Толқындық оптиканың негізгі заңдары


Қазақстан Республикасының білім және ғылым министрлігі
Павлодар мемлекеттік педагогикалық институты
Толқындық оптиканың негізгі заңдары
Павлодар 2006
Тақырып 1. Кіріспе. Жарықтың табиғаты жайындағы ілімнің дамуы
Тақырып 2. Жарықтын электромагниттік теориясы
Тақырып 3. ЖАРЫҚТЫҢ ИНТЕРФЕРЕНЦИЯСЫ
Когерент толқындар туралы
Юнгтың тәжірибесі
Френельдің тәжірибелері
Тақырып 4. НЬЮТОН САҚИНАЛАРЫ
Тақырып 5. ЖАРЫҚТЫҢ ДИФРАКЦИЯСЫ
Дифракция кұбылысы
Гюйгенс-Френель принципі
Параллель сәулелердің дифракциясы
Дифракциялық решеткалар
Тақырып 1. Кіріспе. Жарықтың табиғаты жайындағы ілімнің дамуы
Оптика - физика ғылымының дербес салаларының бірі. Oптикада жарық пен рентген сәулелерінің, табиғаты мен қасиеттері және олардың затқа ететін әсерлері қарастырылады.
Оптикалық құбылыстардың кейбіреулері ерте заманнан-ақ мәлім; мысалы, жарықтың түзу сызықпен таралуы, оның шағылуы, сынуы ежелден белгілі. Жарықтың біртекті ортада тузу сызық бойымен таралу заңы мен жарықтың айнадан шағылу заңы біздің эрамыздан бұрынғы III ғасырда өткен ертедегі грек ғалымы Евклидтің еңбектерінде кездеседі. Жарықтың мөлдір екі ортаның шекарасында сыну кұбылысы ертедегі грек ғалымы Apиcтотельге (б. э. д. 384-322 ж. ) мәлім болған. Жарықтың сыну заңын біздің эрамыздың бас кезінде өмір сүрген - Александриялык астроном K. Птолемей (70-147ж. ) дәлелдемек болып талаптанған, бірақ оны XVII ғасырдың басында Голландия физигі B. Снелиус тағайындады. Оптиканың негізгі заңдарын (жарықтын түзу сызықпен таралу заңын, оның шағылу және сыну заңдарын т. т. ) ұғыну үшін және оптикалык кұбылыстарды түсіну үшін жарықтың табиғаты туралы белгілі пікір болуы тиіс. Ондай пікірлерді кезінде ерте заман ғалымдары да ұсынды, бірақ ғылымның дамуымен қабат жарықтың табиғаты жайындағы ой-пікір өзгеріп дамып отырды. Біз ондай пікірлердің тым көнелеріне тоқталмай, тек ғылымның дамуына себепші болған беріректе шыққан жарық теорияларын ғана шолып өтеміз.
XVII ғасырдың аяқ кезінде жарықтың табиғаты жайында екі түрлі ғылыми түсінік болды. Олардың біреуі - жарықтың корпускулалық теориясы, екіншісі - жарықтың толқындық теориясы.
