Зертханалық бағдарламалы кешенді оқып игеру


Қазақстан Республикасы білім және ғылым министрлігі
М. О. Әуезов атындағы Оңтүстік Қазақстан университеті
«Ақпараттық технологиялар және энергетика»
жоғары мектебі
Пәні: "Автоматтандырылған басқару жүйелері"
Зертханалық жұмыс
Тақырыбы: Зертханалық бағдарламалы кешенді оқып игеру
Қабылдаған: Сатбаева Ж.
Тобы: ИП-17-5к1
Орындаған: Ыбрай Қадыржан
Шымкент 2020 жыл
Зертхнаналық жұмыс №1 «Зертханалық бағдарламалы кешенді оқып игеру»
Бұл жұмыста зертханалық жұмыстар кешені бойынша кіріспе мәліметтер және зертханалық практикумға кіріспе келтірілген. Мынадай сұрақтар қарастырылған: объекттердің және басқару жүйелерінің математикалық модельдерінің түрлері және оларды алу тәсілдері және оны түрлендіру; басқару объектісінің динамикалық сипаттамаларын түсіру бойынша эксперименталды мәліметтерді өңдеу методикасы; автоматты реттегіштердің математикалық моделі; оқу процесінде ТТПА пәнінде қолданылатын студенттік бағдарламалық қамтамасыздандыру фондының құрамы; зертханалық жұмыстың есебін безендіру тәртібінің талаптары.
1. 1 Жұмыстың мақсатыЖұмыста зертханалық жұмысты жүргізу бойынша кіріспе мәліметтер берілген, автоматты реттеу жүйелерін (АРЖ) есептеуге және зерттеуге байланысты дербес компьютерді қолдану жалпы принциптерін қарастырған:
Технологиялық басқару объектісінің (ТБО) және АРЖ қолданылатын математикалық моделдерінің түрлері, оларды алу және түрлендіру тәсілдері;
басқару объектісінің динамикалық сипаттамаларын түсіру бойынша эксперименталды мәліметтерді өңдеу методикасы;
автоматты реттегіштердің математикалық моделі;
дербес компьютерде қолданылатын студенттік бағдарламалық қамтамасыздандыру фондының құрамы;
жұмыстың есебін безендіру тәртібінің талаптары;
1. 2 Зертханалық жұмысқа тапсырмажұмысқа арналған әдістемелік нұсқаудың мазмұнын білу қажет;
пәннің негізгі терминалогиялары және шартты белгіленулерімен, бағдарламалық қамтамасыздандыруын қолдану тәртібімен және алгоритмімен, құрамымен танысу;
объекттің жұмысын имитациялаушы LAB5 бағдарламасын қолданып, негізгі, қосымша және қоздырушы каналдар бойынша екпінді қисығын түсіру;
осы каналдар бойынша беріліс функциясының параметрлерін анықтау;
алынған математикалық модельдің адекваттылығын тексеру;
зертханалық жұмыс есебін жазбасын безендіріп және оны қорғау.
.
1. 3 Негізгі ұғымдар 1. 3. 1 Жалпы мәліметтерБірконтурлы және көпконтурлы аналогты және сандық басқару жүйелерінің есептері және зерттеулері ТТҮӨА, ЛАЖ және ТЖА пәндерінің құамдас бөлігі болып табылады.
Қойылатын проблеманың мазмұны:
- ТБО динамикадағы адекватты математикалық моделін алу;
- ТБО статикадағы адекватты математикалық моделін алу;
- Реттеу алгоритмін іске асырушы, реттегіштің немесе микроконтроллердің баптауыш параметрлерін есептеу;
- Бірконтурлы және көпконтурлы АРЖ арналған берілген канал бойынша тұйықталған АРЖ математикалық моделін алу;
- Компьютерде өңдеуге ең ыңғайлы, өтпелі процесті имитациялық модельдеу нақты тәсілін таңдау және іске асыру (немесе қолдану) ;
- Тұйықталған АРЖ өтпелі процестің сапасын бағалау.
