Сыйымдылығы 65 000 тонна өндірістік элеваторды жобалау


ҚАЗАҚСТАН РЕСПУБЛИКАСЫ АУЫЛ ШАРУАШЫЛЫҒЫ МИНИСТРЛІГІ
Жәңгір хан атындағы Батыс Қазақстан аграрлық-техникалық университеті
Агротехнология институты
“Тағам және қайта өңдеу өндірістерінің технологиялары” жоғары мектебі
5В072800- Қайта өңдеу өндірістерінің технологиясы мамандығы бойынша «Элеватор және астық өңдеу өнеркәсібін АЖЖ негіздерімен жобалау» пәні бойыншаКУРСТЫҚ ЖҰМЫС
Тақырыбы:«Сыйымдылығы 65 000 тонна өндірістік элеваторды жобалау »
Орындаған: ТПР - 41 топ студенті Әбдіуәйіс Асхат
Тексерген: а. о. Чинарова Э. Р.
Орал-2020ж
Мазмұны:
Кіріспе . . . 3
1. Негізгі бөлім . . . 5
- Жобаның орындылығы және оны негіздеу . . . 5
2. Технико-технологиялық бөлім . . . 6
2. 1 Астық қоймалардың сыйымдылығын есептеу . . . 9 2. 2 Силостардың сыймдылығын анықтау . . . 16
2. 3 Астықты қабылдау, өңдеу және жіберу жабдықтарын есептеу . . . 17 2. 4 Таразылы қондырғылар . . . 18 2. 5 Астықты автомобильді транспортпен қабылдау және тиеу . . . 19 2. 6 Астықты темір жол арқылы қабылдау және тиеу . . . 20 2. 7 Астықты тазарту жабдықтары . . . 21
2. 8 Астық кептіргіш . . . 22
2. 9 Қалдықтарды өңдеу . . . 23
2. 10 Транспорттық жабдықтар . . . 24
3. Өнеркәсіп технологиясы . . . 25
3. 1 Дәнді жинағаннан кейін өңдеу . . . 25
3. 2 Астықты белсенді желдету. Астықты сақтау. …. . 26
4. Шикізатқа мінездеме . . . 26 5. Құрылыс бөлімі . . . 27
5. 1 Жұмыс ғимараты . . . 28 5. 2 Темірбетонды силостар . . . 29 6. Қауіпсіздік техникасы және өрт сөндіру қауіпсіздігі . . . 30
7. Қорытынды . . . 31 8. Қолданылған әдебиеттер . . . 32
Курстық жұмыстың мақсаты мен міндеттері:
Бұл жұмыста жылдық астық көлемі 65 000 тонна өндірістік элеватордың есебі жасалуы жоспарланған. Теміржол және автомобиль көлігімен қабылдау қондырғыларының санын, қажетті астық кептіргіштердің санын, магистралды шелек элеваторларының санын, таразы санын, бункерлер мен тарату құбырларының өнімділігін есептеу орындалады. Қажетті тазалау, мөлшерлеу, тасымалдау және кептіруді қамтамасыз ететін жабдықтардың таңдауы жасалуы керек. Силостық ғимарат пен жұмыс ғимаратының биіктігінің есебі де жасалу қажет. Алынған есептеулер негізінде көлденең қимасы және бойлық қимасы әзірленді, лифттің еденнен-схемасы жасалады. Дәнді дақылдардың үлкен массасын уақытында қабылдау және оның қауіпсіздігі астық сақтау қоймаларының өнімділігін арттыруды қажет етеді. Астық қоймаларын жобалау және салу деңгейімен анықталатын астықты сақтау мәселелерін шешудің техникалық базасын дамытудың тиімділігі мәселелері қарастырылады. Жаңа технологияны, прогрессивті технологиялық процестерді, өндірістік процестерді автоматтандыруды, сондай-ақ жұмыс істеп тұрған кәсіпорындардың алдыңғы қатарлы тәжірибелерін ескере отырып, жаңа астық сақтау қоймаларын жобалау және қайта құру қажет.