Жарықтың корпускулалық теориясын тұжырымды етіп баяндаған - ағылшынның атақты ғалымы И. Ньютон (1672 ж. ) Бұл теория бойынша, жарық дегеніміз - жарқырауық денелерден ұшып шыққан жарық бөлшектерінің (корпускулалардың) ағыны. Ньютонша, жарық белшектері инерция заңына лайык, түзу сызық бойымен қозғалады, сондықтан жарық біртекті ортада түзудің бойымен таралады; айнаға түскен жарық белшектерінің шағылуы серпімді қабырғаға соғылған кәдімгі серпімді шардың шағылуына ұқсас, яғни шағылу бұрышы түсу бұрышына тең; екі мөлдір ортаның шекарасында жарықтың сыну себебі жарық белшектері сындырушы ортаның бөлшектеріне тартылады, coның салдарынан бірінші ортадан екінші ортага өткенде жарық бөлшектерінің жылдамдығы өзгереді, сонда бірінші ортадан гөрі екінші орта тығыздау болса, жарық бөлшектерінің жылдамдығы артады. Демек, бірінші ортадағы жарық жылдамдығы (
) екінші ортадағы жарық жылдамдығынан (
-ден) кем болады. Корпускулалық теория бойынша жарықтың сыну көрсеткіші (
) жарықтың екінші ортадағы жылдамдығының бірінші ортадағы жылдамдығының қатынасына тең, яғии
, мұндағы
<
. Бірақ Ньютонның тұсында бұл қорытынды тәжірибе жүзінде тексерілген емес; өйткені ол кезде жарықтың тек планеталар apaлығында таралу жылдамдығы шамамен 3 км/с екендігі ғана мәлім болатын (O. P ё м е р, 1676 ж. ) . Жарықтың суда таралу жылдамдығы шамамен 225000 км/с екендігі 1850 жылы табылды (Л. Ф у ко) . Демек жарықтың судағы жылдамдығы ayaдағы жылдамдығынан кем. Жарық ауадан суға өткендегі сыну көрсеткіші 1, 33-ке тең, яғни 1-ден артық екендігі тәжірибеден мәлім. Демек Ньютонның жарық сыну көрсеткіші жайындағы қорытындысы дұрыс емес. Бұл теорияның бұдан да басқа кемшіліктері бар. Сондықтан бұл теория кезінде жарықтың бірден-бір теориясы бола алмады. Сол кездің өзінде-ақ Голландия ғалымы X. Гюйгенс (1678 ж. ) бірқатар дыбыс кұбылыстары мен жарық құбылыстарын салыстыра отырып, жарықтың толқындық теориясын ұсынды. Бұл теория бойынша жарық дегеніміз ерекше серпімді ортада (эфирде) таралатын толқындық процесс. Гюйгенстің пікірінше жарық та, дыбысқа ұқсас сфералық беттер жоне толқындар түрінде таралады. Сонда жарық толқындары эфирде таралатын механикалық серпімді тербелістер болып табылады.
Толқындық бет жеткен әрбір нүкте элементар толқындардың дербес көзі болады; сол элементар толқындарды ораушы бет жаңа толқындық беттің орнын көрсетеді ( Гюйгенс прииципi ) . Толқындық беттерге тік жүргізілген түзулер жарық таралатын бағытты керсетеді.
Жарықтың табиғаты жайындағы осы пікірді орыстың атақты ғалымы M. B. Ломоносов та жақтады. Гюйгенс осы принципке сүйеніп жарықтың шағылу және сыну зандарын, сондай-ақ жарықтың қосарланып сынуын да дұрыс түсіндірді. Толқындық теория бойынша жарықтың сыну себебі жарық бір ортадан екінші ортаға өткенде оның жылдамдығы өзгереді. Мысалы тығыз емес ортадан (ауадан) тығыздау ортаға (суға) өткенде жарық жылдамдығы кемиді, сонда тығыздау ортаның жарық сыну көрсеткіші (n) жарықтың тығыз емес ортадағы
жылдамдығының тығыздау ортадағы жылдамдығына қатынасына тең, яғни
, мұндағы
>
