Мұнай кен орнын игеру


Мұнай кен орнын игеру пәнінен кіріспе1
Мұнай кен орнын игеру жүйелері және олардың түрлері2
Игеру жүйесінің классификациясы3
Игеру шартының (кен орынның пішінін есептеу) схематизациясы5
Кеніш пішіні, формасы, мұнайлылық нұсқасы, қабаттың енгіштігі және т. б. кеніш пішінін схематизациялау5
Келтірілген тұтыну нұсқасы8
Қатты су арынды режим кезіндегі гидродинамикалық есептеу13
Игеру мерзімдерін анықтау16
Су мұнай аймағындағы екі фазалы ағынды есептеу16
Айдау үрдісінің есептері17
Мұнай-газ кеніштерін газ арынды режимінде игеру21
Газ шапкасындағы тұрақты қысым кезінде мұнай-газ кен орнын игерудің ерекшелігі21
Газ шапкасының көлемін сақтау кезіндегі кенішті игеру ерекшеліктері23
Мұнай кен орындарын игерудің экономикалық көрсеткіштері38
Келтірілген шығындар41
Кәсіпорынның жалпы өнімнің құны41
Мұнай кен орнын игеру пәнінен кіріспе
Жер асты қойнауында тарихи жағдайда жиналған мұнай-газ кеніштерінің жиынын мұнай кен орны деп атауға болады. Мұнай мен газ кен орындарының орналасу тереңдігі жер қойнауының қай геологиялық кезеңде пайда болуына байланысты әртүрлі болуы мүмкін. Мұнай кен орнын игеру деп кен орнын бұрғылаудан бастап мұнай мен газ қорын жер бетіне шығарудың ғылыми зерттеу арқасында жүргізілетін үрдісті түсінеміз. Кен орнын құрайтын көмірсутекті қорлар негізінде қабаттарда және тау жыныстарының көлемінде орналасады, олар жер астында әртүрлі физика-геологиялық қасиеттері бар болып әр түрлі көлемді болып орналасады. Көп жағдайда мұнай-газды қабаттың өзі біраз өткізгіштігі жоқ жыныстардың қабат шамаларымен бөлініп, немесе кен орнының әртүрлі жерлерінде орналасып бөлінеді. Игеру объектісі ретінде түсінетініміз игеріліп жатқан кен орнының шектелу ауданында анықталған геологиялық құрылыс тар, бұл құрылыстарда өндіріске тиімді көмірсутектерінің қорлары орналасуы қажет.
Игеру объектісін белгілі бір топ ұңғыларды пайдаланып, игерілетін қабат шаларды айтамыз. Мысалы : 3 қабаты бар кен орындарын қарастырайық, олардың олардың әр қайсысының қалыңдығы және физикалық қасиеттері әр түрлі болсын.
Қарастырылған кен орнында 2 игеру объектілерін бөліп тағайындаған тиімді. 1-ші мен 2-ші қабатты 1-ші игеру объектісі деп ал, 3-ші қабатты 2-ші игеру объектісі деп тағайындаған жөн.
Мұнай кен орнын игеру жүйелері және олардың түрлері
Қабаттағы сұйық пен газдың өндіру ұңғыларының түбіндегі қозғалысын, олардың санын және пайдалануға іске қосу қатарын және қабаттың режимін реттеуді, қорды игеру жүйесін атайды. Қорды игергенде болатын осындай шарттардың жиынтығы игеру жүйесін анықтайды.
Игеру жүйесінің элементтері болып табылатындар келесілер:
ұңғыларды кенішке орналастыру;
ұңғыларды пайдалануға енгізу тәртібі;
қабат режимі;
қабат энергиясын толтыру;
т. б. жүргізілетін шаралар.
1) Ұңғылар торы тығыздығының параметрлері
S
c
=
Equation. 3 ;
S -мұнай ауданы
n-ұңғы саны
S c -бір ұңғыға келетін мұнайлылық ауданы
n-санына өндіру, айдау ұңғылары кіреді.