Кіріспе
Элеватор-механикаландырылған сақтаудың ең жақсы түрі. Астық қабылдау пункттерінде азық-түліктік, жемдік және тауарлық астықтың көп мөлшері шоғырланады. Олар негізінен белгіленген ылғалдылығы 13-14%тен аспайтын құрғақ тауарлық астықты сақтауға арналған. Элеваторлардағы астық бір-бірінің жанында орналасқан полюстерде сақталады. Элеваторлардағы барлық еңбекті қажет ететін процестер:
-Астықты қабылдау, оны өлшеу, тиеу және түсіру, ішкі тасымалдау, тазалау, сұрыптау және т. б.
- толық механикаландырылған және автоматтандырылған.
Қазіргі заманғы элеватор жалпы өндірістік процестермен байланысты құрылыстар кешенін қамтиды, олардың негізгілері
− Астықты қабылдау, өлшеу, сақтау, босату, ал арнайы
− астықты тазарту, кептіру және сұрыптау.
Элеватордың ғимараттары мен құрылыстарын функционалдық белгілері бойынша:
- Астық пен астық өнімдерін қабылдауға сақтауға, өңдеуге және жіберуге арналған өндірістік;
- өндіріске қызмет көрсететін қосалқы;
- өндірістік емес деп бөлуге болады.
2. Технико-технологиялық бөлім
2. 1 Астық қоймалардың сыйымдылығын есептеу
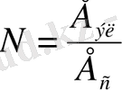
Дән қабылдағыштағы астық қоймалардың паспорттық сыйымдылығын анықтайтын формула:
Е
= (А
+ С
- В
) К
мұндағы,
А
- физикалық массадағы дайындалатын астықтың саны, т;
С
- дайындау кезеңінің басындағы өтпелі қалдық (орташа жылдық түсімнің 15%), т;
В
-дайындау кезенінде ай бойы тиеу көлемі. Жобалау кезінде тапсырмамен бекітіледі, ал типтік жобалау әзірлеген кезде дайындау көлемінен 10% алады, т;
К
- әр түрлі дақылдарды орналастыруға арналған орташа өлшенген коэффицент.
К
коэффициентін келесі формуламен анықтайды:
К
=
А
А
А
- физикалық массадағы дайындау кезінде астық дайындау мекемесіне түсетін әр түрлі дақылдардың саны, т;
К
, K
. . . K
- әртүрлі дақылдарды орналастыру коэффициенті;
Дайындалатын астықтың жалпы мөлшері 65 мың тоннаны құраса, астық қабылдау астық қоймасының сыйымдылығын анықтау. Дайындау кезеңінде түсетін әртүрлі дақылдардың көлемі: Қарақұмық - 50 мың т (А ф1 ) ; Жүгері- 40 мың т (А ф2 ) ; Күнбағыс - 25 мың т (А ф3 ) .
2. 2 Силостар мен бункерлердің сыйымдылығын анықтау.
Дөңгелек және квадрат силостарды силос корпустардың сыйымдылығына қарай қатармен орналастырады. Типтік жобаларға силостардың биіктігі 30 метрге тең деп алынады.
Силостардың сыймдылығын табу үшін мынадай формула қолданады:
мұнда, γ - астық натурасы (қарақұмық 0, 68 . . . 0, 82; жүгері 0, 58 . . . 0, 78; күнбағыс 0, 70 . . . 0, 80; жүгері 0, 48 . . . 0, 72; сұлы 0, 45 . . . 0, 67) ;
Ғ с - силостың ішкі қимасының ауданы, м 3 ;
Н с - силос биіктігі;
V 1 - силостың жоғарғы бөлігінің сыйымдылығы;
V 3 - силостың төменгі бөлігінің көлемі;
Табиғи бұрыш а=26 о тең болған кездегі V 1 алынған мәні:
Төртбұрышты силос:
V 1 ’ = К 3 а 3 = 0, 269*3 3 =7, 263
К 3 - жоспарда тиеу саңылауының орналасуына тәуелді коэффициент;
а - силос қырының өлшемдері;
V 3 1 = К 4 а 3 - ∆ 1 .