. Сыну керсеткіші жайындағы бұл қорытындының дұрыс екендігі кейін тәжірибе жасалып дәлелденді. Coнымен жарық сындыру көрсеткішінің мазмұнын толқындық теория дұрыс баяндайды. Бірақ бүл теория осы күйінде жарықтын түзу сызық бойымен таралу заңын түсіндіре алмады. Сонымен қабат «жарық таралатын серпімді орта-эфир бар», деп болжау көңілге қонбады. Өйткені Гюйгенстің пікірінше барлық материялық денелер мен олардың аралырындағы кеңістік эфирге толы, эфирдің қасиеттері қатты денелердің кейбір қасиеттеріне ұқсас болса, неге қозғалған денелердің әлемдік эфирге үйкелісі білінбейді, деушілер болды. Сөйтіп XVIII ғасыр бойы жарықтың корпускулалық және толқындық теорияларының арасындағы тартыс тоқталмады. XIX ғасырдың бас кезінен бастап қана толқындық теория үстем бола бастады. Бұл жөнінде T. Юнгтың және O. Френельдің зерттеулері маңызды роль атқарды. Ағылшын физигі T. Юнг (1801 ж. ) жарықтың интерференция құбылысы туралы жаңа идеялар айтты. Ол бұл құбылысты жарықтық толқындарының бір-бірімен қосылысуының нәтижесі деп ұғынды, ол жұқа пластинкалардың бетінде байқалатын әр түсті дөңгелекшелердің, яғни Ньютон сақиналарының пайда болуын осы тұрғыдан қарастырып түсіндірді. Ол бірінші рет интерференция әдісін қолданып, көрінетін жарық сәулелері толқындарының ұзындығын өлшеді. Белгілі француз физигі O. Френель (1815 ж. ) Гюйгенстің принципіне элементар толқындардың интерференциялану принципін қосты. Сөйтіп, Гюйгенс-Френель принципі шықты. Френель осы принципке сүйеніп жарықтың түзу сызық бойымен таралуын қанағаттанарлық дәрежеде түсіндірді. Сонымен қабат ол осы Гюйгенс-Френель принципі негізінде жарыктың дифракция құбылысын да (жарықтың кішкене бөгетті орап өтуін де) дұрыс түсіндірді. Француз физигі Э. Малюс (1809 ж. ) байқаған жарықтың поляризация құбылысын Юнг (1817 ж. ) жарық толқынының тербелістері көлденең тербелістер деген ұғымға сүйене отырып түсіндірді. Сонымен XIX ғасырдың басында Юнг пен Френельдік зерттеулерінің нәтижесінде жарықтың толқындық теориясы жарыктың корпускулалық теориясын біржола жеңді. Көпшілік толқындық теория жағына шықты. Сөйтіп жарық ерекше серпімді ортада-эфирде-көлденең тербелістер түрінде таралады деген тұжырым жасалды. Жарықтың толқындық теориясы кезінде көптеген оптикалык құбылыстарды түсіндіре алғанмен, жарықтың бұл теориясы да елеулі қиыншылықтарға кездесті. Мәселенің ең қиыны жарық таралатын cepпімді ерекше орта - эфирде болды. Әйткені тәжірибеге қарағанда жарық толқындары көлденең толқындар болуға тиіс. Көлденең тербелістер тек қатты денелерде ғана тарала алады. Сондықтан эфирдің қасиеттері қатты дененің қасиеттеріндей деп ұйғаруғa тура келді. Ал көлденең серпімді толкындардың қатты денеде таралу жылдамдығы (v) сол дененің ығысу модулінің (N) оның тығыздығына (
) қатынасының квадрат түбіріне тең, яғни
, сонда бұл жылдамдық жарық жылдамдығындай (c= 300 000 км/c) өте үлкен шама болуы үшін
өте-мөте аз, N тым үлкен болуға тиіс, демек эфир тығыздығы өте аз, ығысу модулі өте үлкен серпімді тұтас орта болуы керек, осындай тұтас ортаның болуы мүмкін емес, өйткені бұл қасиеттер біріне-бірі қайшы. Сондықтан кезінде жарықтың серпімді тoлқындық теориясына қарсы пікірлер де болды. Екінші жағынан, бұл теорияның көлемінде жарық құбылыстары басқа физикалық құбылыстармен байланыссыз жеке қарастырылды. Дұрысында, табиғат құбылыстары бір-біріне тығыз байланысты. Сөйтіп, серпімді толқындық теория да бірден-бір жарық теориясы бола алмады.
