Функцияның туындысы. Функцияны бірінші және екінші ретті туындылар арқылы зерттеу


Жоспар:
Кіріспе.
І бөлім. Функция ұғымы.
1. 1. Функция ұғымы, функцияның берілу тәсілдері.
1. 2. Функциялардың негізгі қасиеттері.
1. 3. Негізгі элементар функциялар.
ІІ бөлім. Функцияның нүктедегі шегі.
2. 1. Функцияның нүктедегі шегін есептеудің әдістері.
2. 2. Функцияның шегін есептеуге қажетті формулалар.
ІІІ бөлім. Функцияның туындысы. Функцияны бірінші және екінші ретті туындылар арқылы зерттеу.
3. 1. Өспелі, кемімелі, кемімейтін, өспейтін және тұрақты болып келетін функциялардың белгілері.
3. 2. Функцияның экстремумы.
3. 3. Функцияның графигін оның мінездік нүктелері арқылы салу.
Қорытынды.
Қолданылған әдебиет.
К І Р І С П Е
Мектеп математикасы курсындағы функция ұғымы негізгі ұғымдардың біріне жатады. Функциялық тәуелділік өмірдегі өзгерісті нақты және толық түрде кескіндеуге мүмкіндік береді, ол шамалар арасындағы өзара байланысты түсініп анықтауға үлкен септігін тигізеді.
Функция ұғымы тек математикада ғана емес, басқа оқу пәндерінде де кеңінен пайдаланылады. Өйткені, табиғат құбылыстары арасындағы байланыстар математикалық түрде өрнектелгенде, яғни қарастырылып отырған шамалар арасында функциялық тәуелділік берілгенде ғана, тек сонда ғана нақты заңдылық түрінде тұжырымдама алатындығы белгілі. Сондықтан, мектеп оқушыларының функция ұғымын дұрыс меңгеруіне көп көңіл бөлінуі керек. Функция ұғымының ғылымға енуі Р. Декарттың “айнымалы шама” ұғымымен тығыз байланысты. “Функция” ұғымын ғылымға (XVII ғ-ң аяғында) Г. Лейбниц енгізді. Ол латынның “функтус” деген сөзінен шығып, қазақ тілінде “атқару” деген мағынаны білдіреді.
Табиғат құбылыстарын зерттеу жаратылыстану ғылымдарында кездесетін шамалар ұғымдарына алып келеді. Табиғат құбылыстарын байқау, тәжірибелер арқылы білу, физикалық, химиялық, биологиялық т. б. ғылымдарда кездесетін шамалардың өзара байланыста болатындығын көрсетеді. Мысалы:
1. Өткізгіштің бойымен электр тогы жүргенде, өткізгіш температурасы өзгеріп, жылу пайда болады. Электр тогының күші, өткізгіш кедергісі, уақыт және жылу мөлшерінің арасындағы тәуелділікті байқаймыз. Бұл мысалда электр тогының күші, өткізгіш кедергісі және уақыттың белгілі бір мәніне жылу мөлшерінің бір мәні сәйкес келеді.
2. Белгілі бір биіктіктен өз еркімен түсіп келе жатқан дененің қозғалысын байқап, уақыт пен дененің жүрген жолы ұзындығының арасындағы өзара байланысқа назар аударалық. Мұнда уақыттың әрбір мезетіне жолдың бір тиянақты ұзындығы сәйкес келеді.
Осындай мысалдарды көптеп келтіруге болады.
Анықтама. Егер бір белгілі ереже немесе заңдылық бойынша
жиынындағы
-ң әрбір мәніне
жиынының тиянақты бір
мәні сәйкес келсе, онда
-ті
жиынында анықталған немесе берілген функция деп атайды және оны былай жазады:
т. б. (1)
жиынында өзгеретін айнымалы
-ті тәуелсіз айнымалы немесе функцияның аргументі деп ататйды,
жиынында өзгеретін айнымалы
-ті тәуелді айнымалы немесе функция деп атайды. Тәуелсіз айнымалы немесе аргумент
өзгеретін
жиынын функцияның анықталу облысы деп атайды, ал тәуелді айнымалы немесе функция
өзгеретін
жиыны функция мәндерінің облысы деп аталады. Сонымен, функция, аргумент ұғымдары - өзімізді қоршап тұрған табиғаттың құбылыстарын зерттеудің нәтижесінде пайда болған ұғымдар.