К 4 - жоспарда жіберу саңылауының орналасуына тәуелді коэффициент;
∆ - төртбұрышты силостың жіберу саңылауының нақты өлшемінің түзету коэффициенті;
∆ 1 = (0, 36327da 2 − 0, 0951d 3 ) = (0, 36327∙0, 5∙3 2 - 0, 0951∙0, 5 3 ) = 1, 62.
V 3 1 = 0, 400∙3 3 - 1, 62 = 10, 8- 1, 62 = 9, 18.
Е с1 = 0, 75[3 2 ×30 - (7, 263 + 9, 18) ] = 190 т. (Бидай)
Е с2 = 0, 68[3 2 ×30 - (7, 263 + 9, 18) ] = 172т. (Қара бидай)
Е с3 = 0, 60[3 2 ×30 - (7, 263 + 9, 18) ] = 152 т. (Арпа)
Силостардың қажет санын келесідей формуламен анықтайды:
;
мұндағы, N - силостардың қажет саны, дана;
Е эл - элеватордың есептеліп жатқан дақыл үшін сыйымдылығы, т;
Е с - силос сыйымдылығы, т;
. (Бидай)
(Қара бидай)
. (Арпа)
Силос корпусының бір қатарындағы силос санын анықтау үшін қажетті силос санын қатар санына бөлеміз.
; (Бидай)
; (Қара бидай)
. (Арпа)
2. 3 Астықты қабылдау, өңдеу және жіберу жабдықтарының есебі.
Астық санының бастапқы және есепті параметрлері физикалық массада ескеріледі :
А
= А
К
К
- астықтың есептік массасын физикалық массаға ауыстыру коэффициенті.
Кесте 2.
Осыдан,
А
= 65000 * 80 % / 100 = 52000
А
= 52000 *1, 50 = 78000
Жабдық құрылымының элеваторлары және астық қабылдау өнеркәсіптің номенклатурасы мен қуатын, санын анықтау үшін келесі бастапқы деректер болуы қажет:
- автокөліктердің және автопоездардың түрлері, олардың пайыздық қатынасы және тасымалданатын астықтың саны;
- дайындау кезенінде түсетін әр түрлі текті астық партиясының саны мен мөлшері, негізгі партияның мөлшері, теміржолмен түсетін және тиелетін астықтың үйінді массасы;
- астықтың бөлек партиясы бойынша ауа райы нашар жыл бойынша құрғақ, ылғалды және шикі астықтың мөлшері, ылғал бойынша жағдайы, бөлек партия бойынша астықтың қоспалармен ластануы, қиын бөлінетін қоспалардан тазартудағы астық мөлшері, ластанудың дәрежесі және қоспалардың сипаты;
- берілген учаскіде теміржол маршрутының жүк көтерімділігі, тәулікте тиеу саны, олардың шамасы мен өңдеу уақыты және тиеу аралықтары;
- астықты залалсыздандыру үшін жабдықтың қажетті өнімділігі;
- Бөлек партия бойынша астықтың негізгі қолданылуы;
- Астық дайындау өнеркәсіп жабдығының сыйымдылығы, номенклатурасы және өңімділігі;
- Астық дайындау өнеркәсіп шаруашылығының саны;
- Жобаланған құрылымдарға түсетін астық саны;
- Су тасымалдаумен байланысты өнеркәсіптерді - навигацияның айлар саны;
- Собық сотада жүгеріні дайындайтын өнеркәсіпте түсетін жүгерінің ылғалдылығы мен шығуы;
Астықты өңдеу кезінде ұсақ фракциясын іріктеудің қажеті
Жабдықтың санын астықты өңдеуде операцианың кездесуімен, қабылдауымен және тиеуімен есеппен анықтайды.