XIX ғасырдың алпысыншы жылдарында ағылшынның атақты физигі Дж. Mакcвелл электромагниттік құбылыстардын теориясын дамыта келіп, айнымалы электромагниттік өріс кеңістікте бір орында тұрмай, барлық жаққа таралатындығын, оның вакуумда таралу жылдамдығы токтың электромагниттік өлшеу бірлігінің электростатикалық бірлігіне қатынасына тең екендігін дәлелдеді; ал бұл қатынастың шамасы жарықтын вакуумдағы жылдамдығына (
см/с-ке) тең екендігі бұрыннан мәлім болатын (Вебер мен Кольрауш, 1856 ж. ) . Сөйтіп, электромагниттік өрістің таралу жылдамдығы жарыктың таралу жылдамдығына тең болып шықты. Максвелл бұдан 1865 ж. ) электромагннттік толқын мен жарықтың табиғаты бір, яғни жарык, дегеніміз электромагниттік толқындардың дербес түрі деген корытынды жасады. Көп ұзамай-ақ неміс физигі Г. Герц (1888ж. ) тәжірибе жасап электромагниттік толқындар мен жарықтың негізгі қасиеттерінің ұқсас екендігін дәлелдеді. Жарықтың электромагниттік теориясы заттың оптикалық, электрлік магниттік тұрақтыларының арасындағы байланыс бар екендігін тағайындады. Бірақ бұл теория жарықтың затта таралу ерекшеліктерін, атап айтқанда, заттың жарық сыну кәрсеткішінің жарық толқынының ұзындығына тәуелділігін (жарық дисперсиясын) түсіндіре алмады. Бұл мәселелерді электрондық теорияға сүйене отырып дұрыс түсіндіруге болады (Г. Л. оренц, 1896ж. ) .
Жарықтың электромагниттік толқын екендігі тағайындалумен қабат «серпімді эфир» гипотезасы кәдеге аспай қалып, оның орнына жарық таралатын, «электромагниттік эфир» болуға тиіс дейтін гипотеза шықты. Бірақ салыстырмалылық теориясы шыққаннан соң (A. Эйнштейн, 1905 ж. ) жарық таралатын эфир бар деуде ешбір мағына жоқ екендігі айқын болды.
Жарықтың электромагниттік теориясы XIX ғасырдың аяғы мен XX ғасырдың бас кезінде оптиканың көптеген мәселелерін дұрыс түсіндіргенмен, бірқатар құбылыстарды, мысалы, жарық шығару және жарық жұту құбылыстарын, фотоэлектрлік құбылысты т. т. толық түсіндіре алмады.
Неміс физигі M. Планк 1900 жылы абсолют қара дененің сәуле шығару заңын қорытып шығарды, сонда ол жарық шығаратын осцилляторлар (атом құрамындағы электрондар) тербелгенде сәулелік энергия белгілі мөлшерде үздік-үздік, порция-порция болып шығуға тиіс деп ұйғарды. Ол энергияның осындай порциясын (бір шөкім мөлшерін) квант деп атады. Планкше энергия кванты (
) жарықтың тербеліс жиілігіне (
-гe) пропорционал:
, мұндағы
бұл шама Планк тұрақтысы деп аталады. Энергия кванттары жайындағы идея физикаға үлкен өзгеріс енгізді, кванттық теорияға негізделіп бұрын түсініксіз құбылыстар түсіндірілді. Мысалы, 1905 жылы атақты физик. А. Эйнштейн жарық дара энергия кванттары түрінде жұтылуға тиіс деп болжап, фотоэлектрлік кұбылыстың негізгі заңдарын түсіндірді. Эйнштейн кейін жарык дегеніміз квантттар ағыны, әрбір жарық квантының энергиясы
деп жорыды. Жарық кванттары қазір фотондар деп аталады да, жарықты кванттар - фотондар ағыны деп ұғынатын теория жарықтың фотондық теориясы деп аталады. Совет физиктері A. Ф. Иоффе мен H. И. Добронравов (1924 ж. ) тәжірибе жасап peнтген сәулелерінің кванттарының бар екендігін тікелей дәлелдеді. Белгілі совет физигі C. И. Bавилов 1930 жылдары әлсіз жарық ағындарының флуктациясын (толықсуын) тәжірибе жасап бақылап, жарықтың кванттық табиғатын қуаттады.