І Бөлім
1. 1. Функцияның берілу тәсілдері және оның негізгі қасиеттері.
Функциялар әр түрлі тәсілдер арқылы берілуі мүмкін. Біз функциялардың кестелік, графиктік және аналитикалқ тәсілдермен берілуіне тоқталамыз.
1. Функцияның кестелік тәсілмен берілуі. Функция кестелік тәсілмен берілген жағдайда алдымен аргумент мәндері алынады да, сонан кейін әр аргументке сәйкес келетін функция мәндері анықталып, кесте құрылады.
функциясы үшін кесте құрамыз:
















Берілген аргументтердің мәндері бойынша функцияның мәндерін анықтау біздерге қиын есеп емес. Алгебра курсынан белгілі:
жағдайы үшін
функцияларының мәндері кесте арқылы анықталған,
аралығында өзгергенде
функциясының мәндері, ал
үшін
функциясының мәндері кесте арқылы анықталған. Логарифмдік функцияның кестесі де функцияның кестелік тәсілмен берілуінің мысалы бола алады.
2. Функцияның графиктік әдіспен берілуі.
Анықтама.
қос сандар жиынын
функциясының графигі деп атайды. Функцияның графигін координаттық жазықтыққа салады. Өзара перпендикуляр екі координаттық түзу және оларға ортақ
координаттар басы орналасқан жазықтықты координаттар жазықтығы дейді. Горизонталь орналасқан түзуді абсциссалар осі деп атайды да,
-пен белгілейді, вертикаль орналасқан түзуді ординаталар осі деп атап,
арқылы белгілейді, ал олардың қиылысу нүктесін координаттар басы дейді, оны
әрпімен белгілейді. Тәуелсіз айнымалы
-ң мәндері абсциссалар осіне салынады. Ал
-ң мәндері ординаталар осінің бойына салынады.
нүктелер жиыны берілсін.
осіне параллель түзулердің кез келгені осы нүктелер жиынын бір ғана нүктеде қиып өтетін болса, онда бұл нүктелер жиыны бір мәнді
функциясын анықтайды (1-сурет) .
1-СУРЕТ
Сонымен, абсциссалары - тәуелсіз айнымалы, ал ординаталары - функция мәндері болып келген
жазықтығындағы
нүктелер жиынын
функциясының графигі деп атайды.
Бір мәнді
функциясының графигі
жазықтығында орналасқан (функцияның анықталу облысына байланысты) біртұтас қисық. Анықталу облысының ішінде
осіне параллель жүргізілген түзулер қисықпен бір ғана нүктеде қиылысады (2-сурет) .
2-СУРЕТ
қисығы -
анықталу облысы болатын функцияның геометриялық кескіні.
3. Функцияның аналитикалық тәсілмен берілуі. Айнымалылар арасындағы сәйкестік формуламен берілсе, онда функция аналитикалық түрде берілді дейді. Төменде берілген функциялар аналитикалық тәсілге мысал бола алады:
1) Тура пропорционалдық тәуелділік -
, мұнда
- тұрақты,
- тәуелсіз айнымалы,
- тәуелді айнымалы.
2) Кері пропорционалдық тәуелділік -
мұнда
- тұрақты,
- тәуелсіз айнымалы,
- тәуелді айнымалы.
3) Сызықтық функция -
, мұнда
және
- тұрақты сандар,
- тәуелсіз айнымалы,
- тәуелді айнымалы.
4) Көрсеткіштік функция -
, мұнда
- тәуелсіз айнымалы,
- тәуелді айнымалы.
5) Логарифмдік функция -
, мұнда
- тәуелсіз айнымалы,
- тәуелді айнымалы.
6) Дәрежелік функция -
мұнда
- кез келген нақты сан,
- тәуелсіз айнымалы,
- тәуелді айнымалы.
7) Тригонометриялық функциялар -
, мұнда
- тәуелсіз айнымалы,
- тәуелді айнымалы.
8) Кері тригонометриялық функциялар -
, мұнда
- тәуелсіз айнымалы,
- тәуелді айнымалы.
Міне, осы функциялардың барлығы - аналитикалық тәсілмен беріліп тұрған функциялар. Осы функциялардың көптеген қасиеттерін білеміз. Анықталу облыстарын және мәндерінің өзгеру облыстарын анықтай аламыз. Графиктерін құра аламыз.