Кесте 3. Астық түсімінің теңсіздік коэффициенті.
Ылғалдылық% : 15 (қоса)
15…17
17…22
Бұзылған, %:
1
1…3
3. . 5
5
10, 10
35
-
40
60
40, 30
30
20, 60
10
10
60, 20
20
50, 45
5
-
Кесте 4. Элеваторға келіп түскен астыққа сипаттама.
2. 4 Таразылы қондырғылар.
Өнеркәсіпте астықты автомобильді, вагонды, шөмішті элеваторлы және автоматты таразылард өлшейді.
Автомобильді көліктен түсетін астықты автомобильді таразыда өлшейді. Автомобильді таразының қажетті санын келесі формуламен анықтайды:
Г = 0, 000666
А - дайындау кезінде автомобильді көлікке түсетін астықтың саны, Т;
П
- дайындау кезенінде жалғастыру есебі, тәулік;
К
К
- түскен астықтың тәуліктік сағатының бірқалыпсыз коэффициенті;
Q - автомобильдердің жүк көтергіш есептеуі (8 т алады) ; т
автомобильдерді 2 қайтара өлшеуге және құжат дайындауға арналған уақыт.
Осыдан,
Г = 0, 000666
= 1
Автомобильдік таразылардың жүк көтерімділігін автомобильдің тіркемесінің және автомобильдің түрі мен жүк көтерімділігіне қарай таңдайды. Темір жолмен келген немесе оған тиелген астықты элеваторлы, автоматты немесе вагонды таразыларда өлшейді. Вагонды таразыларды қондыру қажеттілігі арнайы талаптармен анықталады. Қайта өңдеуге жіберілген астықты элеваторлы таразыларды өлшейді.
Автоматты таразылардың үстіндегі шанақтың сыйымдылығын 1, 5…. 2 өлшеумен, таразының астында 0, 5…. 1 өлшеумен қондырады. Автоматты таразыларды бақылау оңай жүрсін деп, сонымен қатар қалдықты өлшеу оңайға түссін деген ниетпен норияның 5 . . . 6 минуттық жұмысына бағдарланып бункерлер тұрғызылған.
Өнімділігі 175т/сағ болатын норияны қолданған кезде таразы үстіндегі бункер сыйымдылығы.
A=
Мұндағы;
Q = нория өнімділігі;
t = норияның есептік жұмыс уақыты (5 . . . 6) ;
T = 1 сағатқа тең уақыты (60) ;
Осыдан,
A =
= 17, 5
2. 5 Астықты автомобильді транспортпен қабылдау және тиеу.
Түсіру қондырғылары астықты үлкен жүк автомобильдерден түсірілуін қамтамасыз етіп отырады. Ең үлкен жүк көтерімділігі бар автомобиль түсіргіштер мыналар: гидравликалық әмбебап У15 - УРВС, гидравликалық өтпелі жандатпалы стационарлы НПБ - 2 СМ1, өтпелі механикалық іске келтіргіші бар автотүсіргіш АВС - 50М1, гидравликалық әмбебап автотүсіргіш У15 - УРАГ. Есептеу үшін У15- УРАГ автомобиль түсіргішін аламыз.
