Қалпына келетін жүйенің сенімділігін есептеу


Қазақстан Республикасы білім және ғылым министрлігі
М. О. Әуезов атындағы Оңтүстік Қазақстан университеті
«Ақпараттық технологиялар және энергетика»
жоғары мектебі
Пәні: "Басқару жүйелерінің сенімділігі"
Зертханалық жұмыс
Тақырыбы:Қалпына келетін жүйенің сенімділігін есептеуҚабылдаған: Батырбеков А.
Тобы: ИП-17-5к1
Орындаған: Ыбрай Қадыржан
Шымкент 2020 жыл
Зертханалық жұмыс №4 Қалпына келетін жүйенің сенімділігін есептеуЖұмыстың мақсаты: Жүйелердің сенімділігін зерттеу. Қалпынакелетінжүйенің құрылымдық схемасын құру және сенімділік көрсеткіштерін есептеу принциптерін оқып, үйрену.
Теориялық негіздеме
Қалпына келтіру деп, жұмысқа қабілетсіз күйінен жұмысқа қабілетті күйге ауысу оқиғасын айтады.
Егер қатардан шыққан негізгі (қосалқы) жүйелердің жұмыс қабілетін, басқарылатын үрдістің дұрыс жүрісінің бұзылуын болдырмайтындай қалпына келтіру мүмкін болса, онда қосалқылаудың тиімділігі едәуір жоғарылайды. Мұндай жағдайда жүйенің сенімділігі келесі жуықтау теңдеумен есептелінеді:
(4. 1)
m - қосалқы жүйелер саны; λ ж - негізгі немесе қосалқы жүйелердің біреуінің тоқтау қарқындығы; β - жүйенің жұмыс қабілеттілігін қалпына келтіру қарқындығы (1/сағ) ; τ - жүйенің үздіксіз жұмыс уақыты, τ = 10 ·t (сағ) .
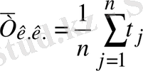
Пайдалану кезіндегі бір тоқтауды жою үшін қажет орташа уақыт жүйенің жұмыс қабілеттілігін қалпына келтірудің орта уақыты деп аталады, яғни
(4. 2)
t j - j тоқтауынан кейінгі жүйенің жұмыс қабілеттілігін қалпына келтіру уақыты.
Жұмыс қабілеттілігін қалпына келтіру уақыты кездейсоқ оқиға ретінде Пуассон заңына бағынатын болса, онда тоқтаулар қарқындығы түсінігімен қатар қалпына келтіру қарқындығы де қолданылады.
Бұл жағдайда:
(4. 3)
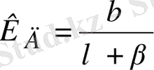
Жүйенің пайдалану сенімділігі дайындық коэффициентімен К Д сипатталады, ол келесі қатынаспен анықталады:
(4. 4)
Егер қалпына келтіру ағынын қарапайым деп қарастырсақ, онда (4. 4) теңдеуін келесі түрде жазуға болады:
(4. 5)
Дайындық коэффициентіне ұқсас бос тұру коэффициенті анықталады:
(4. 6)
Пайдалану коэффициенті К П келесі қатынаспен анықталады:
(4. 7)
мұнда
t
Т
- пайдалану мерзіміндегі толық жұмыс уақыты;
t
i
-
і
режиміндегі пайдалану уақыты;
k
- жүйенің пайдалану режимдер саны;
- жүйенің пайдалану уақыты.
Нақты техникалық құралдар үшін тәулік өлшеміне келтірілген пайдалану коэффициенті қолданылады:
(4. 8)
мұнда,
- тәулік бойы пайдалану мерзіміндегі орта жұмыс уақыты (
=24 -
) .
Сенімділіктің жобалық және пайдалану критерийлерін біріктіретін интегралдық критерий ретінде t моментінен бастап, τ уақыт барысындағы жүйенің тоқтаусыз жұмыс істеу ықтималдығы қолданылады:
(4. 9)
К Д - t уақыт моментіне дейінгі дайындық коэффициентінің шамасы;
λ Ж - жүйедегі толық тоқтаулар қарқындығы.
Тапсырма
Негізгі жүйе n элементтерден тұрады. Әр элементтің жөндеусіз t (сағат) уақыт аралығында үздіксіз жұмыс атқаратын тоқтаусыз жұмыс істеу ықтималдығы P i ( t ) қалыптасқан (кесте 8, вариант бойынша) . Қосалқы жүйелер саны m -ге тең. Негізгі және қосалқы жүйелердің сенімділіктері біртекті.
Сенімділіктің негізгі көрсеткіштерін есептеу қажет:
- жүйенің тоқтаусыз жұмыс істеу ықтималдығынPЖ(t) ;
- тоқтаулардың пайда болу ықтималдығынQж(t) ;
- жүйенің λЖтоқтау қарқындығын;
- жүйеніңтоқтау алды жұмысын. қалпына келтіру қарқындығынβ; дайындық коэффициентінКД; сенімділіктің жобалық және пайдалану критерийлерін біріктіретін интегралдық критериінP(t, τ) .
Қосалқыланбаған жүйе, жалпы түрде қосалқыланған жүйе және жалпы қосалқыланған және қалпына келетін жүйелерге салыстырмалы талдау жасаңыз. Есептеу барысын және оның нәтижелерін А4 форматындағы ксерокс қағазына рәсімдеу қажет. Жұмысты оқытушы белгілеген уақыт мерзімінде қорғап, тапсыру қажет.
Есеп беру мазмұны
- Жұмыстың атауы және мақсаты.
- Теориялық негіздеме.
- Тапсырма, бастапқы мәліметтер.
- Барлық әрекеттердің түсініктемесімен есептеу барысы.
- Есептеу нәтижелері (4 кесте) .
- Қорытынды.
Кесте 4
Есептеу нәтижелерін енгізетін кесте
Тоқтаусыз жұмыс істеу ықтималдығы
P ж ( t )
Тоқтаулардың пайда болу ықтималдығы
Q ж ( t )
Жүйенің тоқтау қарқындығы
λ ж