Енді функциялардың негізгі қасиеттеріне тоқталайық.
1. 2. Жұп және тақ функциялар.
Егер
жиынында оның кез келген
элементімен қатар
элементі де бар болса, онда бұл жиын симметриялы жиын деп аталады. Мысалы,
- симметриялы жиындар.
Анықтама. Егер
функциясының анықталу облысының кез келген
үшін
теңдігі орындалса, онда ол жұп функция деп аталады.
Анықтама. Егер
функциясының анықталу облысының кез келген
үшін
теңдігі орындалса, онда ол тақ функция деп аталады.
Мысалы,
- жұп функция, себебі:
- тақ функция, себебі:
Ал
функциясы жұп функцияға да, тақ функцияға да жатпайды, себебі:
Жұп функцияның графигі ордината осіне қарағанда симметриялы қисық болады. Тақ функцияның графигі бас нүктеге қарағанда симметриялы қисық болады.
Мысалы: 1.
; 2.
функцияларының графиктерін салайық.
1.
- жұп функция.


Енді осы нүктелерді координаталар жазықтығына түсірелік. Нүктелерді толқынды қисықпен қоссақ,
параболасы шығады (3-сурет) .
3-СУРЕТ
2.
- тақ функция.


Осы нүктелерді координаттар жазықтығына түсіріп, оларды толқынды қисықпен қоссақ,
кубтық параболасы шығады (4-сурет) .
4-СУРЕТ
Тригонометриялық функциялардан
- жұп функция, ал
функциялары тақ функциялар болып табылады.
Мысалы: а)
; б)
; в)
функцияларын жұп-тақтылыққа зерттеу керек.
Шешуі: а)
, олай болса,
, барлық
үшін функция жұп болады.
б)
, олай болса,
, барлық
үшін функция тақ болады.
в)
, яғни
және
болғандықтан, функция жұп та, тақ та емес.
3. Бірсарынды функциялар.
функциясын
аралығында қарастырайық.
Анықтама. Егер
функциясының анықталу жиынындағы кез келген
сандары үшін
теңсіздігі орындалса, онда
функциясы өспелі функция деп аталады.
Анықтама. Егер
функциясының анықталу жиынындағы кез келген
сандары үшін
теңсіздігі орындалса, онда
функциясы кемімелі функция деп аталады.
Анықтама. Егер
функциясының анықталу жиынындағы кез келген
сандары үшін
болса, онда
функциясын кемімейтін (өспейтін) функция деп атайды.
Мысалы,
және
екі көрсеткіштік функцияларын алайық. Бірінші функцияның негізі
, сондықтан ол өспелі функция болады. Оны анықтама арқылы тексеріп көрсек болады.
деп алайық,
, яғни
, ал
. Өспелі функцияның анықтамасындағы теңсіздік орындалды. Екінші
функциясының негізі
. Бұл жағдайда
, ал
, сонда
. Демек,
функциясы - кемімелі функция. Функциялардың графиктері төмендегідей болады (5-сурет) .
5-СУРЕТ
Өспелі және кемімелі функцияларды және өспейтін функцияларды бірсарынды функциялар деп атайды. Мысалы,
функциясына назар аударсақ,
аралығында функция - кемімелі, ал
аралығында функция - өспелі.
функциясы
аралығында - өспелі функция.
4. Периодты функциялар.
Егер
функциясының аргументі
-ке
санын қосқаннан функцияның мәні өзгермесе, яғни
теңдігі орындалса, онда ол периодты функция деп аталады.
және
нүктелері - функцияның анықталу облысындағы нүктелер.
саны функцияның периоды деп аталады.
Мысалы: а)
функциялары -
периодты функциялар,
. Бұл функциялар үшін
- ең кіші периоды. Сонымен бірге, бұл функциялар -
периодты функциялар, яғни
,
.
б)
функциялары -
периодты функциялар, яғни
,
- бұл функциялардың ең кіші периоды. Сонымен бірге, бұл функциялар -
периодты функциялар, яғни
,
. Тригонометриялық функциялардың периодты функция болатындығын дәлелдеу қиын емес.
функциясының периодтылығын дәлелдейік, яғни
болатынына көз жеткізейік. Ол үшін
формуласын пайдаланамыз. Сонда
, ал
екенін ескерсек,
. Демек,
.