S
cд
=
- тек өндіру ұңғылары үшін
2) А. П. Крылов параметрі
N
кр
=
мұндағы:
N -мұнай кен орнының қоры
n -ұңғының жалпы саны
3)
айдау ұңғыларының өндіру ұңғыларына қатынасы
W=
Wр=
4) W P -Кен орнында ұңғының санында бұрғыланған резервтегі ұңғылар санының ұңғылардың жалпы санына қатынасын көрсетеді.
Игеру жүйесінің классификациясы
Игеру жүйесінің элементі оның классификациясына сәйкес келеді. Ұңғыларды кенішке орналастыру бойынша орналастыру жүйесі біркелкі және біркелкі емес болуы мүмкін. Ұңғылардың біркелкі орналасуы деп ұңғылар арасындағы қашықтықтың тұрақты сақталуын айтады. Ұңғылардың квадратталған немесе үшбұрыштық торы болады.
Ұңғылардың біркелкі орналасуы еріген және ерітілген газ режимі кезінде қолданылады.
Ұңғылардың біркелкісіз орналасуы арынды режимде қолданылады.
Қатардағы ұңғылар арасындағы қашықтық центрге қарай азая түседі. Бір қатардағы ұңғылар бір-бірінен бірдей қашықтықта орналасады.
Ұңғыларды енгізу тәртібі бірнеше болады.
а) барлық ұңғылар игеругеды бір мезгілде енгізген кезде;
б) ұңғыларды игеруге бірдей кезеңмен енгізусіз тәртібі;
в) ұңғыларды бұрғылау мен пайдалануға енгізу параллель қатарларды біртіндеп іске қосу арқылы жүретін жылжымалы енгізу тәртібі жүйесі 3 түрге бөлінеді:
1) Су арынды режим кезінде жоңары қарай өрлейді.
2) Газ арынды режимі кезінде төмен қарай қозғалады.
3) Қабат режимі бойынша классификациясы:
а) су арынды ;
б) газ арынды;
в) серпімді;
г) гравитациялы;
д) еріген газ режимді;
4) Қабат энергиясын толтыру бойынша классификациясы:
а) қабатқа әсер ету шаралары жүргізілмеген. Бұл жағдайда табиғи шек суларының арыны қабаттарының және күштері қолданылады;
б) қабатқа әсер ету шаралары жүргізілген, яғни қабатқа газ немесе су айдау жолымен қабат энергиясы үздіксіз толтырылып отыр.
Қабат энергиясының ұлғайту тәсіліне байланысты игеру жүйесінің нұсқауының сыртынан нұсқадан нұсқаның ішіне су айдау және газ шапкасына газ айдау деп білеміз.
Нұсқа сыртынан су айдау әдісінің қоры шағын мұнай кеніштерін игеру барысында қолданылады. Су айдаудың бұл түрінде айдау ұңғылардың мұнайлылық сыртқы нұсқасына орналасады.
Нұсқадан су айдау әсерінен негізінен қабаттардың мұнайлы аймағымен нұсқаудың сыртқы аймағы арасындағы гидродинамикалық байланыстар нашар болған жағдайда сонымен қатар нұсқа сыртынан су айдауының тиімділік арттыру мақсатында қолданылады. Бұл жағдайларларда айдау ұңғылары мұнайлылық сырт немесе ішкі нұсқасына немесе су-мұнай аймағына орналасады. Нұсқа ішінен су айдау әр түрлі, бұл су айдаудың неғұрлым кең тараған түрі болып табылады. Бұл жағдайларда су айдау ұңғылары мұнайлылықтың ішкі нұсқасына орналасады, нұсқа ішінен су айдау әдісінің мыңдаған түрі бар: блоктап, аудандап, аймақтап және аралас.
Әр режим бойынша мұнай газ кен игерудің негізгі көрсеткіштері
Мұнай кен орнының негізгі көрсеткіштері болып:
1. өндіру (өнім мөлшері) - Q
2. қабат қысымы - P пл
3. түп қысымы - P заб
4. газ факторы - Г
5. мұнай бергіштік коеффициент - η
Су арынды режим (САР) :
су арынды режим жағдайында негізгі қозғаушы күш болып, нұсқа суының табиғи немесе жасанды болып табылады. Су арынды режимнің өзі екіге бөлінеді:
а) тығыз су арынды режим(ТСАР) ;
б) серпімді су арынды(ССАР) ;
Тығыз су арынды режим (ТСАР) - шек суларының ауырлық күші әсерінені немесе қабаттың энергиясын ұлғайту, толтыру кезінде айдау ұңғыларындағы судың ауырлық күші әсерінен туындайды. ТСАР кезінде мұнай бергіштік коеффициент(η) ең жоғарғы мәнге ие болады, шамамен 60-80% немесе 0, 6-0, 8.