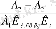
Автомобильдік транспортқа түскен астық мөлшерін анықтайтын формула:
a
=
Мұндағы;
А - дайындау уақыт ішіндегі автомобильдік транспортынан келген астық мөлшері;
К
К
- тәулік және сағаттағық тенсіздіктегі астықтың келу коэффициенті; Пр = дайындаудың есептеу уақыты;
t = автомобильдік транспортпен келген астықтың уақыты;
a
=
= 276
Астық қабылдаудағы ағынның саны келесі формуламен анықталады:
П
=
(
+
),
Q
- Қабылдау қондырғысында көліктік машиналардың өнімділігі;
K
- өнімділігі бойынша көліктік машиналарды қолдану коэффициенті (Q = 100 т\ч; K
= 0, 85; Q = 175 т/ч K
= 0, 8) ;
K
- дымқыл және арамшөпті астықты тасымалдау кезінде кориа өнімділігінің төмендеуін есептейтін коэффицент ( жәй жүретін корияларға K
= 0, 85, жылдам жүретін корияларға K
= 0, 7) ;
К
, К
- қара бидай табиғатымен айырықшаланатын дақылдарды тасымалдау кезіндегі кория өнімділігінін төмендеуін есептейтін коэффицент (К
мағынасын жүгеріге - 1, күріш 0, 9, қара бидай мен арпа - 0, 8, күріш дән және қарақұмық - 0, 7, сұлы - 0, 65, күнбағыс - 0, 6) ;
К
- 1 сағатта астықтың автомобильмен бір қалыпсыз түсуін ескеретін коэффициент (25 т кем емес бункерлердің сыйымдылығымен қабылдау қондырғыларға К
тең 1- ге) ;
K
- әр түрлі астық партиясын тасымалдау кезде ағын өнімділігінін төмендеуін ескеретін коэффициент (K
= 0, 5…0, 8) ;
A
- барлық дайындау кезінде автомобильді көлікпен түсетін астық саны; A
- автомобильді транспортпен түсетін негізгі астық партиясының массасы;
П
=
(
+
) = 5
Жүк көтергіш автомобильдердің санын, бір уақытта түсетін әр түрлі партиялардың саны мен мөлшерінің есебімен, астық түсуінің ең көп сағатта қабылдауын қамтамассыз ететін есебінен мына формула арқылы анықталады:
Р =
(
+
)
a
- автомобильді көлікке түсетін астықтың саны;
q
- автомобильдің жүк көтергішінің орташа өлшеуінде жүк көтергіш автомобильдің өткізу қабілеті (т/н) ;
K
- ылғалды және ластанған астықты түсіру кезде жүк түсіргіш автомобильдік өнімділігін төмендеуін ескеретін коэффициент;
K
- натурасымен айырықшаланатын дақылдарды қабылдау кезде жүк түсіргіш автомобильді өнімділігін төмендеуін ескеретін коэффициент;
К
- әртүрлі астық партиясын қабылдау кезде жүк түсіргіш автомобиль өнімділігін төмендеуін ескеретін коэффициент;
A
- барлық дайындау кезенінде автомобильді көлікпен түсетін астық саны;
A
- автомобильді көлікпен түсетін негізгі партияның массасы;
P =
(
+
) = 7, 9
Бункерлердің сыйымдылығын автомобильдің немесе тіркеменің жоғары жүк көтергішімен алады. Қабылдау қондырғыларда жинақтаушы бункерлердің жоқ болғандықтан, жүк көтергіш автомобильдердің астындағы бункерлердің сыйымдылығы 25 т кем емес.
Автомобильді көлікпен астықты жіберуді әр қайсысының сыйымдылығы 15 т кем емес бункерлер арқылы жүзеге асырады. Ол үшін силостық корпустың бойында жоғары бөлігінде қуыстар орналасқан. Астық өз ағынымен машинаның кузовына жіберіледі. Тиеу бункерлердің саның 20 т/с әр бункерден тиелеу есебімен анықтайды.
2. 6 Астықты темір жол арқылы қабылдау және тиеу.