1. 3. Негізгі элементар функциялар.
Элементар функцияларға дәрежелік, көрсеткіштік, логарифмдік, тригонометриялық және кері тригонометриялық функциялар жатады.
1. Дәрежелік функция.
түріндегі функция осылай аталады, мұндағы
- кез келген нақты сан, яғни
болғанда рационал функция
шығады және ол сан түрінде анықталады.
болғанда
және
функциялары шығады. Бұлардың графиктерін тиісінше квадрат және кубтық парабола дейді.
СУРЕТ
Осыған орай, кейде
функциясының графигін
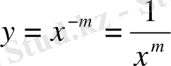
-ші дәрежелі парабола деп те атайды. Егер
бүтін теріс сан болса, яғни
, онда
функциясын алар едік, ол координаттар жүйесінің бас нүктесінда анықталмайды, яғни
аралығында анықталады.
болғанда
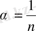
функциясы шығады және оның графигінің тең бүйірлі гипербола деген арнайы атауы бар. Егер
(мұндағы
- оң бүтін сан) болса, онда
иррационал функция шығады. Қарастырған мысалдарға сүйеніп, дәрежелік функцияны
аралығында анықталады деп айтуымызға болады.
Көпмүшелер. Мынадай функция қарастырайық:
Көпмүше - дәрежелік функциялар мен тұрақты сандардың көбейтінділерінің қосындысы болғандықтан, ол бүкіл нақты сандар жиынында анықталған.
болғанда біріші дәрежелі көпмүше аламыз:
, мұны сызықтық функция деп атайды. Ол нақты сандар жиынында анықталған. Мысалы,
сызықтық функциясын қарастырайық. Шешуі: сызықтық функцияның графигі түзу болады. Ал түзуді салу үшін оның екі нүктесін білу жеткілікті. Кестені толтырайық.


(
аргументіне 0 мен 4 мәндерін бердік те,
формуласы бойынша
-ң сәйкес мәнін таптық) Координаталық жазықтықта
және
нүктелерін белгілейміз де, осы нүктелер арқылы түзу жүргіземіз. Сондай-ақ, функцияның абсцисса және ордината осьтерімен қиылысу нүктелерін табу үшін функцияның сәйкесінше нөлдерін анықтау қажет. Ордината осімен қиылысу нүктесін жоғарыда
деп алып,
-ті таптық, ал абсцисса осімен қиылысу нүктесін табу үшін
теңдеуін шешу жеткілікті.
, яғни
нүктесінде
функциясының графигі абсцисса осін қиып өтеді.
СУРЕТ
функциясының графигі
болған жағдайда мынадай болады (7-сурет) .
7-СУРЕТ
болғанда
нақты сандар жиынында анықталған, графигі парабола болатын квадрат үшмүше аламыз:
.
болса, параболаның тармағы жоғары, ал
болғанда - төмен бағытталады (8, а, б, в-сурет) .
8-СУРЕТ
Бөлшек-рационал функция.
екі көпмүшенің қатынасы:
бөлшек-рационал функция деп аталады. Ол бөлімдегі көпмүше нөлге айналмайтын
-ң мәндерінің жиынында анықталған.
функциялары - бөлшек-рационал функциялар. Соңғысы бөлшек-сызықты функция деп аталады.
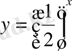
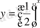
2. Көрсеткіштік функция.
Көрсеткіштік функцияның графигі.
формуласымен берілген функцияны қарастырамыз. Мұнда
- берілген сан,
- белгісіз айнымалы.
өрнегінің дәреже көрсеткіші
-ң кез келген мәнінде мағыналы болуы үшін дәреженің негізі
оң сан болуы керек.
болғанда
функциясы тұрақты болады, себебі
-ң кез келген мәнінде функция тек қана 1-ге тең мән қабылдайды. Сондықтан,
болғанда функция қарастырылмайды.
Анықтама.
формуласымен берілген функция көрсеткіштік функция деп аталады.
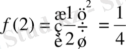
Мысалы,
функциялары - көрсеткіштік функциялар,
және
функцияларының графиктерін сызайық.
және
болғандағы
функциясына талдау жасайық.
1)
.




9-СУРЕТ
2)
.