Сөйтіп, XX ғасырдың басында жарықтың электромагниттік теориясына жарықтық фотондык теориясы қосылды. Сонымен, жарықтың әрі толқындық, әрі корпускулалық касиеттері бар; жарықтың табиғаты екі жақтылы. Осындай екі жақтылы қасиеттер кәдімгі заттық элементар бөлшектеріне де тән. Осындай көз-карасты белгілі француз физигі Л. де-Бройль (1924 ж. ) ұсынды. Бұл пікір кейін (1928-30 ж. ) тәжірибе жасалып дәлелденді. Үстірт қарағанда жарықтың фотондық теориясы бұрынғы Ньютон өрбіткен корпускулалық теорияға ұқсас сияқты. Бірақ ол тұрпайы ұқсастық, өйткені caпa жағынан алғанда фотон заттың кәдімгі бөлшектерінен езгеше, ерекше «бөлшек»; салыстырмалылық теориясы бойынша, фотонның белгілі массасы болғанмен, оның «тыныштықтағы массасы» нольге тең, барлық фотондардың жылдамдығы бірдей (с=
см/с) . Атомдар ядролары өрісінде болған кейбір процестер нәтижесінде жapық кванты (фотон) жойылып, оның орнына екі элементар бөлшек - электpон және позитрон (оң зараядты бөлшек, массасы мен зарядының мөлшері электрондікіндей) пайда болады. Бұған кері процесс те мәлім: электрон мен позитрон бірігіп жойылып кетіп, оның есесіне екі фотон пайда болады. Сөйтіп фотонның, заттың кәдімгі бөлшектері сияқты, массасы, импульсі, энергиясы бар; фотон элоктрон мен позитронға айнала алады, фотон электрон мен позитроннан түзіле алады. Демек жарық-материяның бір формасы, онда материяның барлық негізгі қасиеттері бар. Бірақ жарық материя болғанда оның материяның басқа формаларынан (электрондардан, позитрондардан, атомдардан т. т. ) ерекшелігі сол - жарықтың тыныштықтағы массасы жоқ.
Тақырып 2. Жарықтын электромагниттік теориясы
Максвелл теориясы бойынша кеңістіктің бір нүктесінде магнит өрісінің кернеулігі (H) өзгерсе, сол нүктені қоршаған кеңістікте айнымалы электр өрісі (E) қозады. Сондай-ақ кеңістіктің бір нүктесінде электр өрісінің кернеулігі өзгерсе, ол нүктені қоршаған кеңістікте айнымалы магнит өрісі пайда болады. Сөйтіп электр және магнит өрістері өзара іліктес, олардың бірі өзгерсе, екіншісі де өзгереді. Кернеуліктері периодты түрде өзгеріп отыратын электр және магнит өрістерінің жиыны әдетте электромагниттік өріс деп аталады. Айнымалы электромагниттік өріс кеңістікте бір орында тұрмайды, барлық жаққа таралады. Осылай кеңістікте таралған айнымалы электромагниттік өріс электромагниттік толқын түзеді. Максвеллдің теориясы бойынша электр өрісі кернеулік векторы мен магнит өpicі кернеулік векторының бағыттары бір-біріне перпендикуляр, сонымен қабат олар электромагниттік толқындардың таралу бағытына да перпендикуляр болады. Максвелл айнымалы электр өрісі және магнит өрісі кернеуліктері арасындағы байланысты дифференциалдық тендеулер түрінде өрнектеді. Егерде біртекті диэлектрик opтадағы, электромагниттік өрістін E және H векторлары тек бір координатаға (мысалы х-ке) және уақытқа ғана тәуелді болса, онда Максвеллдің теңдеулерін СИ - системасында мына түрде жазуға болады:
мұндағы
мен
- ортаның электрлік және магниттік өтімділіктері,
мен
- вакуумның электрлік және магниттік тұрақтылары. Осы теңдеулердің бірінші тобына қарағанда электр өрісі кернеулігінің
құраушысы уақытқа байланысты өзгергенде магнит өрісі кернеулігінің тек Z осі бойынша бағытталған
құраушысы пайда болады, сондай-ақ магнит өрісі кернеулігінің
кұраушысы уақытқа байланысты өзгергенде тек у осі бойымен бағытталған электр өрісі кернеулігінің
