықтау үшін қолданылады, осы тәсіл 10Гц жиілікті диапозонынан осциллографтың белгілі жіберу сызығының мәніне дейін жиілікте қолданылады. Үлгілі дабылдардың f 0 жиілігі және өлшенетін f x жиілігін тікелей тік және көлденең осциллографтың пластиналарына келтіріледі. Өлшеу кезінде ашу генераторы өшірілу тұру керек.
Үлгілі генератордың жиілігін f 0 экранға тұрақты қандай да бір Лиссажу фигурасының көрісіні шықпағанша өзгертіп алады. Фигураның формасы амплитудаға және жиілік пен сигналдардың салыстыру фазасының сапасына байланысты болады. Экрандағы қозғалмайтын фигураларды алу үшін генератордың және зерттелген диілік бірдей болуы керек және бір-бірінің сандары бірдей болуы керек.
мұндағы: П в және П r - бүтін сандар.
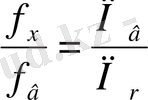
1-ші сурет үшін фаза бойынша қалу =0 0 немесе 180 0 .
f
x
=
Өлшеу жиілігін Лиссажу фигуралары арқылы анықтау жоғары дәлдікпен сипатталады. Тәсілдің кемшілігі - расшифровканың күрделілігі - жиіліктің 10 қатынасы (фигурасы) болса, онда оның нақты қатынасын анықтау қиын.
Біріккен аспаптың шкаласы және басқару мүшесі
1 - әр түрлі жұмыстарды қосу-өшіру.
2 - өлшеу шегін қосып-өшіру
3 - децибел шкаласы
4 - Ескерту. Инструкциясын біл!
5 - магнит-электрлік жүйенің белгіленуі.
6 - орнатылған омметрдің дәлдік классы.
7 - тұрақты тоқ ампервольтметрдің дәлдік классы.
8 - 3 кв кернеумен оқшауламаның кедергісі сыналды.
9 - Параллель омметрдің шкаласы
10 - тұрақты тоқ ампервольтметрдің шкаласыү
11 - кірме қысқыштары
12 - тізбектелген омметрдің шкаласы.
13 - айнымалы тоқ ампервольтметрдің шкаласы.
14 - зауыттың нөмірі.
15 - шығарылған жылы.
16 - түзеткіші бар магнит-электрлік жүйенің белгіленуі.
17 - айнымалы тоқ ампервольтметрдің дәлдік классы.
18 - орнатылған фарафметрдің дәлдік классы.
19 - стандарттар белгісі.
20 - шығарылған зауыттың фирмалық белгісі.
21 - механикалық корректордың винті.
22 - Айнымалы резистордың, орнатылған омметрдің және фарадометрдің тұтқасы.
«Біріккен аспаппен өлшеу»
Қауіпсіздік шаралары:
1. 30 В кернеуі бар тізбекті өлшеген кезде жалпы қауіпсіздік ережелерін атқару қажет. Өлшеуді аспаппен бірге берілетін щуповтардың көмегімен жүргізеді. Щупомен өлшегенде бір қолымен өлшеу керек, ал екінші қол бос тұру керек, бұл электрлік тоқ адам ағзасынан өтпеу үшін жасалатын шара.
2. 200 . . . 300 В кернеуі бар тізбекті өлшеген кезде басқа адамдар қасында түру қажет.
3. Кедергіні өлшеу тек тоғы жоқ электр тізбегінде өткізілуі қажет.
4. 150 . . . 245 В кернеуі бар, 50 Гц жиілігі бар айнымалы тоқ тізбегі қоректендіру көзінің сыйымдылығы үшін қолданылады, сондықтан ең алдымен өлшеу схемасын жинап содан соң оны қоректендіру көзіне қосу қажетү
5. Тоқты және кернеуді өлшеген кезде өлшеу шегін өзгертпеу керек, өйткені аспапқа өлшеу объекті қосылып тұрса, онда қосып өшірудің өлшеу шегінің контактілері қызып жанып кетуі мүмкін.
6. Аспаптың комплектіне кіретін сымдарды ғана қолдану қажет.
Өлшеу реті: Нақты және тура өлшеу нәтижелерін алу үшін және жұмыс кезінде аспаптың бұзылуларын білу үшін мына ережелерді сақтау керек.
1. Аспапты көлденең қалыпқа келтіру.
2. Аспаптың бағдаршасын механикалық корректор арқылы шкаланың нөлдік мәніне орнату.