10-СУРЕТ
үшін: 1) функцияның анықталу облысы - барлық нақты сандар жиыны:
; 2) функцияның мәндерінің жиыны:
; 3) бүкіл анықталу облысы бойында функция өседі, яғни
болғанда
; 4)
болғанда
;
болғанда
;
болғанда
.
үшін: 1) функцияның анықталу облысы - барлық нақты сандар жиыны:
; 2) функцияның мәндерінің жиыны:
; 3) бүкіл анықталу облысы бойында функция кемиді, яғни
болғанда
; 4)
болғанда
;
болғанда
; ;
болғанда
.
3. Логарифмдік функция.
Санның логарифмінің ұғымы.
көрсеткіштік функция берілсін
. Бұл - бірсарынды функция. Сондықтан аргументтің
әр мәніне функцияның бір ғана мәні сәйкес келіп қоймай, керісінше, функцияның алдын-ала берілген әр мәніне
-ң бір ғана мәні сәйкес келеді.
теңдеуін қарастырайық.
болғанда теңдеудің түбірі болмайды. Егер
болса, онда теңдеудің бір түбірі болады. Графикте көрсетейік.
функциясының графигін сызамыз,
түзуін жүргіземіз. Осы екі графиктердің қиылысу нүктесінің абсциссасы, яғни
-
теңдеуінің іздеп отырған түбірі болады. Сонымен,
.
теңдеуінің түбірі
санының
негізді логарифмі деп аталады.
Анықтама.
оң санының бірден өзгеше, оң
негізді логарифмі деп,
санын алу үшін
санының дәреже көрсеткіші болатын
санын айтады:
. Оқылуы: “
дегеніміз
санының
негізді логарифмі”. Егер
болса, онда былай жазылады:
, яғни 10 саны негіз болып жазылмайды. Мұндай логарифмдер - ондық логарифмдер. Сонымен,
болғанда
теңдеуінен анықтама бойынша
теңдігі шығады. Соңғы теңдеудегі
-ң орнына мәнін қойсақ,
. Бұл теңдік негізгі логарифмдік теңбе-теңдік деп аталады. Мысалы,
. Бір санының кез келген негізді логарифмі нөлге тең.
Логарифмдік функцияның графигі.
функциясы - бірсарынды. Демек, әрбір
мәніне бір
сәйкес келеді, керісінше, әрбір
мәніне бір ғана
мәні сәйкес келеді, яғни
кері функциясы бар болады.
және
функцияларының графиктерін салайық (11-сурет) .
11-СУРЕТ
және
болғандағы
функциясының графиктеріне талдау жасай отырып, мынадай қорытындыларға келуге болады:
болғанда: 1) функцияның анықталу облысы - оң нақты сандар жиыны:
; 2) функция мәндерінің жиыны - барлық нақты сандар жиыны:
; 3) функция бүкіл анықталу облысы бойында өседі, яғни
болғанда
; 4)
болғанда
;
болғанда
;
болғанда
.
болғанда: 1) функцияның анықталу облысы - оң нақты сандар жиыны:
; 2) функция мәндерінің жиыны - барлық нақты сандар жиыны:
; 3) функция бүкіл анықталу облысы бойында кемиді, яғни
болғанда
; 4)
болғанда
;
болғанда
;
болғанда
.
логарифмдік функциясының маңызды қасиеті - оның бүкіл анықталу облысында үзіліссіздігі.
Мысалы,
функциясының анықталу облысын табайық. Шешуі: логарифмдік функцияның анықталу облысы
-ке тең және де, мұндағы
болатындықтан, келесідей теңсіздікті аламыз:
;
-ге көбейтеміз:
теңсіздігін шешеміз.
. СУРЕТ
Жауабы:
.
4. Тригонометриялық функциялар.
.
1.
функциясы мәндерінің кестесін құрайық.
































Жазықтықта тік бұрышты координаталар жүйесін алайық (12-сурет) . Координаттық жазықтықта кесте мәндеріне сәйкес нүктелерді белгілеп, оларды қисық сызық арқылы қосайық, сонда біз
функциясының
сегментіндегі графигін аламыз.