P пл <P н -дросселдеу эффекті газға қанығушылық көбейіп газ бөліне бастайды, бұл игеру жұмыстарын қиындатады.
Серпімді су арынды режим (ССАР ) - бұл қабаттардың және мұнай мен судың серпімді күштер түрінің әсерінен пайда болады. Кеніштен сұйықты алу барысында қысым өзгерісі қабаит бойына тез бара алмайды, баяу тарайды. Нәтижесінде серпіліс аймағы пайда болады, ал оның сыртында қысым өзгеріссіз қалады. Мұнай бергіштік коэффициент(η) - 50-60% немесе 0, 5-0, 6.
2.
а) газ қоры мұнай қорынан көп болған жағдайда және игеру барысында
газ шапкасындағы қабаттағы режимді тығыз газ арынды режимді (ТГАР) деп есептеуге болады. Мұнай бергіштік коэффициент(η) - 40-50% немесе 0, 4-0, 5.
б) Серпімді газ арынды режим(СГАР) -мұнайды алу барысында газ шапкасындағы қысым төмендеу кезінде байқалады. Өйткені газ шапкасына газ айдалмайды немесе газдың мұнаймен салыстырғанда қоры аз болады. Мұнай бер гіштік коэффициент(η) - 0, 4.
3. Гравитациялық режим - бұл кезде қабат күштері мұнай кенішіне
сыртқы күштер ретінде әсер етпей керісінше кеніштің өз ішінде жалпы массалы қаралады(мұнайдың ауырлық күші) .
Қабаттың құлау бұрышына байланысты гравитациялық режимдер өздерін әр түрлі байқатады. Олар орын ауыстыратын(жылжитын) және жылжымайтын контурлар режимдеріне бөлінеді.
а) жылжитын(орын ауыстыратын) режим : тік құлайтын қабаттарда байқалады Мұнай бергіштік коэффициент(η) - 0, 3.
б) жылжымайтын режим : жатық қабаттарда байқалады, бұл жағдайда мұнай деңгейі пьезометрлік воронка заңы бойынша барлық қабатта төмендейді
4. Еріген (ЕГР) - бұл режим де қозғаушы күш болып, қабат қысымы қаныққан қысымнан төмен болғанда, мұнайдан бөлінетін газ есебінен болады. Еріген газ режимінде мұнайлылық нұсқаның тұрақтылығымен сипатталады, осыған байланысты мұнай газ өндіру кезінде кеніш қорлары сарқылады.
Жолақ периметрді кеніштің периметрімен теңестіру қажет. Мұнай бергіштік коэффициент(η) - 0, 15-0, 3. Қанығу қысымның төмендеу қарқыны қысымның төмендеу қарқынынан едәуір аз тиімділігінің есебінен игеру.
Игеру шартының (кен орынның пішінін есептеу) схематизациясы
Қабаттың мұнай бергіштігін анықтауда және сулану процесінің гидроди- намикалықесептеу кезінде газды сұйық қоспаның қасиеттері мен параметрлері
бойынша біртексіз нақты қабаттарды есептеу схемасы схематизациялау қажет.
Кеніш пішіні, формасы, мұнайлылық нұсқасы, қабаттың енгіштігі және т. б. кеніш пішінін схематизациялау
Мұнай кен орнының дұрыс диаметрлік пішіні болмайды. Осындай кеніштерді игеруден аналитикалық тұрғыдан дәл есептеу мүмкін емес, сондықтан гидродинамикалық есептеулер үшін кеніштің кез-келген конфигурациясы дұрыс геометриялық пішінге келтіру қажет. Кеніштерді геометриялық фигурамен алмастырудың критериі болып кеніштердің ұзын(b) және қысқа(a) осьтерінің қатынасын айтады.