Темір жол вагондарын механиздалған тәсілмен тиеді және түсіреді. Қабылдау және жіберу қондырғыларды жүк көтергіші 62 т дейін вагондармен жұмыс істеу үшін жобалайды. Темір жолдағы тиеу қондырғылар жабық вагондарымен тиелеу керек. Астықты тиеу және жіберу операциалардың көлемін есептеуін қабылдау және жіберу коэффициенті тепе - тендікпен алынады:
B
=
Мұндағы;
В - астықтың қабылдау және жіберуінің жылдық көлемі;
К
=2- қабылдау және жіберудегі айлық тепе тендіксіздік коэффициенті;
М- астықтың қабылдау және жіберуінің жылдағы айлар есептеу коэффициенті;
К
- астықты қабылдау және жіберудегі тәуліктік тепе теңсіздік коэффициенті;
B
=
= 787, 8
Элеваторда астықтың жіберуі темір жол маршруттарымен іске асырылады. Өндірісте мың тонна көлеміндегі тәулік есебі бойынша тиеу үшін, тәуліктік тиеуін қабылдайды. Бұл жүк көтергіш теміржол маршруттарына тең болады (3000 т ) . Осыдан бір уақытта вагондарға тиеу саны
маршруттан аспауы керек.
Q
= 3000/5 = 600
Мұндағы;
3000 - теміржол маршрутының жүк көтергіші. Тиеу және жіберу маршруттары 2 - 3 жіберуден кем болмау керек.
Қабылдау ағынның саны мына формуламен анықталады:
П
=
Мұндағы;
Q
- бір жеткізгендегі астық массасы;
Q
- транспорттық механизмнің өндірісі ( т / сек ) ;
Т- вагондардың бірдей жіберу уақыты (3 сек 10 мин) ;
К
- Нория жұмысына кететін уақыт коэффициенті (кесте 7) ;
К
- тасымалдайтын қондырғылардың өнімділігі;
П
=
= 2;
Кесте 5. Өнімділігіне байланысты норияның пайдалану коэффициенті.
Транспорттан тиелетін астық қабылдауы:
автомобильден
теміржолдан
теміржол транспортына тиетін астық
Бункерлерге берілетін астық:
сепаратор асты, кептіргіш асты және т. б
сепаратор астын, астық көтергіш асты бункерлерден тасымалданған астық
дайындалған астық партиясынын өндіріске жіберуі
Астықтың іске ауыстыруы:
инвентиризация кезіндегі силостан силосқа және т. б
астықты желдеткен кезінде, сорттау кезінде
0, 85
0, 80
0, 80
0, 90
0, 90
0, 90
0, 90
0, 60
0, 80
0, 75
0, 75
0, 85
0, 85
0, 85
0, 90
0, 55
0, 75
0, 70
0, 70
0, 80
0, 80
0, 80
0, 80
0, 50
Тиеу нүктесінің сан қажеттілігі мына формуламен анықталады:
П
=
Q
- вагон тиеушінің эксплуатациондық өнімділігі;
Түсіру кезіндегі вагонның бір беріліс уақыты:
G
- Теміржол вагондарынан түсіру техникалық нормасы (бидай, арпа - 56 қара бидай - 63) ;
G
- вагоннан самотек арқылы түсетін астық саны (астықты бір жағына түсіруі G
= 8) ;
t
- вагондардан тиеудегі дайындау және аяқтау жұмыстарына кеткен уақыт (0, 15 қабылдайды) ;
t
- вагондарды қозғауға кеткен уақыт (кесте №8) ;
Q
- вагон түсірудің өндіру техникасы;
Q
=
= 130 (Бидай үшін)
П
=
(Бидай үшін)
2. 7 Астық тазартуға арналған жабдықтар.