функциясы тақ функция болғандықтан, оның графигі координаттар бас нүктесіне қарағанда симметриялы болады. Ал
функциясы периодты
болғандықтан, оның графигі ұзындығы
болатын аралық сайын қайталанып отырады. Осылайша алынған қисық синусоида деп аталады да,
функциясының графигі болады.
12-СУРЕТ
Графигі бойынша
функциясының негізгі қасиеттерін атап өтейік.
1)
функциясы
-ң барлық мәндерінде анықталған, яғни оның анықталу облысы бүкіл сандық ось
болады.
2)
функциясының мәндері
сегментінде жатады. Функцияның ең үлкен мәні 1-ге тең және ол
нүктелерінде қабылданады. Функцияның ең кіші мәні -1-ге тең және ол
нүктелерінде қабылданады.
3)
функциясы тақ функция:
.
4)
функциясы периодты функция, периоды
.
5)
интервалдарында функция оң таңбалы, ал
интервалдарында функция теріс таңбалы болады.
болғанда функция мәні нөлге тең болады. Бұл нүктелер
функциясының нөлдері деп аталады.
6)
интервалдарында
функциясы бірсарынды өседі де, ал
интервалдарында - бірсарынды кемиді.
2.
функциясының графигі.
болғандықтан,
функциясының графигі
функциясының графигінен оны
осі бойымен солға қарай
шамасына жылжыту арқылы алынады. Бұл қисықты (
функциясының графигін) косинусоида деп атайды (13-сурет) . Сонымен,
функциясының графигі солға қарай
шамасына жылжытылған синусоида болады екен.
Графигі бойынша
функциясының негізгі қасиеттерін де
жағдайындағыдай етіп өтуге болады.
1)
функциясы
-ң барлық мәндерінде анықталған, яғни оның анықталу облысы бүкіл сандық ось
болады.
2)
функциясының мәндері
сегментінде жатады. Функцияның ең үлкен мәні 1-ге тең және ол
нүктелерінде қабылданады. Функцияның ең кіші мәні -1-ге тең және ол
нүктелерінде қабылданады.
3)
функциясы жұп функция:
.
4)
функциясы периодты функция, периоды
.
5)
интервалдарында функция оң таңбалы, ал
интервалдарында функция теріс таңбалы болады.
болғанда функция мәні нөлге тең болады. Бұл нүктелер
функциясының нөлдері деп аталады.
6)
интервалдарында
функциясы бірсарынды өседі де, ал
интервалдарында - бірсарынды кемиді.
13-СУРЕТ
3.
және
функцияларының графиктері.
және
функциялары тақ функциялар, демек, олардың графиктері координаталар бас нүктесіне қатысты симметриялы болады. Бұл функциялардың периоды
екені белгілі.
Координаталық жазықтықта
функциясы мәндеріне сәйкес нүктелерді салу үшін, осы функцияның бірнеше мәндерінің кестесін құрайық.
















Енді осы нүктелерді белгілеп, оларды қисық сызық арқылы қосып,
аралығында
функциясының графигін саламыз.
функциясы периодты болғандықтан,
арасындағы графикті оңға қарай да, солға қарай да периодты жалғастырып, периодты
функциясының графигін аламыз (14-сурет) . Осы қисық тангенсоида деп аталады.
14-СУРЕТ
функциясының негізгі қасиеттері:
1)
функциясы
нүктелерінде анықталмаған. Функцияның анықталу облысы
жиыны болады.
2)
функциясы шенелмеген, оның мәндерінің жиыны
.
3)
функциясы тақ функция, яғни тангенсоида координаталар бас нүктесіне қатысты симметриялы.
4)
функциясы периодты функция
, демек, оның графигі ұзындығы
болатын аралық сайын қайталанып отырады.
5)
интервалында
функциясы оң таңбалы, ал
интервалдарында - теріс таңбалы. Анықталу облысына енетін барлық интервалдарды
функциясы бірсарынды өседі.
6)
нүктелерінде
функциясының мәндері нөлге тең болады, бұл нүктелер функцияның нөлдері деп аталады.
функциясы
интервалында бірсарынды өсетінін және
-тен
-ке дейінгі барлық мәндерін бір-бірден қабылдайтынын атап өтейік.
Координаталық жазықтықта
функциясы мәндеріне сәйкес нүктелерді салу үшін, осы функцияның бірнеше мәндерінің кестесін құрайық.
