1) Егер a:b<1:3 болса, онда осындай қатынаста болып келетін сызылған сопақшалы кенішті жолақпен схематизациялаймыз.
2) Жолақ өлшемдерін анықтау үшін мына шарт сақталу қажет:
Жолақ ауданы кеніштің мұнайлылық ауданына тең(S полоса = S неф = S)
1) L∗B=S (1)
2(L+B) =P (2)
B=
2L+
=P
2L
2
+2S−LP=0 L
1, 2
=P
1:3≤ a:b ≤1:2 аралығында болса, онда кенішті сақинамен схематизациялаймыз. Бұл кезде келесі шарттар сақталуы қажет:
Кеніштің ауданы кеніштің мұнайлы ауданымен теңеседі.
S к =π(r 2 н -r 2 ц ) =S (3)
2) Сақинаның сыртқы аймағының радиусының ұзындығы кеніштің пери метріне тең.
2πr н =ρ (4)
Осы екі шартты пайдаланып r н , r ц мәндері анықталады, a:b⋲1 болса, онда ке нішті шеңбермен схематизацияланады. Ұңғылардың орталық қатары ірі бір ұң ғылармен алмастырылады. Оның шығымы осы қатардағы ұңғылар шығымымен
теңестіріледі.
3) Қалған қатарлар мен қатардағы ұңғылар сақталады.
4) Шығанақ тәріздес кенішті шеңбер секторымен схематизацияланады.
∗α=S (5)
5) Күрделі конфигурацияға ие кеніштерді жекелеген бөлшектерге бөліп тастап, содан кейін жоба, сақина, шеңбер немесе шеңбер секторымен схематизацияланады.
Мұнайлылық нұсқасын схемалау
Мұнайлылық нұсқасын схемалау үшін келесі ережелер орындалу қажет:
а) мұнайлылықтың бастапқы нұсқасымен ұңғылардың бірінші қатары арасындағы және келесі қатар арасындағы аудан тең болады.
б) қатар санымен қатардағы ұңғылар саны сақталады, тағы да сол сияқты шарттар схематизациялау кезінде орындалады.
Мұнайлылық ауданын қарастырайық
Кеніш картасында мұнайлылықтың екі нұсқасы белгіленген ішкі (қабаттың табаны бойынша түсірілген) және сыртқы (қабаттың жабыны бойынша тү сірілген) .
a // , b // , c // , d // - кен орынның тұтыну контуры
a, b, c, d -мұнайлылықтың сыртқы нұсқасы
a / , b / , c / , d / -
Сулану бастамасы мұнайлылықтың ішкі нұсқасына жеткенде, ал толық сулану мұнайлылықтың сыртқы нұсқасына жеткенде байқалады. Екі нұсқа да әр түрлі жылдамдықта орын ауыстыра алады, қозғалады, сондықтан гидродина микалық есептерде мұнайлылықтың фиктивті есепте нұсқасы енгізіледі.
Белгілі бір деңгейде суланған ұңғыларда пайдаланудан шығарып бастайды. Бұл сулануға қабаттық мұнайға толы қалыңдығы мен суға толы қалыңдығы
арасындағы қатынастар сәйкес келеді. Суланған ұңғылардың берілген пайызы үшін бұл қатынасты мына формулалармен анықтауға болады.
=
∗
∗
;
=
∗
∗
; (6)
h н - қабаттың мұнай қалыңдығы, м
h в - қабаттың судың қалыңдығы, м
n в - суланған ұңғылар пайызбен берілген, м
k в - мұнайды сумен ығыстырғаннан кейінгі суға арналған фазалық өткізгіштік
коэффициенті.
μ н, в - мұнай мен судың тұтқырлығы.
- қатынасын анықтай отырып, осы қатынасқа сәйкес келетін су-мұнай шекарасы белгісін табамыз. А
о
-нүктесі осы нүкте бойынша мұнайлы лықтың жасанды есепті нұсқасы жүргізіледі. Және де барлық гидродинамикалық есептер шығарылады.