3. Қорғау автоматтары бар аспаптардың автоматтарының жұмыс істеуін техникалық көрсетулері арқылы тексереді.
4. Жұмысты өшіріп қосу құрылғысын мына қалыпқа келтіру: «-», «~», «Г х », «С х ».
5. Өшіріп-қосу өлшеу шегін белгілі өлшеу көлеміне сүйеніп орналастыру, ал өлшеу көлемі белгілі болмаса, онда өлшеу шегінің максимал мәніне орнату керек.
6. Қосу сымдарын аспаптың қысқыштарына жалғау. «Х» белгісі бар қысқыш аспаптың басты қысқышы болып есептеледі.
7. Егер өлшеу кезінде омметр мен фарадометрді қолданған кезде аспапты әр кез сайын таңдалған өлшеушегіне келтіріп тұру керек. Параллель омметр: сымдардың қосылмаған күйінде «Уст. О» тұтқасы арқылы бағдаршаны «∞» белгіге орнату керек, содан соң сымдардың бос ұштарын жалғап, баңдаршаның «0» белгіге орнатылуын бақылау, бұл омметрдің дұрыс жұмысын дәлелдейді және сымдардың жұмысқа жарамдылығын көрсетеді. Тізбекті омметр: сымдар щуптарын тұйықтап және «Уст. О» тұтқамен аспаптың бағдаршасын «0» деген белгіге орнату керек.
8. Аспапты өлшеу тізбегінің тізбегіне көмекші сымдар арқылы жалғау керек. Егер тұрақты тоқты және кернеуді өлшеген кезде басты қысқышты «Х» объектің кері полюсіне қосу керек. Егер айнымалы тоқты және кернеуді өлшеген кезде басты қысқышты ең аз потенциалы бар нүктеге немесе объектің корпусына қосады.
9. Аспаптың бағдаршасы керекті соңғы шкаланың үшіші бөлігінде тұру үшін, өлшеу шегін дұрыс таңдау керек. Егер кедергіні және сыйымдылықты өлшеген кезде баңдарша-шкаланың ортасында тұруы керек.
10. Көрсеткіштерін жазып алып, сымдарды өлшеу тізбегіне ажырату.
11. X өлшеу көлемін есептеу және ∆Х формуласы арқылы өлшеу қателіктерін анықтау.
Тұрақты және айнымалы тоқ пен кернеу үшін:
Х=
∆X=
мұндағы X N = өлшеу шегінің таңдалған мәні. N - соңғы санына байланысты аспаптың шкаласының барлық бөлу саны, а - бөлудегі аспаптың көрсеткіші.
4 - аспап шкаласындағы дәлдік классы, ол шкаладағы тоқтың мәніне немесе өлшеу көлемінің түріне байланысты болады.
Сыйымдылық пен кедергі үшін:
Х=Х
0
М, ∆Х=
мұндағы: X0= аспап шкаласынан алынған көрсеткіш; М - көбейткіш (өшіріп-қосу - өлшеу шегінің жағдайы), V - дәлдік классы, L - шкаланың жұмыс бөлігінің ұзындығы, мм, l - бірге қосылған бөлімдердің арасындағы шкаланың ұзындығы, аспап бағдаршасының тоқтаған жері, мм, С - көбейткішті ескере отырып, шкала бөлігінің өлшемі бірлігінің көлемінің құну. L аспаптың құжатынан алынады, ал l мәні сызғыш арқылы өлшенеді. Өлшеу нәтижелері А=Х±∆Х формуласы арқылы жазылады. Өлшеу көлемінің сандық мәні Х соңғы саналы разряды, ∆Х қателіктердің мәніне сәйкес келуі керек.
12. Аспапты бастапқы қалыпқа келтіру, бұл үшін аспаптың қысқыштарындағы сымдарды ажырату, өшіріп-қосу өлшеу шегін кернек бойынша шкаланың максимал шегіне қойылады, өшіріп-қосу жұмыс тоғын «~» жағдайға келтіру. Бұл аспапты келесі өшіріп-қосулар кезінде зақымдалулардан сақтайды, аспап дұрыс қосылса да сақтап тұрады.
«Электронды осциллограф арқылы импульстердің және тоқтамайын дабылдардың параметрлерін өлшеу»
1. Уақыт аралығын өлшеу радиоэлектронды аспаптарда және автоматикада кең қолданылады, тоқтамайтын дабылдарды тоқтайтын дабылдарға түрлендіру, тоқтамайтын көлемдерді сандық кодтың нәтижесіне түрлендіру үшін, уақыт аралығында өлшеу көлемінің аралық түрленуі қолданылады.