құраушысы пайда болады. Демек электр өрісі у осіне, магнит өрісі Z осіне параллель. Сөйтіп электромагниттік өрістің электр өрісі мен магнит өрісі кернеуліктері бір-біріне перпендикуляр. Максвслл теңдеулерінің екінші тобынан да дәл осындай қорытынды жасауға болады. Жалпы электр өрісі бір осьтің бойымен бағытталган болса, магнит өрісі оған перпендикуляр ось бойынша бағытталады. Осы айтылғанға сүйеніп
=
,
=0,
=
,
=0 деп санасақ, Максвеллдің теңдеулері мына түрде жазылады:
(1)
Енді E мен H шамаларының әрқайсысы үшін дифференциалдық теңдеу жазуға болады. Ол үшін, (1) тендеулердің біріншісінің екі жақ бөлігін де
-ге көбейтіп, одан соң оны
бойынша дифференциалдаймыз, сонда:
Екінші теңдеуді
бойынша дифференциалдаймыз:
Бұл екі теңдеудің оң жақтағы бөліктері бірдей, олай болса сол жақ бөліктері де тең болмақ, демек:
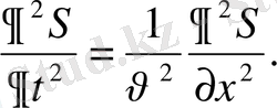
(2)
Дәл осылайша магнит өрісі кернеулігі үшін де осындай теңдеу жазуға болады:
(2а)
Бұл теңдеулер электромагниттік өрістің толқындық қозғалысын көрсететін дифференциалдық теңдеулер. Бұған көз жеткізу қиын емес. Егер
деп белгілесек, онда (2) теңдеу былай жазылады:
(3)
Осы (3) теңдеу - х осінің бойымен
жылдамдықпен таралатын жазық толқынның дифференциалдық теңдеуі болады. Өйткені аргументі
немесе
болып келген кез келген f функция (3) теңдеудің шешуі бола алатыны мәлім:
сонда (2) теқдеудің шешуі
(4)
бола алады. Сөйтіп электр өрісі
E
, сондай-ақ магнит өрісі
H
де х осінің бойымен
жылдамдықпен таралады.
Сонымен, электромагниттік толқынның диэлектрик ортада таралу жылдамдығы мынаған тең:
(5)
мұндағы
вакуумның
олай болса
сөйтіп с-электромагниттік толкынның вакуумдағы жылдамдығы болады.
Халықаралық система (СИ) бойынша:
Сонда
Сөйтіп, электромагниттік толқынның вакуумда таралу жылдамдығы жарықтың жылдамдығына тең. Демек, жарық пен электромагниттік толқынның табиғаты бір. Кейін бұдан басқа деректер де жарықтың электромагниттік табиғатын растады. 1947 жылы электрондар бетатрон ішінде өте зор жылдамдықпен үдей қозғалғанда көрінетін жарық шығатындығы тағайындалды (совет физиктері Д. Д. Иваненко, И. Я. Померaнчук, американ физиктері Блюит, Поллок т. б. ) . Осылай бетатрон ішінде үдей қозғалған шапшаң электрондардың жарық шығаруы жарықтың ақиқат электромагниттік толқын екендігін көрсетті.
Жарықтың электромагниттік теориясы заттың электрлік, магниттік және оптикалық қасиеттерінің бір-бірімен байланысты екендігін тағайындады. Расында (5) теңдеу бойынша ортаның абсолют жарық сындыру көрсеткіші (n) мынаған тең:
(6)
Бұл теңдіктен ортаның оптикалық, электрлік және магниттік тұрақтылары өзара байланысты екендігі көрініп тұр. Сутегі, азот сияқты газдар, бензол, толуол сияқты сұйықтардың ғана осы (6) формула бойынша есептеліп шығарылған сыну көрсеткіштері олардың тікелей тәжірибе жасап табылған сыну көрсеткіші мәніне дәл келеді. Өзге заттардікі дәл келмейді.
Электр өрісі кернеулігі мен магнит өрісі кернеулігі өзара байланысты, олардың шамаларының арасында байланысты Максвеллдің теңдеулерінің көмегімен табуға болады. Біз оның дәлелдеуіне тоқталмай, тек нәтижесін келтіреміз:
(7)
Бұл теңдікке қарағанда E мен H бір-біріне пропорционал, бұлар берілген нүктеде өздерінің максимум мәндеріне бір мезгілде жетеді және бір мезгілде нольге айналады. Толқынның электр және магнит өрістерінің тербелу фазалары бір. Е мен H векторларының бағыттары бір-біріне перпендикуляр және олар толқын жылдамдығы (x) бағытына да перпендикуляр.