Астықты алдын ала тазартуға арналған керекті машина санын мына формуламен анықталады:
П
=
Мұнда;
К
- автомобильдегі астықтың 1 сағат ішінде түсудің тепе - теңсіздік коэффициенті;
Q
- астықты тазалауға арналған қондырғылардың паспорттық өнімділігі Q
= 100 * 0, 8 = 80; а
, a
…. a
- астық келген дақылдардың берілген саны (бидай а
= 29600; арпа а
= 8000; қара бидай а
= 8000) ;
A
- дайындау кезінде нансдатчиков түскен астық саны;
Құрғақ астықты тазалауға арналған сепаратор саны мына формуламен анықталады:
П
=
Мұндағы;
- сепараторлардың өнімділіктерінің қосындысы т/ с;
Q
- сепаратордың паспорттық өнімділігі
= 0, 04
(
+
+…
)
Мұндағы;
К
- тәуліктегі астықтың түсіру тепе теңсіздік коэффициенті;
П
- алдын ала дайындау шешім жалғасы
a
a
… a
- астықтың берілген дақылдардың түсіру коэффициенті;
к
к
. . . к
- ылғалдылық және зиянкестерден тұрып қалатын астық дақылдар коэффициенті:
=0, 04
П
=
≈ 4
Элеваторда сепаратор үсті және сепаратор асты бункерлерін есептеген кезде сыйымдылығын 2 немесе 3 сағаттық өнімділікке тең деп алады. Бірақ ол 1 сағаттық өнімділіктен түспеу керек.
2. 8 Астық кептіргіш
Жаңа өндірісті жобалау және жаңарту кезінде жоғары тиімді астық кептіргішті пайдалану қажет. Астық кептіру процесінде автоматты қадағалау керек. Дәнді - дақылдарды таңдаған кезде рецикуляционды астықкептіргіштерді пайдалану қажет.
Барлық өндіріс үшін дәнді - дақылдар кептіруінің тәулік көлемі:
=
Мұндағы;
- астық кептіргіштің басты өнімділігі, тәулікте;
А
, А
, …, А
- дайындау уақыт кезінде келген шикі және ылғалды астық саны әртүрлі партиядағы (жоба үшін 6 кестеден алады)
А
=35000*30\100=12250; А
=3*30\100=10500;
П
= дайындау периодының шешім жалғасы;
К
, К
, К
, . . . , - дақылдар түріне байланысты кептіргіш өнімділігінің өзгеріс коэффициенті (бидай, арпа - 1, 0, қара бидай - 1, 1) ;
K
, K
, . . . , K
- астықты физикалық тоннан жоспарлы коэффициентіне ауысуы (К
= 1) ;
K
- астықты кептіруіне байланысты кептіргіш өнімділігінің өзгеріс коэффициценті;
= 0. 8\25(12250*1\1*1+10500*1\1*1) =728
Астықкептіргішке керекті қуаттылық:
,
Мұндағы;
- барлық астықкептіргіш өнімділігінің сағаттық қосындысы;
В
- әртүрлі транспорттан келген астық саны максимальды тәулікпен;
;
- кептіруге кететін шикі және ылғалды астық саны;
(
=
![]()
![]()
) ;
K
; К
- физикалық тоннан жоспарлы тонға ауысатын ылғалды және шикі астық коэффициенті (K
= 2, 62, К
= 2, 62) ;
20, 5 сағат - бір күндегі астық кептіргіштің жұмыс уақыты.
Максимальды күнде әр түрлі транспортпен түсетін астық санын мына формуламен анықтайды:
В
= A
* К
![]()
Мұндағы;
A
- орта күнде түсетін астық саны;
К
- тәуліктік тепе - теңсіздік коэффициенті;
Орта күнде түсетін астық саның мына фолмуламен анықтайды:
А
=
,
Мұндағы;
А
- дайындау кезінде келетін астық саны (А = 45600) ;
П
- дайындау периодының шешім жалғасы (П
= 25) ;
А
=0. 8*52000\25=1664
В
= 1664*1, 6 = 2662, 4 т
= 2662, 4(0. 15*2. 26+0. 15*2. 26) \20. 5=88
Қажетті астықкептіргіш санын мына формуламен анықтайды:
n = 88\50=1, 76
Мұнда;
- барлық астықкептіргіш өнімділігінің сағаттық қосындысы;
Q
- астықкептіргіш паспорт өнімділігі;
2. 9 Қалдықтарды өңдеу.