Мұнай қорын есептеу
V
н
=
ρ;
S н - мұнай ауданы, м 2
h - қабат қалыңдығы, м
m - кеуектілік. (тиімді), ашық
ρ -тығыздық
η - мұнай бергіштік коэффициент
β - мұнайға қанығушылық коэффициент
V н - алынатын қор
Келтірілген тұтыну нұсқасы
Су арынды режим кезінде тұтыну нұсқасы деп айдау ұңғысы орналасқан сызықты немесе шеттік судың нұсқасын айтамыз. Ал, газ арынды режим (ГАР) кезінде тұтыну нұсқасы деп газды мұнай шекарасының контактісін қабылдауымыз мүмкін. Қатарлардағы ұңғылардың шығымы тұтыну нұсқасы мен ұңғылар арасындағы қысымның тұрақты төмендеу сақталған кезде өзгеріп отырады. Бұл қозғалыстағы сұйық ағынның жалпы кедергілерінің өзгеруіне себепкер болады. Келтірілген тұтыну нұсқасының есептеуін көрсетейік
Дөңгелеген қорлар үшін :
шығымның орташа мөлшерін бағалау үшін мына формуланы қолданамыз:
q
ср
=
∗
(1)
мұндағы:
r к - тұтыну нұсқасының радиусы
r н - бастапқы мұнайлылықтың нұсқасының радиусы
r-ағымдағы(қозғалыстағы) мұнайлылықтың нұсқасының радиусы
r б - ұңғылар батареясының радиусы
r о - келтірілген тұтыну нұсқасы.
Қандай да болмасын кез-келген уақыт сәтіндегі батареядағы мұнай шығымы. Келесі формула арқылы есептеледі:
q
н
=
=
(2)
q=
(3)
Мұнайлылық нұсқасының орын ауыстыру (жылжу) жылдамдығы:
W=-
=
=
(4)
4-теңдеудегі айнымалыларды бөле отырып уақыттың өзгерісін табайық:
dt=-
=
(5)
5-теңдеуді 0-ден t-ға дейін және r н -r б интегралдайық. Сонда келесі тең- деу табылады.
T=
(6)
Келтірілген тұтыну нұсқасы бойынша өнімді алу мерзімін анықтаймыз:
T=
(7)
6-7 -теңдеулерін теңестіріп мына формуламен анықтаймыз:
Қысқарта келіп мынаны анықтаймыз:
ln
Equation. 3 (8)
Жекелеген жағдайда
µ н =µ в r о =r к (9)
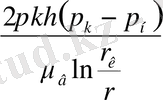
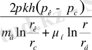
Газ арынды режим үшін:
Equation. 3 10)
Жолақ тәрізді кеніштің келтірілген тұтыну нұсқасын есептеу
1-айқын тұтыну нұсқасы
2-келтірілген тұтыну нұсқасы
3-бастапқы мұнайлылық нұсқасы
4-ағымдағы мұнайлылық нұсқасы
5-галерея
Пайдалану ұңғысының қатары
Equation. 3 (11)
Equation. 3 (12)
Мұнайлылық нұсқасының орын ауыстыру жылдамдығы
Equation. 3 (13)
Equation. 3 ; (14)
; (15)
Equation. 3 ; (16)
(17)
16-17 -теңестіре отырып мына L о -ды табамыз
; (18)
Жекелеген жағдайда
a)
Equation. 3 L
о
=L
к
; (19)
б) )
Equation. 3 <<
Equation. 3
Equation. 3 ; (20)
Қабаттың еңкейуін ескеру
Егер де қабаттың құлау бұрышы 2-ші градустан аспаса онда, ол көлбеу деп қабылданады. Есептер қабаттың ескеруінсіз ақ жүреді қабаттық құлау бұрышы 2-ші градустан үлкен болған кезде қабатттық еңкейуін ескереміз, яғни есептеу келтірілген қысымды енгізу жолмен жүргізіледі.
(21)
мұндағы:
P - қабаттық берілген нүктесіндегі ақиқат қысым
h - қабаттық берілген нүктесіндегі белгіленген шартты есептеу
жазықтығынан (приведенный горизонтальный)
ρ д -сұйықтың меншікті салмағы
Есептеу жазықтығындағы режимде су, мұнай контактісінің бастапқы
белгісін таңдап алады. Есептелген варианттар үшін ұңғыларды тиімді орналастырады.