Бақылау сұрақтары
- «Сенімділік» және «қосалқылау» түсініктері.
Берілген пайдалану шарттары бойынша, берілген шектермен анықталған, орнатылған пайдалану көрсеткіштерінің мәндерін уақыт аралығында сақтай білетін, берілген функцияларды атқаратын жүйенің қабілеттілігін сенімділік деп атайды.
Сенімділік талаптарын қанағаттандырмайтын элементтерден қажет сенімділігі бар жүйені құруға мүмкіншілік жасайтын іс-шара қосалқылау деп аталады.
- Пуассон заңы.
Пуассон заңы кездейсоқ оқиғаның m i санының t уақыт аралығында таралуын анықтайды. Күрделі құрылымда t уақыт аралығында m тоқтаулардың болу ықтималдығын анықтау үшін қолданылады.
- «Қалпына келтіру» түсінігіне анықтама беріңіз.
Қалпына келтіру деп, жұмысқа қабілетсіз күйінен жұмысқа қабілетті күйге ауысу оқиғасын айтады
- Қалпына келетін жүйенің тоқтаусыз жұмыс істеу ықтималдығы қалай анықталады?
- Іс жүргізу
- Автоматтандыру, Техника
- Алғашқы әскери дайындық
- Астрономия
- Ауыл шаруашылығы
- Банк ісі
- Бизнесті бағалау
- Биология
- Бухгалтерлік іс
- Валеология
- Ветеринария
- География
- Геология, Геофизика, Геодезия
- Дін
- Ет, сүт, шарап өнімдері
- Жалпы тарих
- Жер кадастрі, Жылжымайтын мүлік
- Журналистика
- Информатика
- Кеден ісі
- Маркетинг
- Математика, Геометрия
- Медицина
- Мемлекеттік басқару
- Менеджмент
- Мұнай, Газ
- Мұрағат ісі
- Мәдениеттану
- ОБЖ (Основы безопасности жизнедеятельности)
- Педагогика
- Полиграфия
- Психология
- Салық
- Саясаттану
- Сақтандыру
- Сертификаттау, стандарттау
- Социология, Демография
- Спорт
- Статистика
- Тілтану, Филология
- Тарихи тұлғалар
- Тау-кен ісі
- Транспорт
- Туризм
- Физика
- Философия
- Халықаралық қатынастар
- Химия
- Экология, Қоршаған ортаны қорғау
- Экономика
- Экономикалық география
- Электротехника
- Қазақстан тарихы
- Қаржы
- Құрылыс
- Құқық, Криминалистика
- Әдебиет
- Өнер, музыка
- Өнеркәсіп, Өндіріс
Қазақ тілінде жазылған рефераттар, курстық жұмыстар, дипломдық жұмыстар бойынша біздің қор #1 болып табылады.

Ақпарат
Қосымша
Email: info@stud.kz