Қалдықтарды таңдау және қадағалау элеватордың жұмыс ғимаратында жүргізіледі. Рецикуляциондық кептіргіштерде астықты алдын-ала тазартқан және кептіргеннен кейін алынған шаң мен қалдықтарға арналған, бункерлердің сиымдылығын қоспағанда астықтын алдын-ала тазартудан және құрғақ астықты тазартудан түсетін шаң мен қалдықтарға арналған бункерлі сыйымдылықтар, олардың үш тәулік ішінде жиналының есебімен ескеріледі. Жиналу кезені бір тәулікті құрайды. Құрғақ астықты тазартудан түсетін шаң мен қалдықтарды сақтауға арналған бункерлер автокөлік жіберу мүмкіншілігі орналасқан.
Алдын - ала тазалау кезінде алынған астықтың қалдық саны мына формуламен анықталады:
G
= 0, 008
,
Мұндағы;
А
- алдын - ала тазалау кезіндегі астық саны;
П
- дайындау периодының шешімі;
К
- тәуліктік тепе - теңсіздік коэффициенті;
N
- ерекшеленетін қалдық саны;
G
= 0, 008*1. 5*1664*2. 5\25=1, 9
Рециркуляционды астық кептіргіштерге бөлінген қалдық саны мына формуламен анықталады:
G
= 0, 8
,
Мұндағы;
А
- дайындау периодындағы түскен ылғалды және шикі астық саны (А
= 30%) ;
C
- астықтан бөлінген қалдықтардың құрамы (C = 50%) ;
А - дайындау кезінде келетін астық саны;
П
- дайындау периодының шешімі;
G
= 0, 8*52000*30*1. 05\25=5, 2
Құрғақ астықты тазартқанда алынған қалдық саны мына формуламен анықталады:
G
= 0, 5
A
- астықты тазалаудағы максимальды тәулік көлемі;
C - бөлінетін қалдық құрамы;
Астықты тазалаудағы максимальды тәулік көлемі мына формуламен анықталады:
A
=
,
Мұндағы;
... жалғасы- Іс жүргізу
- Автоматтандыру, Техника
- Алғашқы әскери дайындық
- Астрономия
- Ауыл шаруашылығы
- Банк ісі
- Бизнесті бағалау
- Биология
- Бухгалтерлік іс
- Валеология
- Ветеринария
- География
- Геология, Геофизика, Геодезия
- Дін
- Ет, сүт, шарап өнімдері
- Жалпы тарих
- Жер кадастрі, Жылжымайтын мүлік
- Журналистика
- Информатика
- Кеден ісі
- Маркетинг
- Математика, Геометрия
- Медицина
- Мемлекеттік басқару
- Менеджмент
- Мұнай, Газ
- Мұрағат ісі
- Мәдениеттану
- ОБЖ (Основы безопасности жизнедеятельности)
- Педагогика
- Полиграфия
- Психология
- Салық
- Саясаттану
- Сақтандыру
- Сертификаттау, стандарттау
- Социология, Демография
- Спорт
- Статистика
- Тілтану, Филология
- Тарихи тұлғалар
- Тау-кен ісі
- Транспорт
- Туризм
- Физика
- Философия
- Халықаралық қатынастар
- Химия
- Экология, Қоршаған ортаны қорғау
- Экономика
- Экономикалық география
- Электротехника
- Қазақстан тарихы
- Қаржы
- Құрылыс
- Құқық, Криминалистика
- Әдебиет
- Өнер, музыка
- Өнеркәсіп, Өндіріс
Қазақ тілінде жазылған рефераттар, курстық жұмыстар, дипломдық жұмыстар бойынша біздің қор #1 болып табылады.

Ақпарат
Қосымша
Email: info@stud.kz