«Уақыт аралығын өлшеу тәсілдері»
1. Уақытша ашу тәсілі.
Бұл тәсілде уақыт аралығын осциллограф аспбы арқылы өлшейді. Тағы да қосымша арнайы аспаптар қолданылады.
Өлшеу осциллографтары әр-түрлі формалы және полярлы импульстерді бақылауға және импульстің ұзақтығын өлшеу үшін қолданылады.
2. Уақыт аралығының сандық кодқа айналу тәсілі. Өлшенетін уақыт аралығы ∆t үлгілі дискреттік аралықпен салыстырады, ол уақыт бірлігін алуға, бұл өлшенген аралық белгілі период импульстерімен толтырылады, ∆t уақыт аралығы оған потенциал жағын сандық импульске түрлендіреді, олар электр санағышпен есептеледі.
Схемада көрсетілген аспап арқылы өлшеу тәсілі жиі қолданылады.
«Триперлік схеманы құрастыру!»
Трипердің 2 қалпы 0 және 1 шығқа кернеулері бойынша құрастырылады. Ең басында трипер 0 қалыпта тұрады, сонымен қатар генератор импульстері уақытша селектордың кірмесіне беріледі, олар санағышқа өтпейді, өйткені 2 кірмеде рұқсет етілген кернеу өлшеу басында болмайды. Тоқ кірмеге беріледі тіреу импульсі көтеріледі, бұл импульс интервалға (аралыққа) ∆t сәйкес келеді, трипер 0-ден 1-ге өлшеу құраушысын түрлендіреді. Шықпа кернеу лезде көбейіп аралық импульс қайтадан трипердің көмегімен 0 қалыпқа түрленеді, U қиықпа лезде құлайды.
Соның нәтижесінде П импульс пайда болады, оның ұзақтығы өлшенген уақыт аралығына тең болады. Бұл импульс селектордың кірісіне беріледі, осы импульстің әрекет уақытында, санағыш генератордың импульстерін санайды. Импульстер саны санағыштың жадында қалады және сандық индикация жүйесінде бақылайды, ол уақыт аралығына сәйкес келеді.
m=
∆tf
cr
мұндағы: f cr - генератордың есептеу импульстерінің зерттеу жиілігі, m - импульстер саны.
∆t=
«Фазалық қалуларды өлшеу»
Бұл өлшеулер сүзгілерді, күшейткіштерді, трансформаторларды зерттеу үшін керек. Фазалық қалу - бірдей жиілікті дабылдардың 2-ші гармоникалық фазалар басының әр түрлілік модулі.
Фазалық қалуларды өлшейтін аспаптар фазометрлер немесе фазалық қалулар өлшегіш деп аталады.
Фазалық қалуларды импульстар арасындағы уақыт аралығына түрлендіру тәсілдері
... жалғасы- Іс жүргізу
- Автоматтандыру, Техника
- Алғашқы әскери дайындық
- Астрономия
- Ауыл шаруашылығы
- Банк ісі
- Бизнесті бағалау
- Биология
- Бухгалтерлік іс
- Валеология
- Ветеринария
- География
- Геология, Геофизика, Геодезия
- Дін
- Ет, сүт, шарап өнімдері
- Жалпы тарих
- Жер кадастрі, Жылжымайтын мүлік
- Журналистика
- Информатика
- Кеден ісі
- Маркетинг
- Математика, Геометрия
- Медицина
- Мемлекеттік басқару
- Менеджмент
- Мұнай, Газ
- Мұрағат ісі
- Мәдениеттану
- ОБЖ (Основы безопасности жизнедеятельности)
- Педагогика
- Полиграфия
- Психология
- Салық
- Саясаттану
- Сақтандыру
- Сертификаттау, стандарттау
- Социология, Демография
- Спорт
- Статистика
- Тілтану, Филология
- Тарихи тұлғалар
- Тау-кен ісі
- Транспорт
- Туризм
- Физика
- Философия
- Халықаралық қатынастар
- Химия
- Экология, Қоршаған ортаны қорғау
- Экономика
- Экономикалық география
- Электротехника
- Қазақстан тарихы
- Қаржы
- Құрылыс
- Құқық, Криминалистика
- Әдебиет
- Өнер, музыка
- Өнеркәсіп, Өндіріс
Қазақ тілінде жазылған рефераттар, курстық жұмыстар, дипломдық жұмыстар бойынша біздің қор #1 болып табылады.

Ақпарат
Қосымша
Email: info@stud.kz