АРЖ баптауларды есептеу тапсырмаларын шешуді және өтпелі процестің имитациялық мадельдеуді жеңілдетуші құрал ретінде студенттік бағдарламалық қамтамасыздандыру фондының төменде келтірілген құрамын қолдану болып табылады. Солардың негізін құраушы бағдарламаның түсіндірмесі және алгоритмі кафедрада бар. Сонымен қатар, бұл алгоритмдер пәннің лекциялық курстарында беріледі, осы және келесі зертханалық жұмыстардың мазмұны келтіріледі.
1. 3. 2 Ұсынылатын және қолданылатын шартты белгіленулер 1. 3. 2. 1 Объекттер, реттегніштер және жалпы жүйелерU- объект немесе жүйенің кірісі (немесе кірістер векторы) , басқару параметрлері;
U Р - реттегіш шығысы (немесе шығыстар векторы), реттеуші әсерлер;
X- объект немесе жүйе шығысы (немесе шығыстар векторы), қалып-күй параметрлері;
,
- X мен U уақыт бойынша туындылары;
V- кері әсер (немесе кері әсерлер векторы) ;
X * - тапсырмалар;
E,
- қате, үйлесімсіздік (
= E = X - X
*
)
W, W(p) - объекттің беріліс функциясы (БФ) ;
W * , W * (p) - кешігуі ескерілмеген объекттің БФ-сы;
W 1 , W 1 (p) и т. д. - көпконтурлы АРЖ-дағы объекттің БФ-сы;
W зам , W зам (p) - тұйық АРЖ БФ-сы;
i - W, R-дің, U, X, V векторлардың элементтерінің реттік нөмірі;
m - (1) -(3), (6) түріндегі W(p) бөліміндегі полином реті ;
n - (1) -(3), (6) түріндегі W(p) алымындағы полином реті, (n>m) ;
a i - (1) -(3), (6) түріндегі W(p) алымындағы полином коэффициенттері, i=1, 2, …n;
b i - (1) -(3), (6) түріндегі W(p) бөліміндегі полином коэффициенттері, i=1, 2, …m;
R, R(p), R 1 , R 1 (p) - реттегіштің беріліс функциялары;
S П ; S И ; S Д - П, И, Д аналогты реттегіштің баптау параметрлері;
S 1 ; S 0 ; S 2 - (15) қолданылатын П, И, Д реттегіштің баптауының параметрлері;
К П - беріліс коэффициенті;
Т И - интегралдау уақыт тұрақтысы (изодром уақыты) ;
Т Д - дифференциалдау уақыт тұрақтысы (алдын алу уақыты) ;
Т Ф - демпфер (фильтр) уақыт тұрақтысы;
C - объекттің күшейту коэффициенті;
D - (6) түріндегі W(p) -нің интегралдық құраушысының күшейту коэффициенті
T - (5), (7) түріндегі теңдеудегі уақыт тұрақтысы;
T 1 , T 2 , T 3 - (4) түріндегі теңдеудегі уақыт тұрақтысы;
T Б - (7) түріндегі өзін-өзі түзетусіз W(p) -нің уақыт тұрақтысы;
1. 3. 2. 2 Жиілік сипаттамаларыτ - кешігу уақыты;
ω; ω*; ω раб - жиілік; шекті жиілік; жұмыс жиілігі;
ω 1 ; ω к ; ∆ ω - бастапқы, соңғы жиілік ; жиілік бойынша қадам;
N - жиілік бойынша нүктелер саны;
ϕ ; ϕ об ; ϕ рег - фаза (ФЖС) ; объектінің ФЖС; реттегіш ФЖС;
A ; A об ; A рег - амплитуда (АЖС) ; объект АЖС; реттегіш АЖС;
j - жорамал бірлік (
) ;
p, s - Лаплас операторы;
W(jω) ; R(jω) - объект АФЖС; реттегіш АФЖС;
ImW ; ReW - объект АФЖС жорамал ; нақты бөлігі;
ImR; ReR - реттегіштің АФЖС жорамал ; нақты бөлігі;
Im Зн ; Re Зн - БФ-ның бөлімінің АФЖС жорамал ; нақты бөлігі;
Im Чис ; Re Чис - БФ-ның алымының АФЖС жорамал ; нақты бөлігі;
ϕ зн ; A зн - БФ бөлімінің ФЖС; АЖС;
ϕ чис ; A чис - БФ алымының ФЖС; АЖС;
ϕ зс ; A зс - Тұйық АРЖ-нің ФЖС; АЖС;
m - Кеңейтілген АФЖС-тің (КАФС) тербелу дәрежесі;
1. 3. 2. 3 Сандық моделдер және жүйелерj - уақыт бойынша нүкте нөмірі;
N - уақыт бойынша нүктелер саны;