Есептелген варианттар үшін ұңғыларды орналастыру
Кеніштің барлық ауданы бойынша энергияның бір қалыпты таралу режимі кезінде бір текті қабатты игеру үшін ұңғыларды біркелкі орналастыру ең жақсы нәтиже береді. Ыңғайлы келсе үш бұрышты тор бойынша орналастырады. Бұл кезде бір ұңғыға келетін аудан шеңберге соғұрлым жақын болады.
Арынды режимдерде бір текті қабаттар үшін әр түрлі тұтқырлықтар мен қоспа аймағының қалыптасуын ескеріп, қатарларды қысқарту мүмкіншіліктері кезінде
Ю. П. Борисовтың әдістемесі ұсынылған.
Жолақ тәріздес кеніштер
Қатарлардың бір-бірлеп жұмыс істеу жағдайы кезінде қатарлардың арасындағы қашықтық : а 1 =a 2 =a 3 =………. а n =a
мұндағы:
d - бір жақты арын кезіндегі кеніштің ені
N - кеніштегі қатарлар саны
а 1 - мұнайлылық нұсқасынан 1-ші қатарға дейінгі қашықтық
а n - соңғының алдындағы қатардан соңғыға дейінгі қашықтық
а - қалған қатарлардың ар қашықтықтары
Екі қатар бойынша қатарлардың бір мезгілде жұмысч жасауы кезінде қатарлар арасындағы қашықтық бірдей болуы керек. Бірінші және соңғы қатар бөлек ерекшелікке ие. Олар үшін формула пайдалануын көрсетейік:
а 1 =1, 95a ; a n =0, 95a ; a=a 2, 3, 4……n-1
Егер жолақ тәріздес кеніште бір уақытта үш қабат жұмыс істейтін болса,
онда басқа коэффициент болады:
a 1 =1, 14a ; a n =0, 98a a 2 =a 3 =a n-1
Equation. 3, яғни 1, 14а +(N-2) а+0, 98а
осыдан
Equation. 3
Қатардағы ұңғылар арасындағы қашықтықты 2 δ i деп белгіледі
2 δ i мәні 1-ші номограмма бойынша анықталады
Equation. 3 осы өрнектің есептеу шамасы бойынша 2 δ -ны табамыз және сол арқылы ұңғы санын анықтаймыз.
Ұңғылар саны барлық қатарда есептеледі. Қатарлар 2 қатар бойынша бір
мезгілде жұмыс жасаған кезде ұңғылар арасындағы қашықтық 1-ші мен соңғы қатардағы ұңғылардан басқаларының бәрі бірдей.
2 δ 2 =2 δ 3 =2δ 4 …. . 2δ N-1= 2 δ
n=n
1
=n
2
=n
3
……. n
N-1
=
Equation. 3
n 1 =0, 87n ; n N =1, 64n
Cақина тәріздес және шеңберлі кеніштер
Сақиналы схемаланған кеніштер орталық қатар сақинаның ішкі айнала-сына орналасады.
r N =r ц
оны мұнайлылықтың бастапқы нұсқасының радиусына бөле отырып, екінші номограмманың ординат осіндегі
Equation. 3 осы қатынасқа сәйкес мәндерді аламыз. Және нөмірі n қатарларының санына сәйкес келетін қисықты қиып өтетін көлденең түзу жүргіземіз. Алынған қиылысу нүктесінен тік бағытта сызық жүргіземіз, оның жоғарыда жатқан өисықтар мен қиылысуы ординат осіндегі
Equation. 3 сәйкесті мәндерін оқуға мүмкіндік береді, яғни бұл қатарлардың r
i
радиусын табуға мүмкіндік туғызады. Егер біз орталық ұңғысы бар толық шеңбер түрінде берілген кенішпен модельдесек, онда ішкі қатардың радиусы N
c
қисығына сәйкес келетін
Equation. 3 шамасын көрсететін төменгі көмекші қисықтың біреуімен қиы-лысатын нүктенің ординатасы ретінде анықталады. Осы номограммадан көлденең осьте ұңғы торының тығыздық көрсеткіш λ-ны табады. Содан кейін барлық қатарлар үшін
Equation. 3 есептеледі, r
c
- ұңғының келтірілген радиусы немесе барлық қатарлар үшін
Equation. 3 есептеледі. Қатардағы ұңғылардың арасындағы арақа шықтықты анықтау үшін 1-ші номограмманы пайдаланамыз. Есептелген мәндерге сәйкес келетін 1-2 (солдан оңға) тік шкалалардағы нүктелерді түзумен қо сып және оны 3-ші шкаламен қиылысқанша созу керек, әр қатар үшін δ-ны табамыз. Бұл мәндер қатарлы бір-бірімен жұмыс істеген кезде тиімді болып саналады. 2 немесе 3 қатарлардың бір уақыт жұмыс істеу кезінде ең тиімді ұңғылар арасындағы арақашықтықты алу үшін шекті оң шекарадан табылған қиылысу нүктесінен табылған 1 саны бар қисыққа дейін көлденең сызық жүргізу керек, және оған сәйкесінше 2 мен 3 саны бар қисыққа дейін тік бойынша жоғары қарай көтеріліп және қайтадан δ шкаласына түсуі керек. Осы жолмен барлық қатардағы ұңғылардың арасындағы арақашықтық анықталады.