Енді осы нүктелерді белгілеп, оларды қисық сызық арқылы қосып,
функциясының
аралығындағы графигін аламыз. Функцияның периодтылығын пайдаланып, осы графикті оңға қарай да, солға қарай да периоды бойынша жалғастырып,
функциясының графигін аламыз (15-сурет) . Бұл қисық котангенсоида деп аталады.
15-СУРЕТ
функциясының негізгі қасиеттері:
1)
функциясы
нүктелерінде анықталмаған, демек, оның анықталу облысы
жиыны болады.
2)
функциясы шенелмеген, мәндерінің жиыны -
аралығы.
3)
функциясы периодты функция
, демек, оның графигі ұзындығы
болатын аралық сайын қайталанып отырады.
4)
интервалдарында
функциясы оң таңбалы, ал
интервалдарында - теріс таңбалы болады. Анықталу облысына енетін барлық интервалдарда
функциясы бірсарынды кемиді.
5)
нүктелерінде
функциясы мәндері нөлге тең, бұл нүктелер функцияның нөлдері деп аталады.
интервалында
функциясы бірсарынды кемиді және
-тен
-ке дейінгі барлық мәндерін бір-бірден қабылдап шығады.
5. Кері тригонометриялық функциялар.
1.
функциясы.
функциясын
сегментінде қарастырайық. Функцияның осы аралықта бірсарынды өсетінін және -1-ден 1-ге дейінгі өзінің барлық мәндерін бір-бірден қабылдап өтетінін айтқан едік. Мысалы, егер
болса, онда
.
сегментінде
болатындай бір ғана
нүктесі бар. Сонымен, әрбір
мәніне бір ғана
мәні сәйкес қойылады. Яғни,
функциясы қайтымды функция (оның кері функциясы бар) .
-ті
-ке және
-ті
-ке ауыстырайық, сонда
.
функциясына кері функция арксинус деп аталады да,
теңдігімен белгіленеді. (Ол былай оқылады:
- синусы
-ке тең болатын доға,
) . Осы функцияның бірнеше мәндерін табайық.
болсын. Сонда
, өйткені
. Егер
болса, онда
, өйткені
. Осылай табылған бірнеше мәндері бойынша кесте құрайық.









Координаталық жазықтықта
функциясы мәндеріне сәйкес келетін нүктелерді салайық.
функциясының анықталу облысы
сегменті, яғни
екені айқын. Функция мәндерінің облысы
сегменті,
функциясы тақ функция, периодты емес.
аралығында бірсарынды өседі (16-сурет) .
16-СУРЕТ
Мысал.
өрнегін есептеу керек.
- Іс жүргізу
- Автоматтандыру, Техника
- Алғашқы әскери дайындық
- Астрономия
- Ауыл шаруашылығы
- Банк ісі
- Бизнесті бағалау
- Биология
- Бухгалтерлік іс
- Валеология
- Ветеринария
- География
- Геология, Геофизика, Геодезия
- Дін
- Ет, сүт, шарап өнімдері
- Жалпы тарих
- Жер кадастрі, Жылжымайтын мүлік
- Журналистика
- Информатика
- Кеден ісі
- Маркетинг
- Математика, Геометрия
- Медицина
- Мемлекеттік басқару
- Менеджмент
- Мұнай, Газ
- Мұрағат ісі
- Мәдениеттану
- ОБЖ (Основы безопасности жизнедеятельности)
- Педагогика
- Полиграфия
- Психология
- Салық
- Саясаттану
- Сақтандыру
- Сертификаттау, стандарттау
- Социология, Демография
- Спорт
- Статистика
- Тілтану, Филология
- Тарихи тұлғалар
- Тау-кен ісі
- Транспорт
- Туризм
- Физика
- Философия
- Халықаралық қатынастар
- Химия
- Экология, Қоршаған ортаны қорғау
- Экономика
- Экономикалық география
- Электротехника
- Қазақстан тарихы
- Қаржы
- Құрылыс
- Құқық, Криминалистика
- Әдебиет
- Өнер, музыка
- Өнеркәсіп, Өндіріс
Қазақ тілінде жазылған рефераттар, курстық жұмыстар, дипломдық жұмыстар бойынша біздің қор #1 болып табылады.

Ақпарат
Қосымша
Email: info@stud.kz