- j уақыт моментіндегі шығыс, фильтрленген шығыс, кіріс, қате;
T о - датчикті сұрау периоды; (T=2π/ω) уақыт бойынша квантирлеу қадамы (тактісі) ;
ω о - датчикті сұрау жиілігі (ω=2π/T) ;
D - уақыт бойынша квантирлеу тактісінің бүтін санына тең кешігу (d=τ/T о ) ;
,
,
- сандық реттегіштің баптауының П, И, Д параметрлері;
T, t - ағымдағы уақыт;
T 1 ; T к ; ∆T - бастапқы уақыт; соңғы уақыт; уақыт бойынша қадам;
N - уақыт бойынша нүктелер саны;
N Ф - Акульшина әдісіндегі Фурье қатарындағы жіктеу мүшесінің максималды нөмірі;
∆U- кірістегі сатылы кері әсердің амплитудасы;
,
,
- динамикалық қателер;
x ст - статикалық (анықталған) қате;
ψ - өшу дәрежесі (
) ;
Т Р , t р - берілген x ст -ғы реттеу уақыты;
η - қайта реттеу (
) .
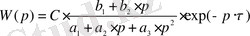
ТБО динамикасының математикалық моделдері АРЖ талдау және синтездеу тапсырмаларын шешу негізі болып табылады. Олардың түрлері мен алу тәсілдері «Сызықты автоматт реттеу жүйелері теориясы», «Басқару объектісін моделдеу және идентификациялау» пәндерінде қарастырылған. Біз осы зертханалық практикумда және жалпы пәнді оқу барысында, негізінде, модель ретінде мынадай түрдегі беріліс .
Инженерлік іс-тәжірибеде ДММ-ның БФ түрінде жиі қолданады. Өзін-өзі түзетуі бар обекттердің БФ жалпы түрі төменде көрсетілген:
. (1. 1)
“Аудандар әдісін” қолданғанда (b1=a1=1) :
, немесе (1. 2)
(1. 3)
Басқа түрлері, мысалы:
және о. с. (1. 4)
Жиі ықшамдалған БФ кешігуі бар апериодты звено түрінде қолданылады:
(1. 5)
Өзін-өзі түзетусіз объекттерге жалпы жағдайда W(p) :
(1. 6)
немесе ықшамдалған формулалар қолданылады :
немесе: (1. 7)
(1. 8)
W(p) айқын түрі адекваттылықты қамтамасыз ету мен есептеу ыңғайлығы шартынан алынады.
(3. 5) түріндегі теңдеу үшін аналитикалық жолмен шығыс мына формуламен анықталады:
(
кезінде) (1. 9)
n=2 болғанда W(p) (3. 4) теңдеуіндегі түрі келесідей:
(1. 10)
Төмендегі формула бойынша табылған δ мәні 3-7%аспайтын болса, онда модельді адекватты болып саналады:
(3. 11)
мұндағы: N - екпінді қисығының қолданылатын нүктелерінің саны.
1. 4. 2 Зертханалық практикум үшін бастапқы мәліметтерді алуLAB5 бағдарламасын қолдану арқылы алынған екпінді қисығының бастапқы мәліметтері, объекттің беріліс функциясын анықтау үшін негіз болып табылады. Бағдарламаны іске қосқаннан кейін «РЕГИСТРАЦИЯ» менюді таңдау қажет. Сынақ кітапшасының нөмірін дұрыс енгізу қажет, себебі сол нөмір бойынша индивидуалды бастапқы мәліметтер құралады және W(p) коэффициенттерінің дұрыс анықталғаны тексеру жүргізіледі. Цифрлар нақты алтау болуы тиіс. Егер нөмір бес саннан тұрса, онда бірінші санның алдына 9 санын енгізу қажет. «ЭКСПЕРИМЕНТ» этапына өтіп біріншіден қоздыру берілетін каналды таңдау қажет, оны клавиатураның басқарушы пернелерін және «ENTER» пернесін қолдану арқылы орындалады. Тәжірибені кезекпен үш канал бойынша екпінді қисығын түсіру бойынша жүргізу қажет (сурет 1. 1 қара) :
- негізгі (басты) реттеу каналы - кірісі U, шығысы X (W(p) анықтау үшін) ;
- қосымша канал - кірісі U, шығысы X1 (W1(p анықтау үшін) ) ;
- қоздырушы канал -кірісі V, шығысы X (W2(p) анықтау үшін) .