Электромагниттік толкынның кернеулігі уақытқа байланысты периодты түрде өзгеретін болып, мысалы толқын х осінің бойымен таралсын да (7) тендеудің шешуі болатын
функция синусоидалық (не косинусоидалық) функция болсын. Сонда толқынның электр өрісі кернеулігін (4) формулаға сәйкес былай өрнектеуге болады:
(8)
мұндағы
- өріс кернеулігі амплитудасы,
мен
- өріс кернеулігінің тербеліс периоды мен тербеліс жиілігі. (8) өрнек (2) теңдеудің дербес шешуі,
осі бойымен
жылдамдықпен таралған жазық толқынның теңдеуі болады. Осы өрнектегі синустың аргументі
- тербеліс фазасы делінеді. Егер екі нүктеде болған тербеліс фазаларының айырмасы
-ға тең болса, ондай екі нүктенің арақашықтығы электромагниттік толқын ұзындығы
делінеді. Толқын ұзындығы тербелістің бір периоды ішінде толқын таралатын қашықтыққа тең:
(9)
мұндағы
- толқын жылдамдығы. Сонда (3. 8) теңдеуді былай жазуға да болады:
(10)
Осы (8) немесе (10) өрнектермен кескінделген толқынның тербеліс периоды мен тербеліс жиілігі уақытқа байланысты өзгермейді, сондықтан осындай толқындар монохромат толқындар деп аталады. Дәлірек айтқанда монохромат толқынның тек периоды ғана емес, оның амплитудасы және бастапқы фазасы да уақытқа байланысы жоқ тұрақты шамалар болулары тиіс.
Электромагниттік толқын өрісінің энергиясы болады. Электромагниттік толқын таралғанда оған қосыла энергия таралады. Сонда толқын жылдамдығына перпендикуляр
беттен 1 секундта электромагниттік толқын алып өтетін энергия мөлшері, яғни Умов-Пойнтинг векторымен кескінделеді, оның сан мәні
энергияның көлемдік тығыздығы
мен толқынның таралу жылдамдығы
көбейтіндісіне тең, яғни
(11)
Мұндағы электромагниттік толқын өрісі энергиясының көлемдік тығыздығы:
Егер (7) теңдікті еске алсак, онда
Ал электромагниттік толқынның таралу жылдамдығы
.
Егер
мен
мәндерін (11) формуладағы орындарына қойсақ Умов-Пойнтинг векторының шамасы мынаған тең болады:
S = EH . (12)
... жалғасы- Іс жүргізу
- Автоматтандыру, Техника
- Алғашқы әскери дайындық
- Астрономия
- Ауыл шаруашылығы
- Банк ісі
- Бизнесті бағалау
- Биология
- Бухгалтерлік іс
- Валеология
- Ветеринария
- География
- Геология, Геофизика, Геодезия
- Дін
- Ет, сүт, шарап өнімдері
- Жалпы тарих
- Жер кадастрі, Жылжымайтын мүлік
- Журналистика
- Информатика
- Кеден ісі
- Маркетинг
- Математика, Геометрия
- Медицина
- Мемлекеттік басқару
- Менеджмент
- Мұнай, Газ
- Мұрағат ісі
- Мәдениеттану
- ОБЖ (Основы безопасности жизнедеятельности)
- Педагогика
- Полиграфия
- Психология
- Салық
- Саясаттану
- Сақтандыру
- Сертификаттау, стандарттау
- Социология, Демография
- Спорт
- Статистика
- Тілтану, Филология
- Тарихи тұлғалар
- Тау-кен ісі
- Транспорт
- Туризм
- Физика
- Философия
- Халықаралық қатынастар
- Химия
- Экология, Қоршаған ортаны қорғау
- Экономика
- Экономикалық география
- Электротехника
- Қазақстан тарихы
- Қаржы
- Құрылыс
- Құқық, Криминалистика
- Әдебиет
- Өнер, музыка
- Өнеркәсіп, Өндіріс
Қазақ тілінде жазылған рефераттар, курстық жұмыстар, дипломдық жұмыстар бойынша біздің қор #1 болып табылады.

Ақпарат
Қосымша
Email: info@stud.kz