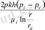
Қатты су арынды режим кезіндегі гидродинамикалық есептеу
Суарынды режим кезінде пайдалану қатарының шығымын анықтау
1) Жолақ тәріздес кеніште орналасқан пайдалану қатарының шығымын анықтау
Тұтыну нұсқасынан пайдалану қатарының сызығына дейін мұнай жылжыған кезде ол сыртқы кедергілерге ұшырайды. Ал, ұңғы шығымын галерея шығымынан ерекшелігін ескеретін қосымша кедергіні ұңғының түп маңының аймағының ішкі кедергісі деп есептейді. Мұны ескеру үшін ұңғының айналасында шеңберлі аймақ бөлінеді, (2 δ) мұндай аймақтың радиусы
Equation. 3 (1)
Осы аймақтың аооаоаол белгісіз қысымды P арқылы белгілейміз. Қысымы P-ға тең тұтыну нұсқасынан қатарға дейінгі галерея шығымы сыртқы аймақтағы сұйық ағымы кезіндегі жағдай мына формуламен анықталады:
Equation. 3 (2)
ұңғылардың шығымы мына түрде жазылуы мүмкін
Equation. 3 (3)
ұңғыларға қарай сұйықтар қозғалғанда (жазық радиалды ағынға айна- лып) ішкі кедергіні сезінеді
Q 1 =nq 1 ; Q 2 =nq 2 ;
... жалғасы- Іс жүргізу
- Автоматтандыру, Техника
- Алғашқы әскери дайындық
- Астрономия
- Ауыл шаруашылығы
- Банк ісі
- Бизнесті бағалау
- Биология
- Бухгалтерлік іс
- Валеология
- Ветеринария
- География
- Геология, Геофизика, Геодезия
- Дін
- Ет, сүт, шарап өнімдері
- Жалпы тарих
- Жер кадастрі, Жылжымайтын мүлік
- Журналистика
- Информатика
- Кеден ісі
- Маркетинг
- Математика, Геометрия
- Медицина
- Мемлекеттік басқару
- Менеджмент
- Мұнай, Газ
- Мұрағат ісі
- Мәдениеттану
- ОБЖ (Основы безопасности жизнедеятельности)
- Педагогика
- Полиграфия
- Психология
- Салық
- Саясаттану
- Сақтандыру
- Сертификаттау, стандарттау
- Социология, Демография
- Спорт
- Статистика
- Тілтану, Филология
- Тарихи тұлғалар
- Тау-кен ісі
- Транспорт
- Туризм
- Физика
- Философия
- Халықаралық қатынастар
- Химия
- Экология, Қоршаған ортаны қорғау
- Экономика
- Экономикалық география
- Электротехника
- Қазақстан тарихы
- Қаржы
- Құрылыс
- Құқық, Криминалистика
- Әдебиет
- Өнер, музыка
- Өнеркәсіп, Өндіріс
Қазақ тілінде жазылған рефераттар, курстық жұмыстар, дипломдық жұмыстар бойынша біздің қор #1 болып табылады.

Ақпарат
Қосымша
Email: info@stud.kz