Кірісіне берілетін қоздврушы әсер мөлшерін барлық каналдарға бірдей етіп беруге болады, мысалы РО жүрісінің 10%. Содан соң тәжірибе жүргізуге болады. Тәжірибені «Қосу - тоқтату» «ПРОБЕЛ» пернесі арқылы іске асырылады. Экранның жоғарғы оң жағында сағат орналасқан, тәжірибенің ағымдағы имитациялау уақытын көрсететін сағат. Шығыс мәні (екпінді қисық ординатасының нүктелері) экранның төменгі бөлігінде орналасқан өлшегіш приборлар арқылы көрсетіледі. Тәжірибе жүрісін тоқтату барысында шығыс шамасының мәнін және екпінді қисығының ағымдағы нүктесінің уақытын жазып отыру қажет. Екпінді қисығын толық қалпына келтіру мүмкіндігін беретін 15-20 нүктесін түсіру жеткілікті. Сурет 1. 1. LAB5 бағдарламасының жұмысты аяқтаған кездегі көрінісі көрсетілген. Тәжірибе нәтижелерін келесі өңдеуге қолдану үшін бастапқы тұрақты жағдайдан кіріс және шығыс мәндері ғана қолданылады. Сондықтан нәтижелерді кесте 1. 1 енгізу қажет.
Кесте 1. 1
Сурет 1. 1 - LAB5 бағдарламасының жұмысына мысал
1. 5 Аналогты реттегіштердің математикалық моделдеріІс жүзінде практикада жұмысы әртүрлі алгоритмді автоматт реттегіштер қолданылады, сонымен қатар және күрделі құрылымсыз оптимизациялы реттегіштер де және т. б. қолданылады. Бірақтан кеңінен көп қолданылатын стандартты П, ПИ, ПД, ПИД-реттеу заңдары.
... жалғасы- Іс жүргізу
- Автоматтандыру, Техника
- Алғашқы әскери дайындық
- Астрономия
- Ауыл шаруашылығы
- Банк ісі
- Бизнесті бағалау
- Биология
- Бухгалтерлік іс
- Валеология
- Ветеринария
- География
- Геология, Геофизика, Геодезия
- Дін
- Ет, сүт, шарап өнімдері
- Жалпы тарих
- Жер кадастрі, Жылжымайтын мүлік
- Журналистика
- Информатика
- Кеден ісі
- Маркетинг
- Математика, Геометрия
- Медицина
- Мемлекеттік басқару
- Менеджмент
- Мұнай, Газ
- Мұрағат ісі
- Мәдениеттану
- ОБЖ (Основы безопасности жизнедеятельности)
- Педагогика
- Полиграфия
- Психология
- Салық
- Саясаттану
- Сақтандыру
- Сертификаттау, стандарттау
- Социология, Демография
- Спорт
- Статистика
- Тілтану, Филология
- Тарихи тұлғалар
- Тау-кен ісі
- Транспорт
- Туризм
- Физика
- Философия
- Халықаралық қатынастар
- Химия
- Экология, Қоршаған ортаны қорғау
- Экономика
- Экономикалық география
- Электротехника
- Қазақстан тарихы
- Қаржы
- Құрылыс
- Құқық, Криминалистика
- Әдебиет
- Өнер, музыка
- Өнеркәсіп, Өндіріс
Қазақ тілінде жазылған рефераттар, курстық жұмыстар, дипломдық жұмыстар бойынша біздің қор #1 болып табылады.

Ақпарат
Қосымша
Email: info@stud.kz